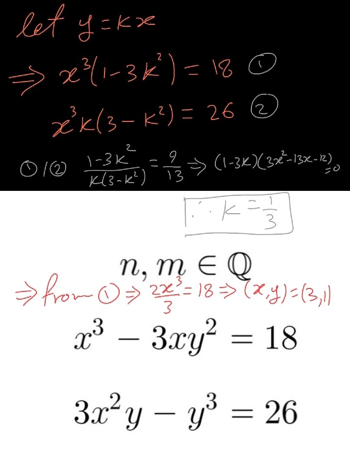
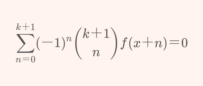
Get live statistics and analysis of Ziyad..'s profile on X / Twitter
always seeking the next aha moment
480following2kfollowers
The Thought Leader
Meet Ziyad, a recently graduated math enthusiast who’s always on the hunt for that next big 'aha' moment! With a finger on the pulse of mathematical trends and concepts, Ziyad is dedicated to transforming complex theories into relatable content for fellow learners.
Ziyad tweets so much about math that I'm surprised he hasn't calculated the angle at which his social life is dwindling – at this point, he might just be the square root of solo!
Ziyad's biggest win was creating a popular thread on math strategies that garnered impressive engagement and appreciation from followers, solidifying his role as a go-to resource in the math community.
Ziyad's life purpose is to inspire and educate others, making mathematics accessible and fun while sparking curiosity in his audience about the wonders of the subject.
Ziyad believes in the power of knowledge-sharing and community engagement. He values collaboration and the idea that learning can be a collective journey filled with discovery.
Ziyad's strength lies in his ability to break down complex mathematical concepts into engaging and digestible content, sparking interest and fostering discussions among his followers.
To grow his audience on X, Ziyad should consider mixing in a few light-hearted, relatable posts to balance his analytical content, while also leveraging trending topics to increase visibility.
كتاب الدكتور سلطان البركاتي @sultankaust بداية من كتاب " مبادئ أساسية لأولمبياد الرياضيات" ومن ثم لكتاب "مبادئ أساسية لأولمبياد الرياضيات ٢" -متقدم- وأيضا كتاب الدكتور طارق الصيعري @amazingmath2030 "الخطوة الأولى إلى أولمبياد الرياضيات" فقد اطلعت على محتواه مؤخرا وكان رائعا جدا.
Executive Chairperson of Biocon Limited - Asia’s leading Biopharmaceuticals enterprise. A global influencer and proud recipient of Padma Shri & Padma Bhushan.
{"data":{"__meta":{"device":false,"path":"/creators/da_vinci70"},"/creators/da_vinci70":{"data":{"user":{"created_at":"Thu Apr 25 14:12:17 +0000 2019","default_profile":true,"default_profile_image":false,"description":"always seeking the next aha moment","entities":{"description":{"urls":[]}},"fast_followers_count":0,"favourites_count":4148,"followers_count":2445,"friends_count":480,"has_custom_timelines":true,"is_translator":false,"listed_count":2,"location":"","media_count":1020,"name":"Ziyad..","normal_followers_count":2445,"pinned_tweet_ids_str":["1622304303560925186"],"possibly_sensitive":false,"profile_banner_url":"https://pbs.twimg.com/profile_banners/1121416643538817024/1572462229","profile_image_url_https":"https://pbs.twimg.com/profile_images/1504157707120562187/4IwQhZAO_normal.jpg","profile_interstitial_type":"","screen_name":"da_vinci70","statuses_count":4280,"translator_type":"none","verified":false,"withheld_in_countries":[],"id":"1121416643538817024"},"details":{"type":"The Thought Leader","description":"Meet Ziyad, a recently graduated math enthusiast who’s always on the hunt for that next big 'aha' moment! With a finger on the pulse of mathematical trends and concepts, Ziyad is dedicated to transforming complex theories into relatable content for fellow learners.","purpose":"Ziyad's life purpose is to inspire and educate others, making mathematics accessible and fun while sparking curiosity in his audience about the wonders of the subject.","beliefs":"Ziyad believes in the power of knowledge-sharing and community engagement. He values collaboration and the idea that learning can be a collective journey filled with discovery.","facts":"Fun fact: Ziyad has shared over 4,280 tweets, proving he is more explosive than a math exam at the end of the semester!","strength":"Ziyad's strength lies in his ability to break down complex mathematical concepts into engaging and digestible content, sparking interest and fostering discussions among his followers.","weakness":"However, Ziyad's tendency to dive deep into specifics may sometimes alienate casual followers who prefer a lighter approach to Twitter content.","roast":"Ziyad tweets so much about math that I'm surprised he hasn't calculated the angle at which his social life is dwindling – at this point, he might just be the square root of solo!","win":"Ziyad's biggest win was creating a popular thread on math strategies that garnered impressive engagement and appreciation from followers, solidifying his role as a go-to resource in the math community.","recommendation":"To grow his audience on X, Ziyad should consider mixing in a few light-hearted, relatable posts to balance his analytical content, while also leveraging trending topics to increase visibility."},"tweets":[{"bookmark_count":395,"bookmarked":false,"created_at":"Mon Jun 15 14:46:43 +0000 2020","conversation_id_str":"1272541050905792512","display_text_range":[0,229],"entities":{"hashtags":[{"indices":[214,229],"text":"سباق_الرياضيات"}],"symbols":[],"timestamps":[],"urls":[],"user_mentions":[]},"favorite_count":640,"favorited":false,"full_text":"أهلًا وسهلا بك في هذا الثريد سواءً كنت على دراية بمن أكون مسبقًا أم لا سأعطيك تعريفا بسيطا عني قبل البدء.\n أنا زياد طالب متخرج من المرحلة الثانوية لهذا العام، ولي شغف وإهتمام بأكثر من مجال وأهمها حاليا الرياضيات.\n #سباق_الرياضيات","is_quote_status":false,"lang":"ar","quote_count":28,"reply_count":43,"retweet_count":125,"retweeted":false,"user_id_str":"1121416643538817024","id_str":"1272541050905792512","id":"1272541050905792512"},{"bookmark_count":109,"bookmarked":false,"created_at":"Thu Jul 08 04:08:57 +0000 2021","conversation_id_str":"1412987040791203840","display_text_range":[0,162],"entities":{"hashtags":[],"media":[{"display_url":"pic.x.com/AonbqEs9Rr","expanded_url":"https://x.com/da_vinci70/status/1412987040791203840/photo/1","id_str":"1412987030666203141","indices":[163,186],"media_key":"3_1412987030666203141","media_url_https":"https://pbs.twimg.com/media/E5vwN9MX0AUXMOq.jpg","type":"photo","url":"https://t.co/AonbqEs9Rr","ext_media_availability":{"status":"Available"},"features":{"large":{"faces":[{"x":331,"y":172,"h":43,"w":43}]},"medium":{"faces":[{"x":331,"y":172,"h":43,"w":43}]},"small":{"faces":[{"x":312,"y":162,"h":40,"w":40}]},"orig":{"faces":[{"x":331,"y":172,"h":43,"w":43}]}},"sizes":{"large":{"h":718,"w":720,"resize":"fit"},"medium":{"h":718,"w":720,"resize":"fit"},"small":{"h":678,"w":680,"resize":"fit"},"thumb":{"h":150,"w":150,"resize":"crop"}},"original_info":{"height":718,"width":720,"focus_rects":[{"x":0,"y":315,"w":720,"h":403},{"x":0,"y":0,"w":718,"h":718},{"x":0,"y":0,"w":630,"h":718},{"x":0,"y":0,"w":359,"h":718},{"x":0,"y":0,"w":720,"h":718}]},"media_results":{"result":{"media_key":"3_1412987030666203141"}}}],"symbols":[],"timestamps":[],"urls":[{"display_url":"matematica.pt/en/useful/kang…","expanded_url":"https://www.matematica.pt/en/useful/kangaroo-questions.php","url":"https://t.co/9w74MoLuI7","indices":[100,123]},{"display_url":"artofproblemsolving.com/wiki/index.php…","expanded_url":"https://artofproblemsolving.com/wiki/index.php/AMC_Problems_and_Solutions","url":"https://t.co/JR7TnmnCZC","indices":[139,162]}],"user_mentions":[]},"extended_entities":{"media":[{"display_url":"pic.x.com/AonbqEs9Rr","expanded_url":"https://x.com/da_vinci70/status/1412987040791203840/photo/1","id_str":"1412987030666203141","indices":[163,186],"media_key":"3_1412987030666203141","media_url_https":"https://pbs.twimg.com/media/E5vwN9MX0AUXMOq.jpg","type":"photo","url":"https://t.co/AonbqEs9Rr","ext_media_availability":{"status":"Available"},"features":{"large":{"faces":[{"x":331,"y":172,"h":43,"w":43}]},"medium":{"faces":[{"x":331,"y":172,"h":43,"w":43}]},"small":{"faces":[{"x":312,"y":162,"h":40,"w":40}]},"orig":{"faces":[{"x":331,"y":172,"h":43,"w":43}]}},"sizes":{"large":{"h":718,"w":720,"resize":"fit"},"medium":{"h":718,"w":720,"resize":"fit"},"small":{"h":678,"w":680,"resize":"fit"},"thumb":{"h":150,"w":150,"resize":"crop"}},"original_info":{"height":718,"width":720,"focus_rects":[{"x":0,"y":315,"w":720,"h":403},{"x":0,"y":0,"w":718,"h":718},{"x":0,"y":0,"w":630,"h":718},{"x":0,"y":0,"w":359,"h":718},{"x":0,"y":0,"w":720,"h":718}]},"media_results":{"result":{"media_key":"3_1412987030666203141"}}}]},"favorite_count":192,"favorited":false,"full_text":"للي حاب يذاكر للكنجارو هذي هي الاشياء اللي بقترحها واذا عندك مصادر زيادة اذكرها تحت.\n\nالموقع الاول:\nhttps://t.co/9w74MoLuI7\nالموقع الثاني:\nhttps://t.co/JR7TnmnCZC https://t.co/AonbqEs9Rr","is_quote_status":false,"lang":"ar","possibly_sensitive":false,"possibly_sensitive_editable":true,"quote_count":3,"reply_count":5,"retweet_count":42,"retweeted":false,"user_id_str":"1121416643538817024","id_str":"1412987040791203840","id":"1412987040791203840"},{"bookmark_count":38,"bookmarked":false,"created_at":"Mon Apr 18 00:01:45 +0000 2022","conversation_id_str":"1515842987187650560","display_text_range":[0,243],"entities":{"hashtags":[],"media":[{"display_url":"pic.x.com/YluWBTtBJR","expanded_url":"https://x.com/da_vinci70/status/1515842987187650560/photo/1","id_str":"1515842979419799552","indices":[244,267],"media_key":"3_1515842979419799552","media_url_https":"https://pbs.twimg.com/media/FQlbKJOWQAAm5-d.jpg","type":"photo","url":"https://t.co/YluWBTtBJR","ext_media_availability":{"status":"Available"},"features":{"large":{"faces":[]},"medium":{"faces":[]},"small":{"faces":[]},"orig":{"faces":[]}},"sizes":{"large":{"h":720,"w":1295,"resize":"fit"},"medium":{"h":667,"w":1200,"resize":"fit"},"small":{"h":378,"w":680,"resize":"fit"},"thumb":{"h":150,"w":150,"resize":"crop"}},"original_info":{"height":720,"width":1295,"focus_rects":[{"x":9,"y":0,"w":1286,"h":720},{"x":575,"y":0,"w":720,"h":720},{"x":663,"y":0,"w":632,"h":720},{"x":887,"y":0,"w":360,"h":720},{"x":0,"y":0,"w":1295,"h":720}]},"media_results":{"result":{"media_key":"3_1515842979419799552"}}},{"display_url":"pic.x.com/YluWBTtBJR","expanded_url":"https://x.com/da_vinci70/status/1515842987187650560/photo/1","id_str":"1515842983513448450","indices":[244,267],"media_key":"3_1515842983513448450","media_url_https":"https://pbs.twimg.com/media/FQlbKYeWYAIQAjM.jpg","type":"photo","url":"https://t.co/YluWBTtBJR","ext_media_availability":{"status":"Available"},"features":{"large":{"faces":[]},"medium":{"faces":[]},"small":{"faces":[]},"orig":{"faces":[]}},"sizes":{"large":{"h":720,"w":1280,"resize":"fit"},"medium":{"h":675,"w":1200,"resize":"fit"},"small":{"h":383,"w":680,"resize":"fit"},"thumb":{"h":150,"w":150,"resize":"crop"}},"original_info":{"height":720,"width":1280,"focus_rects":[{"x":0,"y":0,"w":1280,"h":717},{"x":560,"y":0,"w":720,"h":720},{"x":648,"y":0,"w":632,"h":720},{"x":876,"y":0,"w":360,"h":720},{"x":0,"y":0,"w":1280,"h":720}]},"media_results":{"result":{"media_key":"3_1515842983513448450"}}}],"symbols":[],"timestamps":[],"urls":[],"user_mentions":[]},"extended_entities":{"media":[{"display_url":"pic.x.com/YluWBTtBJR","expanded_url":"https://x.com/da_vinci70/status/1515842987187650560/photo/1","id_str":"1515842979419799552","indices":[244,267],"media_key":"3_1515842979419799552","media_url_https":"https://pbs.twimg.com/media/FQlbKJOWQAAm5-d.jpg","type":"photo","url":"https://t.co/YluWBTtBJR","ext_media_availability":{"status":"Available"},"features":{"large":{"faces":[]},"medium":{"faces":[]},"small":{"faces":[]},"orig":{"faces":[]}},"sizes":{"large":{"h":720,"w":1295,"resize":"fit"},"medium":{"h":667,"w":1200,"resize":"fit"},"small":{"h":378,"w":680,"resize":"fit"},"thumb":{"h":150,"w":150,"resize":"crop"}},"original_info":{"height":720,"width":1295,"focus_rects":[{"x":9,"y":0,"w":1286,"h":720},{"x":575,"y":0,"w":720,"h":720},{"x":663,"y":0,"w":632,"h":720},{"x":887,"y":0,"w":360,"h":720},{"x":0,"y":0,"w":1295,"h":720}]},"media_results":{"result":{"media_key":"3_1515842979419799552"}}},{"display_url":"pic.x.com/YluWBTtBJR","expanded_url":"https://x.com/da_vinci70/status/1515842987187650560/photo/1","id_str":"1515842983513448450","indices":[244,267],"media_key":"3_1515842983513448450","media_url_https":"https://pbs.twimg.com/media/FQlbKYeWYAIQAjM.jpg","type":"photo","url":"https://t.co/YluWBTtBJR","ext_media_availability":{"status":"Available"},"features":{"large":{"faces":[]},"medium":{"faces":[]},"small":{"faces":[]},"orig":{"faces":[]}},"sizes":{"large":{"h":720,"w":1280,"resize":"fit"},"medium":{"h":675,"w":1200,"resize":"fit"},"small":{"h":383,"w":680,"resize":"fit"},"thumb":{"h":150,"w":150,"resize":"crop"}},"original_info":{"height":720,"width":1280,"focus_rects":[{"x":0,"y":0,"w":1280,"h":717},{"x":560,"y":0,"w":720,"h":720},{"x":648,"y":0,"w":632,"h":720},{"x":876,"y":0,"w":360,"h":720},{"x":0,"y":0,"w":1280,"h":720}]},"media_results":{"result":{"media_key":"3_1515842983513448450"}}}]},"favorite_count":153,"favorited":false,"full_text":"\"رسم مناظر طبيعية باستخدام الرياضيات\"\n\nفكرة المقطع مشابهة للطرق المستخدمة في تصميم العالم الخاص بالألعاب،\n بحيث يستخدموا معادلات رياضية عشان تقوم بنفسها بتحريك الصورة ووضع الظل والنور وتباين اللون بشكل تلقائي!\n\nالشكل بالبداية والنتيجة الاخيرة: https://t.co/YluWBTtBJR","is_quote_status":false,"lang":"ar","possibly_sensitive":false,"possibly_sensitive_editable":true,"quote_count":3,"reply_count":6,"retweet_count":21,"retweeted":false,"user_id_str":"1121416643538817024","id_str":"1515842987187650560","id":"1515842987187650560"},{"bookmark_count":68,"bookmarked":false,"created_at":"Sat Jun 26 17:12:00 +0000 2021","conversation_id_str":"1408835447917355013","display_text_range":[0,268],"entities":{"hashtags":[],"media":[{"display_url":"pic.x.com/uUYWOqsqje","expanded_url":"https://x.com/da_vinci70/status/1408835447917355013/photo/1","ext_alt_text":"Robot Derp GIF","id_str":"1408835438220132354","indices":[269,292],"media_key":"16_1408835438220132354","media_url_https":"https://pbs.twimg.com/tweet_video_thumb/E40wXeIXwAIdesr.jpg","type":"animated_gif","url":"https://t.co/uUYWOqsqje","ext_media_availability":{"status":"Available"},"sizes":{"large":{"h":122,"w":220,"resize":"fit"},"medium":{"h":122,"w":220,"resize":"fit"},"small":{"h":122,"w":220,"resize":"fit"},"thumb":{"h":122,"w":122,"resize":"crop"}},"original_info":{"height":122,"width":220,"focus_rects":[]},"video_info":{"aspect_ratio":[110,61],"variants":[{"bitrate":0,"content_type":"video/mp4","url":"https://video.twimg.com/tweet_video/E40wXeIXwAIdesr.mp4"}]},"media_results":{"result":{"media_key":"16_1408835438220132354"}}}],"symbols":[],"timestamps":[],"urls":[],"user_mentions":[]},"extended_entities":{"media":[{"display_url":"pic.x.com/uUYWOqsqje","expanded_url":"https://x.com/da_vinci70/status/1408835447917355013/photo/1","ext_alt_text":"Robot Derp GIF","id_str":"1408835438220132354","indices":[269,292],"media_key":"16_1408835438220132354","media_url_https":"https://pbs.twimg.com/tweet_video_thumb/E40wXeIXwAIdesr.jpg","type":"animated_gif","url":"https://t.co/uUYWOqsqje","ext_media_availability":{"status":"Available"},"sizes":{"large":{"h":122,"w":220,"resize":"fit"},"medium":{"h":122,"w":220,"resize":"fit"},"small":{"h":122,"w":220,"resize":"fit"},"thumb":{"h":122,"w":122,"resize":"crop"}},"original_info":{"height":122,"width":220,"focus_rects":[]},"video_info":{"aspect_ratio":[110,61],"variants":[{"bitrate":0,"content_type":"video/mp4","url":"https://video.twimg.com/tweet_video/E40wXeIXwAIdesr.mp4"}]},"media_results":{"result":{"media_key":"16_1408835438220132354"}}}]},"favorite_count":120,"favorited":false,"full_text":"ايش هي الروبوتات والحوسبة البصرية وايش امثلتهم؟ \n\nوهل فعلا نستعملهم بشكل يومي؟ كيف دراستهم ووين يتوظفوا؟\n\n وسمعت من قبل بالروبوت اللي له جنسية سعودية؟ \n\nكيف تعرف اذا التخصص هذا فعلا مكانك؟\n\nهنا بحاول اجاوب على معظم اسئلتك وبذكر اشياء رهيبة ممكن اول مرة تسمع عنها! ⬇️⬇️ https://t.co/uUYWOqsqje","is_quote_status":false,"lang":"ar","possibly_sensitive":false,"possibly_sensitive_editable":true,"quote_count":2,"reply_count":9,"retweet_count":15,"retweeted":false,"user_id_str":"1121416643538817024","id_str":"1408835447917355013","id":"1408835447917355013"},{"bookmark_count":47,"bookmarked":false,"created_at":"Mon Jun 15 14:47:22 +0000 2020","conversation_id_str":"1272541050905792512","display_text_range":[0,279],"entities":{"hashtags":[],"media":[{"display_url":"pic.x.com/kzaFSKzBkR","expanded_url":"https://x.com/da_vinci70/status/1272541214944960512/photo/1","id_str":"1272541178303516675","indices":[280,303],"media_key":"3_1272541178303516675","media_url_https":"https://pbs.twimg.com/media/Eaj5dZ7WkAMgNeD.jpg","type":"photo","url":"https://t.co/kzaFSKzBkR","ext_media_availability":{"status":"Available"},"features":{"large":{"faces":[]},"medium":{"faces":[]},"small":{"faces":[]},"orig":{"faces":[]}},"sizes":{"large":{"h":400,"w":400,"resize":"fit"},"medium":{"h":400,"w":400,"resize":"fit"},"small":{"h":400,"w":400,"resize":"fit"},"thumb":{"h":150,"w":150,"resize":"crop"}},"original_info":{"height":400,"width":400,"focus_rects":[{"x":0,"y":0,"w":400,"h":224},{"x":0,"y":0,"w":400,"h":400},{"x":25,"y":0,"w":351,"h":400},{"x":100,"y":0,"w":200,"h":400},{"x":0,"y":0,"w":400,"h":400}]},"media_results":{"result":{"media_key":"3_1272541178303516675"}}},{"display_url":"pic.x.com/kzaFSKzBkR","expanded_url":"https://x.com/da_vinci70/status/1272541214944960512/photo/1","id_str":"1272541196796248064","indices":[280,303],"media_key":"3_1272541196796248064","media_url_https":"https://pbs.twimg.com/media/Eaj5ee0XQAAmGd5.jpg","type":"photo","url":"https://t.co/kzaFSKzBkR","ext_media_availability":{"status":"Available"},"features":{"large":{"faces":[]},"medium":{"faces":[]},"small":{"faces":[]},"orig":{"faces":[]}},"sizes":{"large":{"h":400,"w":400,"resize":"fit"},"medium":{"h":400,"w":400,"resize":"fit"},"small":{"h":400,"w":400,"resize":"fit"},"thumb":{"h":150,"w":150,"resize":"crop"}},"original_info":{"height":400,"width":400,"focus_rects":[{"x":0,"y":78,"w":400,"h":224},{"x":0,"y":0,"w":400,"h":400},{"x":25,"y":0,"w":351,"h":400},{"x":100,"y":0,"w":200,"h":400},{"x":0,"y":0,"w":400,"h":400}]},"media_results":{"result":{"media_key":"3_1272541196796248064"}}},{"display_url":"pic.x.com/kzaFSKzBkR","expanded_url":"https://x.com/da_vinci70/status/1272541214944960512/photo/1","id_str":"1272541204966780930","indices":[280,303],"media_key":"3_1272541204966780930","media_url_https":"https://pbs.twimg.com/media/Eaj5e9QXsAIiuZr.jpg","type":"photo","url":"https://t.co/kzaFSKzBkR","ext_media_availability":{"status":"Available"},"features":{"large":{"faces":[]},"medium":{"faces":[]},"small":{"faces":[]},"orig":{"faces":[]}},"sizes":{"large":{"h":400,"w":400,"resize":"fit"},"medium":{"h":400,"w":400,"resize":"fit"},"small":{"h":400,"w":400,"resize":"fit"},"thumb":{"h":150,"w":150,"resize":"crop"}},"original_info":{"height":400,"width":400,"focus_rects":[{"x":0,"y":176,"w":400,"h":224},{"x":0,"y":0,"w":400,"h":400},{"x":15,"y":0,"w":351,"h":400},{"x":90,"y":0,"w":200,"h":400},{"x":0,"y":0,"w":400,"h":400}]},"media_results":{"result":{"media_key":"3_1272541204966780930"}}}],"symbols":[],"timestamps":[],"urls":[],"user_mentions":[{"id_str":"346754966","name":"الرياضيات الممتعة","screen_name":"AmazingMath2030","indices":[181,197]}]},"extended_entities":{"media":[{"display_url":"pic.x.com/kzaFSKzBkR","expanded_url":"https://x.com/da_vinci70/status/1272541214944960512/photo/1","id_str":"1272541178303516675","indices":[280,303],"media_key":"3_1272541178303516675","media_url_https":"https://pbs.twimg.com/media/Eaj5dZ7WkAMgNeD.jpg","type":"photo","url":"https://t.co/kzaFSKzBkR","ext_media_availability":{"status":"Available"},"features":{"large":{"faces":[]},"medium":{"faces":[]},"small":{"faces":[]},"orig":{"faces":[]}},"sizes":{"large":{"h":400,"w":400,"resize":"fit"},"medium":{"h":400,"w":400,"resize":"fit"},"small":{"h":400,"w":400,"resize":"fit"},"thumb":{"h":150,"w":150,"resize":"crop"}},"original_info":{"height":400,"width":400,"focus_rects":[{"x":0,"y":0,"w":400,"h":224},{"x":0,"y":0,"w":400,"h":400},{"x":25,"y":0,"w":351,"h":400},{"x":100,"y":0,"w":200,"h":400},{"x":0,"y":0,"w":400,"h":400}]},"media_results":{"result":{"media_key":"3_1272541178303516675"}}},{"display_url":"pic.x.com/kzaFSKzBkR","expanded_url":"https://x.com/da_vinci70/status/1272541214944960512/photo/1","id_str":"1272541196796248064","indices":[280,303],"media_key":"3_1272541196796248064","media_url_https":"https://pbs.twimg.com/media/Eaj5ee0XQAAmGd5.jpg","type":"photo","url":"https://t.co/kzaFSKzBkR","ext_media_availability":{"status":"Available"},"features":{"large":{"faces":[]},"medium":{"faces":[]},"small":{"faces":[]},"orig":{"faces":[]}},"sizes":{"large":{"h":400,"w":400,"resize":"fit"},"medium":{"h":400,"w":400,"resize":"fit"},"small":{"h":400,"w":400,"resize":"fit"},"thumb":{"h":150,"w":150,"resize":"crop"}},"original_info":{"height":400,"width":400,"focus_rects":[{"x":0,"y":78,"w":400,"h":224},{"x":0,"y":0,"w":400,"h":400},{"x":25,"y":0,"w":351,"h":400},{"x":100,"y":0,"w":200,"h":400},{"x":0,"y":0,"w":400,"h":400}]},"media_results":{"result":{"media_key":"3_1272541196796248064"}}},{"display_url":"pic.x.com/kzaFSKzBkR","expanded_url":"https://x.com/da_vinci70/status/1272541214944960512/photo/1","id_str":"1272541204966780930","indices":[280,303],"media_key":"3_1272541204966780930","media_url_https":"https://pbs.twimg.com/media/Eaj5e9QXsAIiuZr.jpg","type":"photo","url":"https://t.co/kzaFSKzBkR","ext_media_availability":{"status":"Available"},"features":{"large":{"faces":[]},"medium":{"faces":[]},"small":{"faces":[]},"orig":{"faces":[]}},"sizes":{"large":{"h":400,"w":400,"resize":"fit"},"medium":{"h":400,"w":400,"resize":"fit"},"small":{"h":400,"w":400,"resize":"fit"},"thumb":{"h":150,"w":150,"resize":"crop"}},"original_info":{"height":400,"width":400,"focus_rects":[{"x":0,"y":176,"w":400,"h":224},{"x":0,"y":0,"w":400,"h":400},{"x":15,"y":0,"w":351,"h":400},{"x":90,"y":0,"w":200,"h":400},{"x":0,"y":0,"w":400,"h":400}]},"media_results":{"result":{"media_key":"3_1272541204966780930"}}}]},"favorite_count":125,"favorited":false,"full_text":"كتاب الدكتور سلطان البركاتي @sultankaust بداية من كتاب \" مبادئ أساسية لأولمبياد الرياضيات\" ومن ثم لكتاب \"مبادئ أساسية لأولمبياد الرياضيات ٢\" -متقدم- وأيضا كتاب الدكتور طارق الصيعري @amazingmath2030 \"الخطوة الأولى إلى أولمبياد الرياضيات\" فقد اطلعت على محتواه مؤخرا وكان رائعا جدا. https://t.co/kzaFSKzBkR","in_reply_to_screen_name":"da_vinci70","in_reply_to_status_id_str":"1272541157290135553","in_reply_to_user_id_str":"1121416643538817024","is_quote_status":false,"lang":"ar","possibly_sensitive":false,"possibly_sensitive_editable":true,"quote_count":0,"reply_count":2,"retweet_count":11,"retweeted":false,"user_id_str":"1121416643538817024","id_str":"1272541214944960512","id":"1272541214944960512"},{"bookmark_count":8,"bookmarked":false,"created_at":"Sun Nov 10 18:29:28 +0000 2019","conversation_id_str":"1193589320235585536","display_text_range":[12,12],"entities":{"hashtags":[],"media":[{"display_url":"pic.x.com/N1QN4x0Hmw","expanded_url":"https://x.com/h0rus_0/status/1193596551442116608/photo/1","id_str":"1193596489966194688","indices":[13,36],"media_key":"3_1193596489966194688","media_url_https":"https://pbs.twimg.com/media/EJCBrwWWkAAkWzd.jpg","type":"photo","url":"https://t.co/N1QN4x0Hmw","ext_media_availability":{"status":"Available"},"features":{"large":{"faces":[{"x":34,"y":1516,"h":164,"w":164}]},"medium":{"faces":[{"x":19,"y":888,"h":96,"w":96}]},"small":{"faces":[{"x":11,"y":503,"h":54,"w":54}]},"orig":{"faces":[{"x":34,"y":1516,"h":164,"w":164}]}},"sizes":{"large":{"h":2048,"w":1536,"resize":"fit"},"medium":{"h":1200,"w":900,"resize":"fit"},"small":{"h":680,"w":510,"resize":"fit"},"thumb":{"h":150,"w":150,"resize":"crop"}},"original_info":{"height":2048,"width":1536,"focus_rects":[{"x":0,"y":440,"w":1536,"h":860},{"x":0,"y":102,"w":1536,"h":1536},{"x":0,"y":0,"w":1536,"h":1751},{"x":0,"y":0,"w":1024,"h":2048},{"x":0,"y":0,"w":1536,"h":2048}]},"media_results":{"result":{"media_key":"3_1193596489966194688"}}}],"symbols":[],"timestamps":[],"urls":[],"user_mentions":[{"id_str":"934281246435405824","name":"Physics & Astronomy Zone🔭","screen_name":"ZonePhysics","indices":[0,12]}]},"extended_entities":{"media":[{"display_url":"pic.x.com/N1QN4x0Hmw","expanded_url":"https://x.com/h0rus_0/status/1193596551442116608/photo/1","id_str":"1193596489966194688","indices":[13,36],"media_key":"3_1193596489966194688","media_url_https":"https://pbs.twimg.com/media/EJCBrwWWkAAkWzd.jpg","type":"photo","url":"https://t.co/N1QN4x0Hmw","ext_media_availability":{"status":"Available"},"features":{"large":{"faces":[{"x":34,"y":1516,"h":164,"w":164}]},"medium":{"faces":[{"x":19,"y":888,"h":96,"w":96}]},"small":{"faces":[{"x":11,"y":503,"h":54,"w":54}]},"orig":{"faces":[{"x":34,"y":1516,"h":164,"w":164}]}},"sizes":{"large":{"h":2048,"w":1536,"resize":"fit"},"medium":{"h":1200,"w":900,"resize":"fit"},"small":{"h":680,"w":510,"resize":"fit"},"thumb":{"h":150,"w":150,"resize":"crop"}},"original_info":{"height":2048,"width":1536,"focus_rects":[{"x":0,"y":440,"w":1536,"h":860},{"x":0,"y":102,"w":1536,"h":1536},{"x":0,"y":0,"w":1536,"h":1751},{"x":0,"y":0,"w":1024,"h":2048},{"x":0,"y":0,"w":1536,"h":2048}]},"media_results":{"result":{"media_key":"3_1193596489966194688"}}}]},"favorite_count":110,"favorited":false,"full_text":"@ZonePhysics https://t.co/N1QN4x0Hmw","in_reply_to_screen_name":"ZonePhysics","in_reply_to_status_id_str":"1193589320235585536","in_reply_to_user_id_str":"934281246435405824","is_quote_status":false,"lang":"qme","possibly_sensitive":false,"possibly_sensitive_editable":true,"quote_count":1,"reply_count":2,"retweet_count":8,"retweeted":false,"user_id_str":"1121416643538817024","id_str":"1193596551442116608","id":"1193596551442116608"},{"bookmark_count":43,"bookmarked":false,"created_at":"Mon Jun 15 14:47:30 +0000 2020","conversation_id_str":"1272541050905792512","display_text_range":[0,278],"entities":{"hashtags":[],"media":[{"display_url":"pic.x.com/T2caFjo0uz","expanded_url":"https://x.com/da_vinci70/status/1272541247081795585/photo/1","id_str":"1272541225216860160","indices":[279,302],"media_key":"3_1272541225216860160","media_url_https":"https://pbs.twimg.com/media/Eaj5gIsXYAAbLRV.jpg","type":"photo","url":"https://t.co/T2caFjo0uz","ext_media_availability":{"status":"Available"},"features":{"large":{"faces":[{"x":8,"y":46,"h":172,"w":172}]},"medium":{"faces":[{"x":8,"y":46,"h":172,"w":172}]},"small":{"faces":[{"x":8,"y":46,"h":172,"w":172}]},"orig":{"faces":[{"x":8,"y":46,"h":172,"w":172}]}},"sizes":{"large":{"h":327,"w":258,"resize":"fit"},"medium":{"h":327,"w":258,"resize":"fit"},"small":{"h":327,"w":258,"resize":"fit"},"thumb":{"h":150,"w":150,"resize":"crop"}},"original_info":{"height":327,"width":258,"focus_rects":[{"x":0,"y":183,"w":258,"h":144},{"x":0,"y":69,"w":258,"h":258},{"x":0,"y":33,"w":258,"h":294},{"x":0,"y":0,"w":164,"h":327},{"x":0,"y":0,"w":258,"h":327}]},"media_results":{"result":{"media_key":"3_1272541225216860160"}}},{"display_url":"pic.x.com/T2caFjo0uz","expanded_url":"https://x.com/da_vinci70/status/1272541247081795585/photo/1","id_str":"1272541235782324226","indices":[279,302],"media_key":"3_1272541235782324226","media_url_https":"https://pbs.twimg.com/media/Eaj5gwDXkAIDhha.jpg","type":"photo","url":"https://t.co/T2caFjo0uz","ext_media_availability":{"status":"Available"},"features":{"large":{"faces":[]},"medium":{"faces":[]},"small":{"faces":[]},"orig":{"faces":[]}},"sizes":{"large":{"h":500,"w":331,"resize":"fit"},"medium":{"h":500,"w":331,"resize":"fit"},"small":{"h":500,"w":331,"resize":"fit"},"thumb":{"h":150,"w":150,"resize":"crop"}},"original_info":{"height":500,"width":331,"focus_rects":[{"x":0,"y":45,"w":331,"h":185},{"x":0,"y":0,"w":331,"h":331},{"x":0,"y":0,"w":331,"h":377},{"x":40,"y":0,"w":250,"h":500},{"x":0,"y":0,"w":331,"h":500}]},"media_results":{"result":{"media_key":"3_1272541235782324226"}}}],"symbols":[],"timestamps":[],"urls":[{"display_url":"artofproblemsolving.com/wiki/index.php…","expanded_url":"https://artofproblemsolving.com/wiki/index.php/Category:Olympiad_Algebra_Problems","url":"https://t.co/n9zauCl0s8","indices":[255,278]}],"user_mentions":[]},"extended_entities":{"media":[{"display_url":"pic.x.com/T2caFjo0uz","expanded_url":"https://x.com/da_vinci70/status/1272541247081795585/photo/1","id_str":"1272541225216860160","indices":[279,302],"media_key":"3_1272541225216860160","media_url_https":"https://pbs.twimg.com/media/Eaj5gIsXYAAbLRV.jpg","type":"photo","url":"https://t.co/T2caFjo0uz","ext_media_availability":{"status":"Available"},"features":{"large":{"faces":[{"x":8,"y":46,"h":172,"w":172}]},"medium":{"faces":[{"x":8,"y":46,"h":172,"w":172}]},"small":{"faces":[{"x":8,"y":46,"h":172,"w":172}]},"orig":{"faces":[{"x":8,"y":46,"h":172,"w":172}]}},"sizes":{"large":{"h":327,"w":258,"resize":"fit"},"medium":{"h":327,"w":258,"resize":"fit"},"small":{"h":327,"w":258,"resize":"fit"},"thumb":{"h":150,"w":150,"resize":"crop"}},"original_info":{"height":327,"width":258,"focus_rects":[{"x":0,"y":183,"w":258,"h":144},{"x":0,"y":69,"w":258,"h":258},{"x":0,"y":33,"w":258,"h":294},{"x":0,"y":0,"w":164,"h":327},{"x":0,"y":0,"w":258,"h":327}]},"media_results":{"result":{"media_key":"3_1272541225216860160"}}},{"display_url":"pic.x.com/T2caFjo0uz","expanded_url":"https://x.com/da_vinci70/status/1272541247081795585/photo/1","id_str":"1272541235782324226","indices":[279,302],"media_key":"3_1272541235782324226","media_url_https":"https://pbs.twimg.com/media/Eaj5gwDXkAIDhha.jpg","type":"photo","url":"https://t.co/T2caFjo0uz","ext_media_availability":{"status":"Available"},"features":{"large":{"faces":[]},"medium":{"faces":[]},"small":{"faces":[]},"orig":{"faces":[]}},"sizes":{"large":{"h":500,"w":331,"resize":"fit"},"medium":{"h":500,"w":331,"resize":"fit"},"small":{"h":500,"w":331,"resize":"fit"},"thumb":{"h":150,"w":150,"resize":"crop"}},"original_info":{"height":500,"width":331,"focus_rects":[{"x":0,"y":45,"w":331,"h":185},{"x":0,"y":0,"w":331,"h":331},{"x":0,"y":0,"w":331,"h":377},{"x":40,"y":0,"w":250,"h":500},{"x":0,"y":0,"w":331,"h":500}]},"media_results":{"result":{"media_key":"3_1272541235782324226"}}}]},"favorite_count":109,"favorited":false,"full_text":"الجبر:-\nلإتقان الجبر يستلزم عليك التمرين المكثف ومعرفة عدة طرق تمكنك من حل كم هائل من المسائل، نبدأ بكتاب\n\"الجبر\" من إصدارات موهبة\nوكتاب \"problem solving strategies -Arthur Engel\" أو \"استراتيجيات حلول المسائل\"\nوهنا مسائل للأولمبياد العالمي بالجبر مع الحل\nhttps://t.co/n9zauCl0s8 https://t.co/T2caFjo0uz","in_reply_to_screen_name":"da_vinci70","in_reply_to_status_id_str":"1272541214944960512","in_reply_to_user_id_str":"1121416643538817024","is_quote_status":false,"lang":"ar","possibly_sensitive":false,"possibly_sensitive_editable":true,"quote_count":0,"reply_count":1,"retweet_count":14,"retweeted":false,"user_id_str":"1121416643538817024","id_str":"1272541247081795585","id":"1272541247081795585"},{"bookmark_count":7,"bookmarked":false,"created_at":"Sat Apr 29 07:10:38 +0000 2023","conversation_id_str":"1652208753607835649","display_text_range":[0,60],"entities":{"hashtags":[],"media":[{"display_url":"pic.x.com/wBHhVqMmcM","expanded_url":"https://x.com/da_vinci70/status/1652208753607835649/photo/1","id_str":"1652208751766544384","indices":[61,84],"media_key":"3_1652208751766544384","media_url_https":"https://pbs.twimg.com/media/Fu3TGx_WIAARYro.jpg","type":"photo","url":"https://t.co/wBHhVqMmcM","ext_media_availability":{"status":"Available"},"features":{"large":{"faces":[]},"medium":{"faces":[]},"small":{"faces":[]},"orig":{"faces":[]}},"sizes":{"large":{"h":948,"w":720,"resize":"fit"},"medium":{"h":948,"w":720,"resize":"fit"},"small":{"h":680,"w":516,"resize":"fit"},"thumb":{"h":150,"w":150,"resize":"crop"}},"original_info":{"height":948,"width":720,"focus_rects":[{"x":0,"y":545,"w":720,"h":403},{"x":0,"y":228,"w":720,"h":720},{"x":0,"y":127,"w":720,"h":821},{"x":246,"y":0,"w":474,"h":948},{"x":0,"y":0,"w":720,"h":948}]},"media_results":{"result":{"media_key":"3_1652208751766544384"}}}],"symbols":[],"timestamps":[],"urls":[],"user_mentions":[]},"extended_entities":{"media":[{"display_url":"pic.x.com/wBHhVqMmcM","expanded_url":"https://x.com/da_vinci70/status/1652208753607835649/photo/1","id_str":"1652208751766544384","indices":[61,84],"media_key":"3_1652208751766544384","media_url_https":"https://pbs.twimg.com/media/Fu3TGx_WIAARYro.jpg","type":"photo","url":"https://t.co/wBHhVqMmcM","ext_media_availability":{"status":"Available"},"features":{"large":{"faces":[]},"medium":{"faces":[]},"small":{"faces":[]},"orig":{"faces":[]}},"sizes":{"large":{"h":948,"w":720,"resize":"fit"},"medium":{"h":948,"w":720,"resize":"fit"},"small":{"h":680,"w":516,"resize":"fit"},"thumb":{"h":150,"w":150,"resize":"crop"}},"original_info":{"height":948,"width":720,"focus_rects":[{"x":0,"y":545,"w":720,"h":403},{"x":0,"y":228,"w":720,"h":720},{"x":0,"y":127,"w":720,"h":821},{"x":246,"y":0,"w":474,"h":948},{"x":0,"y":0,"w":720,"h":948}]},"media_results":{"result":{"media_key":"3_1652208751766544384"}}}]},"favorite_count":110,"favorited":false,"full_text":"فيه بعض الاشياء سلكتها بس يعني رسمتها بوقت مذاكرة فراضي عنها https://t.co/wBHhVqMmcM","is_quote_status":false,"lang":"ar","possibly_sensitive":false,"possibly_sensitive_editable":true,"quote_count":0,"reply_count":17,"retweet_count":5,"retweeted":false,"user_id_str":"1121416643538817024","id_str":"1652208753607835649","id":"1652208753607835649"},{"bookmark_count":31,"bookmarked":false,"created_at":"Mon Jun 15 14:48:34 +0000 2020","conversation_id_str":"1272541050905792512","display_text_range":[0,276],"entities":{"hashtags":[],"media":[{"display_url":"pic.x.com/Py7FTi3fEC","expanded_url":"https://x.com/da_vinci70/status/1272541514124660736/photo/1","id_str":"1272541467102380033","indices":[277,300],"media_key":"3_1272541467102380033","media_url_https":"https://pbs.twimg.com/media/Eaj5uNyXgAE8tQ4.jpg","type":"photo","url":"https://t.co/Py7FTi3fEC","ext_media_availability":{"status":"Available"},"features":{"large":{"faces":[]},"medium":{"faces":[]},"small":{"faces":[]},"orig":{"faces":[]}},"sizes":{"large":{"h":193,"w":128,"resize":"fit"},"medium":{"h":193,"w":128,"resize":"fit"},"small":{"h":193,"w":128,"resize":"fit"},"thumb":{"h":128,"w":128,"resize":"crop"}},"original_info":{"height":193,"width":128,"focus_rects":[{"x":0,"y":121,"w":128,"h":72},{"x":0,"y":65,"w":128,"h":128},{"x":0,"y":47,"w":128,"h":146},{"x":0,"y":0,"w":97,"h":193},{"x":0,"y":0,"w":128,"h":193}]},"media_results":{"result":{"media_key":"3_1272541467102380033"}}},{"display_url":"pic.x.com/Py7FTi3fEC","expanded_url":"https://x.com/da_vinci70/status/1272541514124660736/photo/1","id_str":"1272541470042607616","indices":[277,300],"media_key":"3_1272541470042607616","media_url_https":"https://pbs.twimg.com/media/Eaj5uYvX0AA5vG7.jpg","type":"photo","url":"https://t.co/Py7FTi3fEC","ext_media_availability":{"status":"Available"},"features":{"large":{"faces":[]},"medium":{"faces":[]},"small":{"faces":[]},"orig":{"faces":[]}},"sizes":{"large":{"h":1087,"w":719,"resize":"fit"},"medium":{"h":1087,"w":719,"resize":"fit"},"small":{"h":680,"w":450,"resize":"fit"},"thumb":{"h":150,"w":150,"resize":"crop"}},"original_info":{"height":1087,"width":719,"focus_rects":[{"x":0,"y":477,"w":719,"h":403},{"x":0,"y":319,"w":719,"h":719},{"x":0,"y":267,"w":719,"h":820},{"x":87,"y":0,"w":544,"h":1087},{"x":0,"y":0,"w":719,"h":1087}]},"media_results":{"result":{"media_key":"3_1272541470042607616"}}},{"display_url":"pic.x.com/Py7FTi3fEC","expanded_url":"https://x.com/da_vinci70/status/1272541514124660736/photo/1","id_str":"1272541485565648899","indices":[277,300],"media_key":"3_1272541485565648899","media_url_https":"https://pbs.twimg.com/media/Eaj5vSkWoAMgP0i.jpg","type":"photo","url":"https://t.co/Py7FTi3fEC","ext_media_availability":{"status":"Available"},"features":{"large":{"faces":[]},"medium":{"faces":[]},"small":{"faces":[]},"orig":{"faces":[]}},"sizes":{"large":{"h":1084,"w":716,"resize":"fit"},"medium":{"h":1084,"w":716,"resize":"fit"},"small":{"h":680,"w":449,"resize":"fit"},"thumb":{"h":150,"w":150,"resize":"crop"}},"original_info":{"height":1084,"width":716,"focus_rects":[{"x":0,"y":477,"w":716,"h":401},{"x":0,"y":319,"w":716,"h":716},{"x":0,"y":268,"w":716,"h":816},{"x":0,"y":0,"w":542,"h":1084},{"x":0,"y":0,"w":716,"h":1084}]},"media_results":{"result":{"media_key":"3_1272541485565648899"}}},{"display_url":"pic.x.com/Py7FTi3fEC","expanded_url":"https://x.com/da_vinci70/status/1272541514124660736/photo/1","id_str":"1272541501680222210","indices":[277,300],"media_key":"3_1272541501680222210","media_url_https":"https://pbs.twimg.com/media/Eaj5wOmXgAIqYkI.jpg","type":"photo","url":"https://t.co/Py7FTi3fEC","ext_media_availability":{"status":"Available"},"features":{"large":{"faces":[]},"medium":{"faces":[]},"small":{"faces":[]},"orig":{"faces":[]}},"sizes":{"large":{"h":1080,"w":711,"resize":"fit"},"medium":{"h":1080,"w":711,"resize":"fit"},"small":{"h":680,"w":448,"resize":"fit"},"thumb":{"h":150,"w":150,"resize":"crop"}},"original_info":{"height":1080,"width":711,"focus_rects":[{"x":0,"y":474,"w":711,"h":398},{"x":0,"y":318,"w":711,"h":711},{"x":0,"y":268,"w":711,"h":811},{"x":85,"y":0,"w":540,"h":1080},{"x":0,"y":0,"w":711,"h":1080}]},"media_results":{"result":{"media_key":"3_1272541501680222210"}}}],"symbols":[],"timestamps":[],"urls":[],"user_mentions":[]},"extended_entities":{"media":[{"display_url":"pic.x.com/Py7FTi3fEC","expanded_url":"https://x.com/da_vinci70/status/1272541514124660736/photo/1","id_str":"1272541467102380033","indices":[277,300],"media_key":"3_1272541467102380033","media_url_https":"https://pbs.twimg.com/media/Eaj5uNyXgAE8tQ4.jpg","type":"photo","url":"https://t.co/Py7FTi3fEC","ext_media_availability":{"status":"Available"},"features":{"large":{"faces":[]},"medium":{"faces":[]},"small":{"faces":[]},"orig":{"faces":[]}},"sizes":{"large":{"h":193,"w":128,"resize":"fit"},"medium":{"h":193,"w":128,"resize":"fit"},"small":{"h":193,"w":128,"resize":"fit"},"thumb":{"h":128,"w":128,"resize":"crop"}},"original_info":{"height":193,"width":128,"focus_rects":[{"x":0,"y":121,"w":128,"h":72},{"x":0,"y":65,"w":128,"h":128},{"x":0,"y":47,"w":128,"h":146},{"x":0,"y":0,"w":97,"h":193},{"x":0,"y":0,"w":128,"h":193}]},"media_results":{"result":{"media_key":"3_1272541467102380033"}}},{"display_url":"pic.x.com/Py7FTi3fEC","expanded_url":"https://x.com/da_vinci70/status/1272541514124660736/photo/1","id_str":"1272541470042607616","indices":[277,300],"media_key":"3_1272541470042607616","media_url_https":"https://pbs.twimg.com/media/Eaj5uYvX0AA5vG7.jpg","type":"photo","url":"https://t.co/Py7FTi3fEC","ext_media_availability":{"status":"Available"},"features":{"large":{"faces":[]},"medium":{"faces":[]},"small":{"faces":[]},"orig":{"faces":[]}},"sizes":{"large":{"h":1087,"w":719,"resize":"fit"},"medium":{"h":1087,"w":719,"resize":"fit"},"small":{"h":680,"w":450,"resize":"fit"},"thumb":{"h":150,"w":150,"resize":"crop"}},"original_info":{"height":1087,"width":719,"focus_rects":[{"x":0,"y":477,"w":719,"h":403},{"x":0,"y":319,"w":719,"h":719},{"x":0,"y":267,"w":719,"h":820},{"x":87,"y":0,"w":544,"h":1087},{"x":0,"y":0,"w":719,"h":1087}]},"media_results":{"result":{"media_key":"3_1272541470042607616"}}},{"display_url":"pic.x.com/Py7FTi3fEC","expanded_url":"https://x.com/da_vinci70/status/1272541514124660736/photo/1","id_str":"1272541485565648899","indices":[277,300],"media_key":"3_1272541485565648899","media_url_https":"https://pbs.twimg.com/media/Eaj5vSkWoAMgP0i.jpg","type":"photo","url":"https://t.co/Py7FTi3fEC","ext_media_availability":{"status":"Available"},"features":{"large":{"faces":[]},"medium":{"faces":[]},"small":{"faces":[]},"orig":{"faces":[]}},"sizes":{"large":{"h":1084,"w":716,"resize":"fit"},"medium":{"h":1084,"w":716,"resize":"fit"},"small":{"h":680,"w":449,"resize":"fit"},"thumb":{"h":150,"w":150,"resize":"crop"}},"original_info":{"height":1084,"width":716,"focus_rects":[{"x":0,"y":477,"w":716,"h":401},{"x":0,"y":319,"w":716,"h":716},{"x":0,"y":268,"w":716,"h":816},{"x":0,"y":0,"w":542,"h":1084},{"x":0,"y":0,"w":716,"h":1084}]},"media_results":{"result":{"media_key":"3_1272541485565648899"}}},{"display_url":"pic.x.com/Py7FTi3fEC","expanded_url":"https://x.com/da_vinci70/status/1272541514124660736/photo/1","id_str":"1272541501680222210","indices":[277,300],"media_key":"3_1272541501680222210","media_url_https":"https://pbs.twimg.com/media/Eaj5wOmXgAIqYkI.jpg","type":"photo","url":"https://t.co/Py7FTi3fEC","ext_media_availability":{"status":"Available"},"features":{"large":{"faces":[]},"medium":{"faces":[]},"small":{"faces":[]},"orig":{"faces":[]}},"sizes":{"large":{"h":1080,"w":711,"resize":"fit"},"medium":{"h":1080,"w":711,"resize":"fit"},"small":{"h":680,"w":448,"resize":"fit"},"thumb":{"h":150,"w":150,"resize":"crop"}},"original_info":{"height":1080,"width":711,"focus_rects":[{"x":0,"y":474,"w":711,"h":398},{"x":0,"y":318,"w":711,"h":711},{"x":0,"y":268,"w":711,"h":811},{"x":85,"y":0,"w":540,"h":1080},{"x":0,"y":0,"w":711,"h":1080}]},"media_results":{"result":{"media_key":"3_1272541501680222210"}}}]},"favorite_count":75,"favorited":false,"full_text":"كتاب \"الهندسة\" من إصدارات موهبة يبدأ من الأساس ويحوي مسائل جميلة ويصلح للمبتدئين.\n كتاب \"أولمبياد الرياضيات\" للأستاذ اسطيط عبدالرحيم يحتوي على مسائل مختلفة بجميع الفروع وبالأخص قسم الهندسة.\nوللمستوى المتقدم يمكنك الإطلاع على مسائل الهندسة بسلسلة \"mathematical olympiad series\" https://t.co/Py7FTi3fEC","in_reply_to_screen_name":"da_vinci70","in_reply_to_status_id_str":"1272541455958061056","in_reply_to_user_id_str":"1121416643538817024","is_quote_status":false,"lang":"ar","possibly_sensitive":false,"possibly_sensitive_editable":true,"quote_count":1,"reply_count":2,"retweet_count":9,"retweeted":false,"user_id_str":"1121416643538817024","id_str":"1272541514124660736","id":"1272541514124660736"},{"bookmark_count":42,"bookmarked":false,"created_at":"Mon Jun 15 14:49:19 +0000 2020","conversation_id_str":"1272541050905792512","display_text_range":[0,228],"entities":{"hashtags":[],"symbols":[],"timestamps":[],"urls":[{"display_url":"youtube.com/user/MindYourD…","expanded_url":"https://www.youtube.com/user/MindYourDecisions","url":"https://t.co/amGEMfTPEo","indices":[73,96]}],"user_mentions":[]},"favorite_count":70,"favorited":false,"full_text":"وقناة MindYourDecisions على اليوتيوب مفيدة كذلك لجميع المستويات بالهندسة\nhttps://t.co/amGEMfTPEo\nويمكنك الاطلاع على الأسئلة والحلول بتويتر، فهناك حسابات عديدة جدا سواءً لعرب أو لأجانب ومنها سترى حلولا مختلفة تثري ملكتك الهندسية.","in_reply_to_screen_name":"da_vinci70","in_reply_to_status_id_str":"1272541514124660736","in_reply_to_user_id_str":"1121416643538817024","is_quote_status":false,"lang":"ar","possibly_sensitive":false,"possibly_sensitive_editable":true,"quote_count":0,"reply_count":3,"retweet_count":8,"retweeted":false,"user_id_str":"1121416643538817024","id_str":"1272541705498243077","id":"1272541705498243077"},{"bookmark_count":6,"bookmarked":false,"created_at":"Mon May 01 06:05:58 +0000 2023","conversation_id_str":"1652917258895650817","display_text_range":[0,59],"entities":{"hashtags":[],"media":[{"display_url":"pic.x.com/c6WdMSWYiQ","expanded_url":"https://x.com/da_vinci70/status/1652917258895650817/photo/1","id_str":"1652917257218011139","indices":[60,83],"media_key":"3_1652917257218011139","media_url_https":"https://pbs.twimg.com/media/FvBXfOeXsAMU0ai.jpg","type":"photo","url":"https://t.co/c6WdMSWYiQ","ext_media_availability":{"status":"Available"},"features":{"large":{"faces":[]},"medium":{"faces":[]},"small":{"faces":[]},"orig":{"faces":[]}},"sizes":{"large":{"h":957,"w":718,"resize":"fit"},"medium":{"h":957,"w":718,"resize":"fit"},"small":{"h":680,"w":510,"resize":"fit"},"thumb":{"h":150,"w":150,"resize":"crop"}},"original_info":{"height":957,"width":718,"focus_rects":[{"x":0,"y":253,"w":718,"h":402},{"x":0,"y":95,"w":718,"h":718},{"x":0,"y":45,"w":718,"h":819},{"x":167,"y":0,"w":479,"h":957},{"x":0,"y":0,"w":718,"h":957}]},"media_results":{"result":{"media_key":"3_1652917257218011139"}}}],"symbols":[],"timestamps":[],"urls":[],"user_mentions":[]},"extended_entities":{"media":[{"display_url":"pic.x.com/c6WdMSWYiQ","expanded_url":"https://x.com/da_vinci70/status/1652917258895650817/photo/1","id_str":"1652917257218011139","indices":[60,83],"media_key":"3_1652917257218011139","media_url_https":"https://pbs.twimg.com/media/FvBXfOeXsAMU0ai.jpg","type":"photo","url":"https://t.co/c6WdMSWYiQ","ext_media_availability":{"status":"Available"},"features":{"large":{"faces":[]},"medium":{"faces":[]},"small":{"faces":[]},"orig":{"faces":[]}},"sizes":{"large":{"h":957,"w":718,"resize":"fit"},"medium":{"h":957,"w":718,"resize":"fit"},"small":{"h":680,"w":510,"resize":"fit"},"thumb":{"h":150,"w":150,"resize":"crop"}},"original_info":{"height":957,"width":718,"focus_rects":[{"x":0,"y":253,"w":718,"h":402},{"x":0,"y":95,"w":718,"h":718},{"x":0,"y":45,"w":718,"h":819},{"x":167,"y":0,"w":479,"h":957},{"x":0,"y":0,"w":718,"h":957}]},"media_results":{"result":{"media_key":"3_1652917257218011139"}}}]},"favorite_count":69,"favorited":false,"full_text":"تعويضا عن الرسمة الاخيرة، الان رسمة بتركيز وبرجع اذاكر خلاص https://t.co/c6WdMSWYiQ","is_quote_status":false,"lang":"ar","possibly_sensitive":false,"possibly_sensitive_editable":true,"quote_count":1,"reply_count":18,"retweet_count":7,"retweeted":false,"user_id_str":"1121416643538817024","id_str":"1652917258895650817","id":"1652917258895650817"},{"bookmark_count":24,"bookmarked":false,"created_at":"Mon Jun 15 15:04:59 +0000 2020","conversation_id_str":"1272541050905792512","display_text_range":[0,243],"entities":{"hashtags":[],"symbols":[],"timestamps":[],"urls":[{"display_url":"youtube.com/user/blackpenr…","expanded_url":"https://www.youtube.com/user/blackpenredpen","url":"https://t.co/CSamjOmH2z","indices":[30,53]},{"display_url":"youtube.com/playlist?list=…","expanded_url":"https://www.youtube.com/playlist?list=PL590CCC2BC5AF3BC1","url":"https://t.co/DbZiRHbMGP","indices":[69,92]}],"user_mentions":[]},"favorite_count":64,"favorited":false,"full_text":"القناة الشهيرة blackpenredpen\nhttps://t.co/CSamjOmH2z\nوأخيرا MIT OCW\nhttps://t.co/DbZiRHbMGP\nوكما قلت حسابات تويتر تمتلك مبدعين كثر، ومستواهم بالتفاضل والتكامل يفوق مالدي بسنين ضوئية فأنا مبتدئ وقيد التعلم، ويمكنك سؤالهم فهم الأدرى وأهل الخبرة","in_reply_to_screen_name":"da_vinci70","in_reply_to_status_id_str":"1272545640413892608","in_reply_to_user_id_str":"1121416643538817024","is_quote_status":false,"lang":"ar","possibly_sensitive":false,"possibly_sensitive_editable":true,"quote_count":0,"reply_count":2,"retweet_count":8,"retweeted":false,"user_id_str":"1121416643538817024","id_str":"1272545646390714368","id":"1272545646390714368"},{"bookmark_count":25,"bookmarked":false,"created_at":"Thu Jul 08 15:37:44 +0000 2021","conversation_id_str":"1412987040791203840","display_text_range":[0,277],"entities":{"hashtags":[],"media":[{"display_url":"pic.x.com/o6OlLgL7xb","expanded_url":"https://x.com/da_vinci70/status/1413160381011349513/photo/1","id_str":"1413160352053932039","indices":[278,301],"media_key":"3_1413160352053932039","media_url_https":"https://pbs.twimg.com/media/E5yN2lrXMAcTlSU.jpg","type":"photo","url":"https://t.co/o6OlLgL7xb","ext_media_availability":{"status":"Available"},"features":{"large":{"faces":[]},"medium":{"faces":[]},"small":{"faces":[]},"orig":{"faces":[]}},"sizes":{"large":{"h":1099,"w":719,"resize":"fit"},"medium":{"h":1099,"w":719,"resize":"fit"},"small":{"h":680,"w":445,"resize":"fit"},"thumb":{"h":150,"w":150,"resize":"crop"}},"original_info":{"height":1099,"width":719,"focus_rects":[{"x":0,"y":696,"w":719,"h":403},{"x":0,"y":380,"w":719,"h":719},{"x":0,"y":279,"w":719,"h":820},{"x":82,"y":0,"w":550,"h":1099},{"x":0,"y":0,"w":719,"h":1099}]},"media_results":{"result":{"media_key":"3_1413160352053932039"}}},{"display_url":"pic.x.com/o6OlLgL7xb","expanded_url":"https://x.com/da_vinci70/status/1413160381011349513/photo/1","id_str":"1413160359058419714","indices":[278,301],"media_key":"3_1413160359058419714","media_url_https":"https://pbs.twimg.com/media/E5yN2_xXMAIUqCA.jpg","type":"photo","url":"https://t.co/o6OlLgL7xb","ext_media_availability":{"status":"Available"},"features":{"large":{"faces":[{"x":657,"y":923,"h":56,"w":56}]},"medium":{"faces":[{"x":657,"y":923,"h":56,"w":56}]},"small":{"faces":[{"x":402,"y":564,"h":34,"w":34}]},"orig":{"faces":[{"x":657,"y":923,"h":56,"w":56}]}},"sizes":{"large":{"h":1110,"w":719,"resize":"fit"},"medium":{"h":1110,"w":719,"resize":"fit"},"small":{"h":680,"w":440,"resize":"fit"},"thumb":{"h":150,"w":150,"resize":"crop"}},"original_info":{"height":1110,"width":719,"focus_rects":[{"x":0,"y":707,"w":719,"h":403},{"x":0,"y":391,"w":719,"h":719},{"x":0,"y":290,"w":719,"h":820},{"x":0,"y":0,"w":555,"h":1110},{"x":0,"y":0,"w":719,"h":1110}]},"media_results":{"result":{"media_key":"3_1413160359058419714"}}},{"display_url":"pic.x.com/o6OlLgL7xb","expanded_url":"https://x.com/da_vinci70/status/1413160381011349513/photo/1","id_str":"1413160366616555524","indices":[278,301],"media_key":"3_1413160366616555524","media_url_https":"https://pbs.twimg.com/media/E5yN3b7XMAQ37mC.jpg","type":"photo","url":"https://t.co/o6OlLgL7xb","ext_media_availability":{"status":"Available"},"features":{"large":{"faces":[{"x":85,"y":254,"h":73,"w":73}]},"medium":{"faces":[{"x":85,"y":254,"h":73,"w":73}]},"small":{"faces":[{"x":52,"y":156,"h":44,"w":44}]},"orig":{"faces":[{"x":85,"y":254,"h":73,"w":73}]}},"sizes":{"large":{"h":1105,"w":720,"resize":"fit"},"medium":{"h":1105,"w":720,"resize":"fit"},"small":{"h":680,"w":443,"resize":"fit"},"thumb":{"h":150,"w":150,"resize":"crop"}},"original_info":{"height":1105,"width":720,"focus_rects":[{"x":0,"y":0,"w":720,"h":403},{"x":0,"y":0,"w":720,"h":720},{"x":0,"y":0,"w":720,"h":821},{"x":167,"y":0,"w":553,"h":1105},{"x":0,"y":0,"w":720,"h":1105}]},"media_results":{"result":{"media_key":"3_1413160366616555524"}}},{"display_url":"pic.x.com/o6OlLgL7xb","expanded_url":"https://x.com/da_vinci70/status/1413160381011349513/photo/1","id_str":"1413160374564790277","indices":[278,301],"media_key":"3_1413160374564790277","media_url_https":"https://pbs.twimg.com/media/E5yN35iXoAUFaRb.jpg","type":"photo","url":"https://t.co/o6OlLgL7xb","ext_media_availability":{"status":"Available"},"features":{"large":{"faces":[]},"medium":{"faces":[]},"small":{"faces":[]},"orig":{"faces":[]}},"sizes":{"large":{"h":1091,"w":720,"resize":"fit"},"medium":{"h":1091,"w":720,"resize":"fit"},"small":{"h":680,"w":449,"resize":"fit"},"thumb":{"h":150,"w":150,"resize":"crop"}},"original_info":{"height":1091,"width":720,"focus_rects":[{"x":0,"y":0,"w":720,"h":403},{"x":0,"y":0,"w":720,"h":720},{"x":0,"y":0,"w":720,"h":821},{"x":174,"y":0,"w":546,"h":1091},{"x":0,"y":0,"w":720,"h":1091}]},"media_results":{"result":{"media_key":"3_1413160374564790277"}}}],"symbols":[],"timestamps":[],"urls":[{"display_url":"mawhiba.org/Ar/DigitalLibr…","expanded_url":"https://www.mawhiba.org/Ar/DigitalLibrary/Resources/ScientificPublications/Pages/Latest.aspx?type=%D8%A5%D8%B5%D8%AF%D8%A7%D8%B1%D8%A7%D8%AA+%D9%85%D9%88%D9%87%D8%A8%D8%A9+%D8%A7%D9%84%D9%85%D8%A4%D9%84%D9%81%D8%A9","url":"https://t.co/3Wj2PrIQN5","indices":[151,174]}],"user_mentions":[]},"extended_entities":{"media":[{"display_url":"pic.x.com/o6OlLgL7xb","expanded_url":"https://x.com/da_vinci70/status/1413160381011349513/photo/1","id_str":"1413160352053932039","indices":[278,301],"media_key":"3_1413160352053932039","media_url_https":"https://pbs.twimg.com/media/E5yN2lrXMAcTlSU.jpg","type":"photo","url":"https://t.co/o6OlLgL7xb","ext_media_availability":{"status":"Available"},"features":{"large":{"faces":[]},"medium":{"faces":[]},"small":{"faces":[]},"orig":{"faces":[]}},"sizes":{"large":{"h":1099,"w":719,"resize":"fit"},"medium":{"h":1099,"w":719,"resize":"fit"},"small":{"h":680,"w":445,"resize":"fit"},"thumb":{"h":150,"w":150,"resize":"crop"}},"original_info":{"height":1099,"width":719,"focus_rects":[{"x":0,"y":696,"w":719,"h":403},{"x":0,"y":380,"w":719,"h":719},{"x":0,"y":279,"w":719,"h":820},{"x":82,"y":0,"w":550,"h":1099},{"x":0,"y":0,"w":719,"h":1099}]},"media_results":{"result":{"media_key":"3_1413160352053932039"}}},{"display_url":"pic.x.com/o6OlLgL7xb","expanded_url":"https://x.com/da_vinci70/status/1413160381011349513/photo/1","id_str":"1413160359058419714","indices":[278,301],"media_key":"3_1413160359058419714","media_url_https":"https://pbs.twimg.com/media/E5yN2_xXMAIUqCA.jpg","type":"photo","url":"https://t.co/o6OlLgL7xb","ext_media_availability":{"status":"Available"},"features":{"large":{"faces":[{"x":657,"y":923,"h":56,"w":56}]},"medium":{"faces":[{"x":657,"y":923,"h":56,"w":56}]},"small":{"faces":[{"x":402,"y":564,"h":34,"w":34}]},"orig":{"faces":[{"x":657,"y":923,"h":56,"w":56}]}},"sizes":{"large":{"h":1110,"w":719,"resize":"fit"},"medium":{"h":1110,"w":719,"resize":"fit"},"small":{"h":680,"w":440,"resize":"fit"},"thumb":{"h":150,"w":150,"resize":"crop"}},"original_info":{"height":1110,"width":719,"focus_rects":[{"x":0,"y":707,"w":719,"h":403},{"x":0,"y":391,"w":719,"h":719},{"x":0,"y":290,"w":719,"h":820},{"x":0,"y":0,"w":555,"h":1110},{"x":0,"y":0,"w":719,"h":1110}]},"media_results":{"result":{"media_key":"3_1413160359058419714"}}},{"display_url":"pic.x.com/o6OlLgL7xb","expanded_url":"https://x.com/da_vinci70/status/1413160381011349513/photo/1","id_str":"1413160366616555524","indices":[278,301],"media_key":"3_1413160366616555524","media_url_https":"https://pbs.twimg.com/media/E5yN3b7XMAQ37mC.jpg","type":"photo","url":"https://t.co/o6OlLgL7xb","ext_media_availability":{"status":"Available"},"features":{"large":{"faces":[{"x":85,"y":254,"h":73,"w":73}]},"medium":{"faces":[{"x":85,"y":254,"h":73,"w":73}]},"small":{"faces":[{"x":52,"y":156,"h":44,"w":44}]},"orig":{"faces":[{"x":85,"y":254,"h":73,"w":73}]}},"sizes":{"large":{"h":1105,"w":720,"resize":"fit"},"medium":{"h":1105,"w":720,"resize":"fit"},"small":{"h":680,"w":443,"resize":"fit"},"thumb":{"h":150,"w":150,"resize":"crop"}},"original_info":{"height":1105,"width":720,"focus_rects":[{"x":0,"y":0,"w":720,"h":403},{"x":0,"y":0,"w":720,"h":720},{"x":0,"y":0,"w":720,"h":821},{"x":167,"y":0,"w":553,"h":1105},{"x":0,"y":0,"w":720,"h":1105}]},"media_results":{"result":{"media_key":"3_1413160366616555524"}}},{"display_url":"pic.x.com/o6OlLgL7xb","expanded_url":"https://x.com/da_vinci70/status/1413160381011349513/photo/1","id_str":"1413160374564790277","indices":[278,301],"media_key":"3_1413160374564790277","media_url_https":"https://pbs.twimg.com/media/E5yN35iXoAUFaRb.jpg","type":"photo","url":"https://t.co/o6OlLgL7xb","ext_media_availability":{"status":"Available"},"features":{"large":{"faces":[]},"medium":{"faces":[]},"small":{"faces":[]},"orig":{"faces":[]}},"sizes":{"large":{"h":1091,"w":720,"resize":"fit"},"medium":{"h":1091,"w":720,"resize":"fit"},"small":{"h":680,"w":449,"resize":"fit"},"thumb":{"h":150,"w":150,"resize":"crop"}},"original_info":{"height":1091,"width":720,"focus_rects":[{"x":0,"y":0,"w":720,"h":403},{"x":0,"y":0,"w":720,"h":720},{"x":0,"y":0,"w":720,"h":821},{"x":174,"y":0,"w":546,"h":1091},{"x":0,"y":0,"w":720,"h":1091}]},"media_results":{"result":{"media_key":"3_1413160374564790277"}}}]},"favorite_count":64,"favorited":false,"full_text":"للي سالني بالكيريوس عن كتب موهبة هذي هي.\nتقدر تتصفحهم من الرابط تحت،\nالنسخة الورقية تنباع بنون وامازون والنسخة الالكترونية موجودة ب google books وجرير\nhttps://t.co/3Wj2PrIQN5\n\nومن ناحية اختبار AMC فمستواه مقارب جدا للكنجارو وبافكار متشابهة واحيانا اصعب بشوي فانصحك تتدرب عليها. https://t.co/o6OlLgL7xb","in_reply_to_screen_name":"da_vinci70","in_reply_to_status_id_str":"1412987040791203840","in_reply_to_user_id_str":"1121416643538817024","is_quote_status":false,"lang":"ar","possibly_sensitive":false,"possibly_sensitive_editable":true,"quote_count":0,"reply_count":2,"retweet_count":8,"retweeted":false,"user_id_str":"1121416643538817024","id_str":"1413160381011349513","id":"1413160381011349513"},{"bookmark_count":44,"bookmarked":false,"created_at":"Sun Feb 18 17:07:20 +0000 2024","conversation_id_str":"1759263339966771325","display_text_range":[0,265],"entities":{"hashtags":[],"media":[{"display_url":"pic.x.com/VHh5oIfP8t","expanded_url":"https://x.com/da_vinci70/status/1759263339966771325/photo/1","id_str":"1759263336309338112","indices":[266,289],"media_key":"3_1759263336309338112","media_url_https":"https://pbs.twimg.com/media/GGoorvMWMAAqauc.jpg","type":"photo","url":"https://t.co/VHh5oIfP8t","ext_media_availability":{"status":"Available"},"features":{"large":{"faces":[]},"medium":{"faces":[]},"small":{"faces":[]},"orig":{"faces":[]}},"sizes":{"large":{"h":1394,"w":2048,"resize":"fit"},"medium":{"h":817,"w":1200,"resize":"fit"},"small":{"h":463,"w":680,"resize":"fit"},"thumb":{"h":150,"w":150,"resize":"crop"}},"original_info":{"height":1394,"width":2048,"focus_rects":[{"x":0,"y":0,"w":2048,"h":1147},{"x":654,"y":0,"w":1394,"h":1394},{"x":825,"y":0,"w":1223,"h":1394},{"x":1135,"y":0,"w":697,"h":1394},{"x":0,"y":0,"w":2048,"h":1394}]},"media_results":{"result":{"media_key":"3_1759263336309338112"}}},{"display_url":"pic.x.com/VHh5oIfP8t","expanded_url":"https://x.com/da_vinci70/status/1759263339966771325/photo/1","id_str":"1759263335801884672","indices":[266,289],"media_key":"3_1759263335801884672","media_url_https":"https://pbs.twimg.com/media/GGoortTXEAAP7R7.jpg","type":"photo","url":"https://t.co/VHh5oIfP8t","ext_media_availability":{"status":"Available"},"features":{"large":{"faces":[]},"medium":{"faces":[]},"small":{"faces":[]},"orig":{"faces":[]}},"sizes":{"large":{"h":800,"w":1200,"resize":"fit"},"medium":{"h":800,"w":1200,"resize":"fit"},"small":{"h":453,"w":680,"resize":"fit"},"thumb":{"h":150,"w":150,"resize":"crop"}},"original_info":{"height":800,"width":1200,"focus_rects":[{"x":0,"y":128,"w":1200,"h":672},{"x":230,"y":0,"w":800,"h":800},{"x":279,"y":0,"w":702,"h":800},{"x":430,"y":0,"w":400,"h":800},{"x":0,"y":0,"w":1200,"h":800}]},"media_results":{"result":{"media_key":"3_1759263335801884672"}}}],"symbols":[],"timestamps":[],"urls":[],"user_mentions":[]},"extended_entities":{"media":[{"display_url":"pic.x.com/VHh5oIfP8t","expanded_url":"https://x.com/da_vinci70/status/1759263339966771325/photo/1","id_str":"1759263336309338112","indices":[266,289],"media_key":"3_1759263336309338112","media_url_https":"https://pbs.twimg.com/media/GGoorvMWMAAqauc.jpg","type":"photo","url":"https://t.co/VHh5oIfP8t","ext_media_availability":{"status":"Available"},"features":{"large":{"faces":[]},"medium":{"faces":[]},"small":{"faces":[]},"orig":{"faces":[]}},"sizes":{"large":{"h":1394,"w":2048,"resize":"fit"},"medium":{"h":817,"w":1200,"resize":"fit"},"small":{"h":463,"w":680,"resize":"fit"},"thumb":{"h":150,"w":150,"resize":"crop"}},"original_info":{"height":1394,"width":2048,"focus_rects":[{"x":0,"y":0,"w":2048,"h":1147},{"x":654,"y":0,"w":1394,"h":1394},{"x":825,"y":0,"w":1223,"h":1394},{"x":1135,"y":0,"w":697,"h":1394},{"x":0,"y":0,"w":2048,"h":1394}]},"media_results":{"result":{"media_key":"3_1759263336309338112"}}},{"display_url":"pic.x.com/VHh5oIfP8t","expanded_url":"https://x.com/da_vinci70/status/1759263339966771325/photo/1","id_str":"1759263335801884672","indices":[266,289],"media_key":"3_1759263335801884672","media_url_https":"https://pbs.twimg.com/media/GGoortTXEAAP7R7.jpg","type":"photo","url":"https://t.co/VHh5oIfP8t","ext_media_availability":{"status":"Available"},"features":{"large":{"faces":[]},"medium":{"faces":[]},"small":{"faces":[]},"orig":{"faces":[]}},"sizes":{"large":{"h":800,"w":1200,"resize":"fit"},"medium":{"h":800,"w":1200,"resize":"fit"},"small":{"h":453,"w":680,"resize":"fit"},"thumb":{"h":150,"w":150,"resize":"crop"}},"original_info":{"height":800,"width":1200,"focus_rects":[{"x":0,"y":128,"w":1200,"h":672},{"x":230,"y":0,"w":800,"h":800},{"x":279,"y":0,"w":702,"h":800},{"x":430,"y":0,"w":400,"h":800},{"x":0,"y":0,"w":1200,"h":800}]},"media_results":{"result":{"media_key":"3_1759263335801884672"}}}]},"favorite_count":60,"favorited":false,"full_text":"تملك اليابان أفضل شبكة قطارات بالعالم، تتحمل فوق 14 مليون شخص يوميا وحوالي 300 محطة ومع ذلك سريعة وكفاءتها جدا عالية، أخذت أكثر من 100 سنة من التصميم تحت أفضل المهندسين.\n\nلكن مع كل هذا التخطيط المعقد إلا أن عفن غروي مع شوية شوفان قدر يسوي نفس المخطط في 26 ساعة فقط. https://t.co/VHh5oIfP8t","is_quote_status":true,"lang":"ar","possibly_sensitive":false,"possibly_sensitive_editable":true,"quote_count":1,"quoted_status_id_str":"1758818483544924227","quoted_status_permalink":{"url":"https://t.co/cbMqn5ODoo","expanded":"https://twitter.com/usergaunlinii/status/1758818483544924227","display":"x.com/usergaunlinii/…"},"reply_count":4,"retweet_count":8,"retweeted":false,"user_id_str":"1121416643538817024","id_str":"1759263339966771325","id":"1759263339966771325"},{"bookmark_count":31,"bookmarked":false,"created_at":"Mon Jun 15 15:04:58 +0000 2020","conversation_id_str":"1272541050905792512","display_text_range":[0,272],"entities":{"hashtags":[],"media":[{"display_url":"pic.x.com/lowALzcGlw","expanded_url":"https://x.com/da_vinci70/status/1272545640413892608/photo/1","id_str":"1272545631345795076","indices":[273,296],"media_key":"3_1272545631345795076","media_url_https":"https://pbs.twimg.com/media/Eaj9gmzXYAQBakL.jpg","type":"photo","url":"https://t.co/lowALzcGlw","ext_media_availability":{"status":"Available"},"features":{"large":{"faces":[]},"medium":{"faces":[]},"small":{"faces":[]},"orig":{"faces":[]}},"sizes":{"large":{"h":230,"w":169,"resize":"fit"},"medium":{"h":230,"w":169,"resize":"fit"},"small":{"h":230,"w":169,"resize":"fit"},"thumb":{"h":150,"w":150,"resize":"crop"}},"original_info":{"height":230,"width":169,"focus_rects":[{"x":0,"y":119,"w":169,"h":95},{"x":0,"y":61,"w":169,"h":169},{"x":0,"y":37,"w":169,"h":193},{"x":29,"y":0,"w":115,"h":230},{"x":0,"y":0,"w":169,"h":230}]},"media_results":{"result":{"media_key":"3_1272545631345795076"}}}],"symbols":[],"timestamps":[],"urls":[{"display_url":"youtube.com/user/patrickJMT","expanded_url":"https://www.youtube.com/user/patrickJMT","url":"https://t.co/88eq022aEc","indices":[201,224]},{"display_url":"youtube.com/user/professor…","expanded_url":"https://www.youtube.com/user/professorleonard57","url":"https://t.co/rtedt21LqF","indices":[249,272]}],"user_mentions":[]},"extended_entities":{"media":[{"display_url":"pic.x.com/lowALzcGlw","expanded_url":"https://x.com/da_vinci70/status/1272545640413892608/photo/1","id_str":"1272545631345795076","indices":[273,296],"media_key":"3_1272545631345795076","media_url_https":"https://pbs.twimg.com/media/Eaj9gmzXYAQBakL.jpg","type":"photo","url":"https://t.co/lowALzcGlw","ext_media_availability":{"status":"Available"},"features":{"large":{"faces":[]},"medium":{"faces":[]},"small":{"faces":[]},"orig":{"faces":[]}},"sizes":{"large":{"h":230,"w":169,"resize":"fit"},"medium":{"h":230,"w":169,"resize":"fit"},"small":{"h":230,"w":169,"resize":"fit"},"thumb":{"h":150,"w":150,"resize":"crop"}},"original_info":{"height":230,"width":169,"focus_rects":[{"x":0,"y":119,"w":169,"h":95},{"x":0,"y":61,"w":169,"h":169},{"x":0,"y":37,"w":169,"h":193},{"x":29,"y":0,"w":115,"h":230},{"x":0,"y":0,"w":169,"h":230}]},"media_results":{"result":{"media_key":"3_1272545631345795076"}}}]},"favorite_count":56,"favorited":false,"full_text":"وموقع وتطبيق khan academy يقوم بشروحات بسيطة وواضحة من دون تعمق لغير المختص وللتبسيط فلا يتعمق مثلا ب epsilon delta عكس الكتب المذكورة أعلاه.\nويوجد ايضا قناة patrickjmt تحتوي العديد من المسائل للتمرين\nhttps://t.co/88eq022aEc\nوقناة professor Leonard\nhttps://t.co/rtedt21LqF https://t.co/lowALzcGlw","in_reply_to_screen_name":"da_vinci70","in_reply_to_status_id_str":"1272545626744594434","in_reply_to_user_id_str":"1121416643538817024","is_quote_status":false,"lang":"ar","possibly_sensitive":false,"possibly_sensitive_editable":true,"quote_count":0,"reply_count":1,"retweet_count":6,"retweeted":false,"user_id_str":"1121416643538817024","id_str":"1272545640413892608","id":"1272545640413892608"},{"bookmark_count":26,"bookmarked":false,"created_at":"Mon Jun 15 15:04:54 +0000 2020","conversation_id_str":"1272541050905792512","display_text_range":[0,257],"entities":{"hashtags":[],"media":[{"display_url":"pic.x.com/qIC1z0bSXn","expanded_url":"https://x.com/da_vinci70/status/1272545626744594434/photo/1","id_str":"1272545608495218689","indices":[258,281],"media_key":"3_1272545608495218689","media_url_https":"https://pbs.twimg.com/media/Eaj9fRrXQAE9zfy.jpg","type":"photo","url":"https://t.co/qIC1z0bSXn","ext_media_availability":{"status":"Available"},"features":{"large":{"faces":[]},"medium":{"faces":[]},"small":{"faces":[]},"orig":{"faces":[]}},"sizes":{"large":{"h":800,"w":600,"resize":"fit"},"medium":{"h":800,"w":600,"resize":"fit"},"small":{"h":680,"w":510,"resize":"fit"},"thumb":{"h":150,"w":150,"resize":"crop"}},"original_info":{"height":800,"width":600,"focus_rects":[{"x":0,"y":52,"w":600,"h":336},{"x":0,"y":0,"w":600,"h":600},{"x":0,"y":0,"w":600,"h":684},{"x":0,"y":0,"w":400,"h":800},{"x":0,"y":0,"w":600,"h":800}]},"media_results":{"result":{"media_key":"3_1272545608495218689"}}},{"display_url":"pic.x.com/qIC1z0bSXn","expanded_url":"https://x.com/da_vinci70/status/1272545626744594434/photo/1","id_str":"1272545623389147136","indices":[258,281],"media_key":"3_1272545623389147136","media_url_https":"https://pbs.twimg.com/media/Eaj9gJKWkAAcvi2.jpg","type":"photo","url":"https://t.co/qIC1z0bSXn","ext_media_availability":{"status":"Available"},"features":{"large":{"faces":[]},"medium":{"faces":[]},"small":{"faces":[]},"orig":{"faces":[]}},"sizes":{"large":{"h":500,"w":425,"resize":"fit"},"medium":{"h":500,"w":425,"resize":"fit"},"small":{"h":500,"w":425,"resize":"fit"},"thumb":{"h":150,"w":150,"resize":"crop"}},"original_info":{"height":500,"width":425,"focus_rects":[{"x":0,"y":0,"w":425,"h":238},{"x":0,"y":0,"w":425,"h":425},{"x":0,"y":0,"w":425,"h":485},{"x":87,"y":0,"w":250,"h":500},{"x":0,"y":0,"w":425,"h":500}]},"media_results":{"result":{"media_key":"3_1272545623389147136"}}}],"symbols":[],"timestamps":[],"urls":[],"user_mentions":[]},"extended_entities":{"media":[{"display_url":"pic.x.com/qIC1z0bSXn","expanded_url":"https://x.com/da_vinci70/status/1272545626744594434/photo/1","id_str":"1272545608495218689","indices":[258,281],"media_key":"3_1272545608495218689","media_url_https":"https://pbs.twimg.com/media/Eaj9fRrXQAE9zfy.jpg","type":"photo","url":"https://t.co/qIC1z0bSXn","ext_media_availability":{"status":"Available"},"features":{"large":{"faces":[]},"medium":{"faces":[]},"small":{"faces":[]},"orig":{"faces":[]}},"sizes":{"large":{"h":800,"w":600,"resize":"fit"},"medium":{"h":800,"w":600,"resize":"fit"},"small":{"h":680,"w":510,"resize":"fit"},"thumb":{"h":150,"w":150,"resize":"crop"}},"original_info":{"height":800,"width":600,"focus_rects":[{"x":0,"y":52,"w":600,"h":336},{"x":0,"y":0,"w":600,"h":600},{"x":0,"y":0,"w":600,"h":684},{"x":0,"y":0,"w":400,"h":800},{"x":0,"y":0,"w":600,"h":800}]},"media_results":{"result":{"media_key":"3_1272545608495218689"}}},{"display_url":"pic.x.com/qIC1z0bSXn","expanded_url":"https://x.com/da_vinci70/status/1272545626744594434/photo/1","id_str":"1272545623389147136","indices":[258,281],"media_key":"3_1272545623389147136","media_url_https":"https://pbs.twimg.com/media/Eaj9gJKWkAAcvi2.jpg","type":"photo","url":"https://t.co/qIC1z0bSXn","ext_media_availability":{"status":"Available"},"features":{"large":{"faces":[]},"medium":{"faces":[]},"small":{"faces":[]},"orig":{"faces":[]}},"sizes":{"large":{"h":500,"w":425,"resize":"fit"},"medium":{"h":500,"w":425,"resize":"fit"},"small":{"h":500,"w":425,"resize":"fit"},"thumb":{"h":150,"w":150,"resize":"crop"}},"original_info":{"height":500,"width":425,"focus_rects":[{"x":0,"y":0,"w":425,"h":238},{"x":0,"y":0,"w":425,"h":425},{"x":0,"y":0,"w":425,"h":485},{"x":87,"y":0,"w":250,"h":500},{"x":0,"y":0,"w":425,"h":500}]},"media_results":{"result":{"media_key":"3_1272545623389147136"}}}]},"favorite_count":55,"favorited":false,"full_text":"وانتهينا من الأولمبياد لنذهب للتكامل والتفاضل مع أني لست أهلا للحديث عنها كذلك ولكن لمن أراد التعلم ولم يجد مصدرا فسأقدم المصادر التي تعلمت منها ولا أزال أتعلم منها أيضا .\n\"Calculus: early transcendentals by James Stewart\"\nوكتاب\n\"Calculus by Michael Spivak\" https://t.co/qIC1z0bSXn","in_reply_to_screen_name":"da_vinci70","in_reply_to_status_id_str":"1272545605156560896","in_reply_to_user_id_str":"1121416643538817024","is_quote_status":false,"lang":"ar","possibly_sensitive":false,"possibly_sensitive_editable":true,"quote_count":0,"reply_count":1,"retweet_count":8,"retweeted":false,"user_id_str":"1121416643538817024","id_str":"1272545626744594434","id":"1272545626744594434"},{"bookmark_count":13,"bookmarked":false,"created_at":"Thu Jun 11 13:37:59 +0000 2020","conversation_id_str":"1271074200904761344","display_text_range":[0,248],"entities":{"hashtags":[],"media":[{"display_url":"pic.x.com/f5GAE4lWhP","expanded_url":"https://x.com/da_vinci70/status/1271074200904761344/photo/1","id_str":"1271074185247436803","indices":[249,272],"media_key":"3_1271074185247436803","media_url_https":"https://pbs.twimg.com/media/EaPDPK7XsAMpVGP.jpg","type":"photo","url":"https://t.co/f5GAE4lWhP","ext_media_availability":{"status":"Available"},"features":{"large":{"faces":[]},"medium":{"faces":[]},"small":{"faces":[]},"orig":{"faces":[]}},"sizes":{"large":{"h":1128,"w":720,"resize":"fit"},"medium":{"h":1128,"w":720,"resize":"fit"},"small":{"h":680,"w":434,"resize":"fit"},"thumb":{"h":150,"w":150,"resize":"crop"}},"original_info":{"height":1128,"width":720,"focus_rects":[{"x":0,"y":109,"w":720,"h":403},{"x":0,"y":0,"w":720,"h":720},{"x":0,"y":0,"w":720,"h":821},{"x":0,"y":0,"w":564,"h":1128},{"x":0,"y":0,"w":720,"h":1128}]},"media_results":{"result":{"media_key":"3_1271074185247436803"}}}],"symbols":[],"timestamps":[],"urls":[],"user_mentions":[]},"extended_entities":{"media":[{"display_url":"pic.x.com/f5GAE4lWhP","expanded_url":"https://x.com/da_vinci70/status/1271074200904761344/photo/1","id_str":"1271074185247436803","indices":[249,272],"media_key":"3_1271074185247436803","media_url_https":"https://pbs.twimg.com/media/EaPDPK7XsAMpVGP.jpg","type":"photo","url":"https://t.co/f5GAE4lWhP","ext_media_availability":{"status":"Available"},"features":{"large":{"faces":[]},"medium":{"faces":[]},"small":{"faces":[]},"orig":{"faces":[]}},"sizes":{"large":{"h":1128,"w":720,"resize":"fit"},"medium":{"h":1128,"w":720,"resize":"fit"},"small":{"h":680,"w":434,"resize":"fit"},"thumb":{"h":150,"w":150,"resize":"crop"}},"original_info":{"height":1128,"width":720,"focus_rects":[{"x":0,"y":109,"w":720,"h":403},{"x":0,"y":0,"w":720,"h":720},{"x":0,"y":0,"w":720,"h":821},{"x":0,"y":0,"w":564,"h":1128},{"x":0,"y":0,"w":720,"h":1128}]},"media_results":{"result":{"media_key":"3_1271074185247436803"}}}]},"favorite_count":60,"favorited":false,"full_text":"- تسلموا جميعا ع ثناؤكم وان شاءالله اكون قد هالشيء ومن ناحية الماث بتكلم بالتفصيل عنه بثريد قريب ان شاءالله وبدايتي وايش سويت وماسويت ومصادر ع كل قسم وحتى ع الاولمبياد وممكن افتح قناة ع اليوتيوب اسوي فيها شروحات للنظريات والمسائل.\n- نورك ربي يسعدك❤ https://t.co/f5GAE4lWhP","is_quote_status":false,"lang":"ar","possibly_sensitive":false,"possibly_sensitive_editable":true,"quote_count":0,"reply_count":20,"retweet_count":9,"retweeted":false,"user_id_str":"1121416643538817024","id_str":"1271074200904761344","id":"1271074200904761344"},{"bookmark_count":15,"bookmarked":false,"created_at":"Mon Jun 15 15:04:42 +0000 2020","conversation_id_str":"1272541050905792512","display_text_range":[0,240],"entities":{"hashtags":[],"media":[{"display_url":"pic.x.com/xe1di6R30Y","expanded_url":"https://x.com/da_vinci70/status/1272545576815595520/photo/1","id_str":"1272545558020923392","indices":[241,264],"media_key":"3_1272545558020923392","media_url_https":"https://pbs.twimg.com/media/Eaj9cVpWoAAZDGo.jpg","type":"photo","url":"https://t.co/xe1di6R30Y","ext_media_availability":{"status":"Available"},"features":{"large":{"faces":[]},"medium":{"faces":[]},"small":{"faces":[]},"orig":{"faces":[]}},"sizes":{"large":{"h":911,"w":746,"resize":"fit"},"medium":{"h":911,"w":746,"resize":"fit"},"small":{"h":680,"w":557,"resize":"fit"},"thumb":{"h":150,"w":150,"resize":"crop"}},"original_info":{"height":911,"width":746,"focus_rects":[{"x":0,"y":493,"w":746,"h":418},{"x":0,"y":165,"w":746,"h":746},{"x":0,"y":61,"w":746,"h":850},{"x":113,"y":0,"w":456,"h":911},{"x":0,"y":0,"w":746,"h":911}]},"media_results":{"result":{"media_key":"3_1272545558020923392"}}},{"display_url":"pic.x.com/xe1di6R30Y","expanded_url":"https://x.com/da_vinci70/status/1272545576815595520/photo/1","id_str":"1272545573577666562","indices":[241,264],"media_key":"3_1272545573577666562","media_url_https":"https://pbs.twimg.com/media/Eaj9dPmXsAIBCKt.jpg","type":"photo","url":"https://t.co/xe1di6R30Y","ext_media_availability":{"status":"Available"},"features":{"large":{"faces":[]},"medium":{"faces":[]},"small":{"faces":[]},"orig":{"faces":[]}},"sizes":{"large":{"h":280,"w":200,"resize":"fit"},"medium":{"h":280,"w":200,"resize":"fit"},"small":{"h":280,"w":200,"resize":"fit"},"thumb":{"h":150,"w":150,"resize":"crop"}},"original_info":{"height":280,"width":200,"focus_rects":[{"x":0,"y":0,"w":200,"h":112},{"x":0,"y":0,"w":200,"h":200},{"x":0,"y":0,"w":200,"h":228},{"x":30,"y":0,"w":140,"h":280},{"x":0,"y":0,"w":200,"h":280}]},"media_results":{"result":{"media_key":"3_1272545573577666562"}}}],"symbols":[],"timestamps":[],"urls":[{"display_url":"artofproblemsolving.com/wiki/index.php…","expanded_url":"https://artofproblemsolving.com/wiki/index.php/Combinatorics","url":"https://t.co/UV80i9Ozvq","indices":[217,240]}],"user_mentions":[]},"extended_entities":{"media":[{"display_url":"pic.x.com/xe1di6R30Y","expanded_url":"https://x.com/da_vinci70/status/1272545576815595520/photo/1","id_str":"1272545558020923392","indices":[241,264],"media_key":"3_1272545558020923392","media_url_https":"https://pbs.twimg.com/media/Eaj9cVpWoAAZDGo.jpg","type":"photo","url":"https://t.co/xe1di6R30Y","ext_media_availability":{"status":"Available"},"features":{"large":{"faces":[]},"medium":{"faces":[]},"small":{"faces":[]},"orig":{"faces":[]}},"sizes":{"large":{"h":911,"w":746,"resize":"fit"},"medium":{"h":911,"w":746,"resize":"fit"},"small":{"h":680,"w":557,"resize":"fit"},"thumb":{"h":150,"w":150,"resize":"crop"}},"original_info":{"height":911,"width":746,"focus_rects":[{"x":0,"y":493,"w":746,"h":418},{"x":0,"y":165,"w":746,"h":746},{"x":0,"y":61,"w":746,"h":850},{"x":113,"y":0,"w":456,"h":911},{"x":0,"y":0,"w":746,"h":911}]},"media_results":{"result":{"media_key":"3_1272545558020923392"}}},{"display_url":"pic.x.com/xe1di6R30Y","expanded_url":"https://x.com/da_vinci70/status/1272545576815595520/photo/1","id_str":"1272545573577666562","indices":[241,264],"media_key":"3_1272545573577666562","media_url_https":"https://pbs.twimg.com/media/Eaj9dPmXsAIBCKt.jpg","type":"photo","url":"https://t.co/xe1di6R30Y","ext_media_availability":{"status":"Available"},"features":{"large":{"faces":[]},"medium":{"faces":[]},"small":{"faces":[]},"orig":{"faces":[]}},"sizes":{"large":{"h":280,"w":200,"resize":"fit"},"medium":{"h":280,"w":200,"resize":"fit"},"small":{"h":280,"w":200,"resize":"fit"},"thumb":{"h":150,"w":150,"resize":"crop"}},"original_info":{"height":280,"width":200,"focus_rects":[{"x":0,"y":0,"w":200,"h":112},{"x":0,"y":0,"w":200,"h":200},{"x":0,"y":0,"w":200,"h":228},{"x":30,"y":0,"w":140,"h":280},{"x":0,"y":0,"w":200,"h":280}]},"media_results":{"result":{"media_key":"3_1272545573577666562"}}}]},"favorite_count":57,"favorited":false,"full_text":"التركيبات:-\nنبدأ بكتاب \"التركيبات\" من إصدارات موهبة\nوكتاب \"مقدمة في نظرية التركيبات\" للدكتور أحمد شراري والدكتور محمد الزهيري\nوأيضا كمصدر أجنبي فهذا القسم بموقع art of problem solving غني بالمعلومات الثرية بالتركيبات\nhttps://t.co/UV80i9Ozvq https://t.co/xe1di6R30Y","in_reply_to_screen_name":"da_vinci70","in_reply_to_status_id_str":"1272541705498243077","in_reply_to_user_id_str":"1121416643538817024","is_quote_status":false,"lang":"ar","possibly_sensitive":false,"possibly_sensitive_editable":true,"quote_count":0,"reply_count":1,"retweet_count":9,"retweeted":false,"user_id_str":"1121416643538817024","id_str":"1272545576815595520","id":"1272545576815595520"},{"bookmark_count":17,"bookmarked":false,"created_at":"Mon Jun 15 15:04:49 +0000 2020","conversation_id_str":"1272541050905792512","display_text_range":[0,276],"entities":{"hashtags":[],"media":[{"display_url":"pic.x.com/9sc8StfjIG","expanded_url":"https://x.com/da_vinci70/status/1272545605156560896/photo/1","id_str":"1272545586873618433","indices":[277,300],"media_key":"3_1272545586873618433","media_url_https":"https://pbs.twimg.com/media/Eaj9eBIX0AEt50L.jpg","type":"photo","url":"https://t.co/9sc8StfjIG","ext_media_availability":{"status":"Available"},"features":{"large":{"faces":[]},"medium":{"faces":[]},"small":{"faces":[]},"orig":{"faces":[]}},"sizes":{"large":{"h":382,"w":258,"resize":"fit"},"medium":{"h":382,"w":258,"resize":"fit"},"small":{"h":382,"w":258,"resize":"fit"},"thumb":{"h":150,"w":150,"resize":"crop"}},"original_info":{"height":382,"width":258,"focus_rects":[{"x":0,"y":166,"w":258,"h":144},{"x":0,"y":109,"w":258,"h":258},{"x":0,"y":88,"w":258,"h":294},{"x":48,"y":0,"w":191,"h":382},{"x":0,"y":0,"w":258,"h":382}]},"media_results":{"result":{"media_key":"3_1272545586873618433"}}},{"display_url":"pic.x.com/9sc8StfjIG","expanded_url":"https://x.com/da_vinci70/status/1272545605156560896/photo/1","id_str":"1272545591747321857","indices":[277,300],"media_key":"3_1272545591747321857","media_url_https":"https://pbs.twimg.com/media/Eaj9eTSWoAEykYb.jpg","type":"photo","url":"https://t.co/9sc8StfjIG","ext_media_availability":{"status":"Available"},"features":{"large":{"faces":[{"x":571,"y":431,"h":56,"w":56}]},"medium":{"faces":[{"x":571,"y":431,"h":56,"w":56}]},"small":{"faces":[{"x":388,"y":293,"h":38,"w":38}]},"orig":{"faces":[{"x":571,"y":431,"h":56,"w":56}]}},"sizes":{"large":{"h":998,"w":646,"resize":"fit"},"medium":{"h":998,"w":646,"resize":"fit"},"small":{"h":680,"w":440,"resize":"fit"},"thumb":{"h":150,"w":150,"resize":"crop"}},"original_info":{"height":998,"width":646,"focus_rects":[{"x":0,"y":93,"w":646,"h":362},{"x":0,"y":0,"w":646,"h":646},{"x":0,"y":0,"w":646,"h":736},{"x":75,"y":0,"w":499,"h":998},{"x":0,"y":0,"w":646,"h":998}]},"media_results":{"result":{"media_key":"3_1272545591747321857"}}}],"symbols":[],"timestamps":[],"urls":[],"user_mentions":[]},"extended_entities":{"media":[{"display_url":"pic.x.com/9sc8StfjIG","expanded_url":"https://x.com/da_vinci70/status/1272545605156560896/photo/1","id_str":"1272545586873618433","indices":[277,300],"media_key":"3_1272545586873618433","media_url_https":"https://pbs.twimg.com/media/Eaj9eBIX0AEt50L.jpg","type":"photo","url":"https://t.co/9sc8StfjIG","ext_media_availability":{"status":"Available"},"features":{"large":{"faces":[]},"medium":{"faces":[]},"small":{"faces":[]},"orig":{"faces":[]}},"sizes":{"large":{"h":382,"w":258,"resize":"fit"},"medium":{"h":382,"w":258,"resize":"fit"},"small":{"h":382,"w":258,"resize":"fit"},"thumb":{"h":150,"w":150,"resize":"crop"}},"original_info":{"height":382,"width":258,"focus_rects":[{"x":0,"y":166,"w":258,"h":144},{"x":0,"y":109,"w":258,"h":258},{"x":0,"y":88,"w":258,"h":294},{"x":48,"y":0,"w":191,"h":382},{"x":0,"y":0,"w":258,"h":382}]},"media_results":{"result":{"media_key":"3_1272545586873618433"}}},{"display_url":"pic.x.com/9sc8StfjIG","expanded_url":"https://x.com/da_vinci70/status/1272545605156560896/photo/1","id_str":"1272545591747321857","indices":[277,300],"media_key":"3_1272545591747321857","media_url_https":"https://pbs.twimg.com/media/Eaj9eTSWoAEykYb.jpg","type":"photo","url":"https://t.co/9sc8StfjIG","ext_media_availability":{"status":"Available"},"features":{"large":{"faces":[{"x":571,"y":431,"h":56,"w":56}]},"medium":{"faces":[{"x":571,"y":431,"h":56,"w":56}]},"small":{"faces":[{"x":388,"y":293,"h":38,"w":38}]},"orig":{"faces":[{"x":571,"y":431,"h":56,"w":56}]}},"sizes":{"large":{"h":998,"w":646,"resize":"fit"},"medium":{"h":998,"w":646,"resize":"fit"},"small":{"h":680,"w":440,"resize":"fit"},"thumb":{"h":150,"w":150,"resize":"crop"}},"original_info":{"height":998,"width":646,"focus_rects":[{"x":0,"y":93,"w":646,"h":362},{"x":0,"y":0,"w":646,"h":646},{"x":0,"y":0,"w":646,"h":736},{"x":75,"y":0,"w":499,"h":998},{"x":0,"y":0,"w":646,"h":998}]},"media_results":{"result":{"media_key":"3_1272545591747321857"}}}]},"favorite_count":54,"favorited":false,"full_text":"نظرية الاعداد:-\n لا أملك الخبرة الكافية للحديث عنها فلا أزال قيد التعلم بها ولكن سأقدم ما أعرف وما اطلعت عليه فقط، كبداية هناك كتاب \n \"نظرية الاعداد\" من إصدارات موهبة يعتبر جميلا جدا كأساس للمبتدئين وأيضا كتاب \"مقدمة في نظرية الاعداد\" للدكتور فوزي الذكير والدكتور معروف سمحان. https://t.co/9sc8StfjIG","in_reply_to_screen_name":"da_vinci70","in_reply_to_status_id_str":"1272545576815595520","in_reply_to_user_id_str":"1121416643538817024","is_quote_status":false,"lang":"ar","possibly_sensitive":false,"possibly_sensitive_editable":true,"quote_count":0,"reply_count":1,"retweet_count":9,"retweeted":false,"user_id_str":"1121416643538817024","id_str":"1272545605156560896","id":"1272545605156560896"},{"bookmark_count":15,"bookmarked":false,"created_at":"Mon Jun 15 15:05:05 +0000 2020","conversation_id_str":"1272541050905792512","display_text_range":[0,232],"entities":{"hashtags":[],"media":[{"display_url":"pic.x.com/Qq23JkqtIA","expanded_url":"https://x.com/da_vinci70/status/1272545673334980608/photo/1","id_str":"1272545656503242753","indices":[233,256],"media_key":"3_1272545656503242753","media_url_https":"https://pbs.twimg.com/media/Eaj9iEhXkAESiFh.jpg","type":"photo","url":"https://t.co/Qq23JkqtIA","ext_media_availability":{"status":"Available"},"features":{"large":{"faces":[]},"medium":{"faces":[]},"small":{"faces":[]},"orig":{"faces":[]}},"sizes":{"large":{"h":399,"w":316,"resize":"fit"},"medium":{"h":399,"w":316,"resize":"fit"},"small":{"h":399,"w":316,"resize":"fit"},"thumb":{"h":150,"w":150,"resize":"crop"}},"original_info":{"height":399,"width":316,"focus_rects":[{"x":0,"y":221,"w":316,"h":177},{"x":0,"y":83,"w":316,"h":316},{"x":0,"y":39,"w":316,"h":360},{"x":109,"y":0,"w":200,"h":399},{"x":0,"y":0,"w":316,"h":399}]},"media_results":{"result":{"media_key":"3_1272545656503242753"}}},{"display_url":"pic.x.com/Qq23JkqtIA","expanded_url":"https://x.com/da_vinci70/status/1272545673334980608/photo/1","id_str":"1272545663725842432","indices":[233,256],"media_key":"3_1272545663725842432","media_url_https":"https://pbs.twimg.com/media/Eaj9ifbXsAAGxgl.jpg","type":"photo","url":"https://t.co/Qq23JkqtIA","ext_media_availability":{"status":"Available"},"features":{"large":{"faces":[]},"medium":{"faces":[]},"small":{"faces":[]},"orig":{"faces":[]}},"sizes":{"large":{"h":400,"w":310,"resize":"fit"},"medium":{"h":400,"w":310,"resize":"fit"},"small":{"h":400,"w":310,"resize":"fit"},"thumb":{"h":150,"w":150,"resize":"crop"}},"original_info":{"height":400,"width":310,"focus_rects":[{"x":0,"y":223,"w":310,"h":174},{"x":0,"y":90,"w":310,"h":310},{"x":0,"y":47,"w":310,"h":353},{"x":110,"y":0,"w":200,"h":400},{"x":0,"y":0,"w":310,"h":400}]},"media_results":{"result":{"media_key":"3_1272545663725842432"}}},{"display_url":"pic.x.com/Qq23JkqtIA","expanded_url":"https://x.com/da_vinci70/status/1272545673334980608/photo/1","id_str":"1272545669237047297","indices":[233,256],"media_key":"3_1272545669237047297","media_url_https":"https://pbs.twimg.com/media/Eaj9iz9WAAERqnK.jpg","type":"photo","url":"https://t.co/Qq23JkqtIA","ext_media_availability":{"status":"Available"},"features":{"large":{"faces":[]},"medium":{"faces":[]},"small":{"faces":[]},"orig":{"faces":[]}},"sizes":{"large":{"h":360,"w":270,"resize":"fit"},"medium":{"h":360,"w":270,"resize":"fit"},"small":{"h":360,"w":270,"resize":"fit"},"thumb":{"h":150,"w":150,"resize":"crop"}},"original_info":{"height":360,"width":270,"focus_rects":[{"x":0,"y":132,"w":270,"h":151},{"x":0,"y":72,"w":270,"h":270},{"x":0,"y":52,"w":270,"h":308},{"x":45,"y":0,"w":180,"h":360},{"x":0,"y":0,"w":270,"h":360}]},"media_results":{"result":{"media_key":"3_1272545669237047297"}}}],"symbols":[],"timestamps":[],"urls":[],"user_mentions":[]},"extended_entities":{"media":[{"display_url":"pic.x.com/Qq23JkqtIA","expanded_url":"https://x.com/da_vinci70/status/1272545673334980608/photo/1","id_str":"1272545656503242753","indices":[233,256],"media_key":"3_1272545656503242753","media_url_https":"https://pbs.twimg.com/media/Eaj9iEhXkAESiFh.jpg","type":"photo","url":"https://t.co/Qq23JkqtIA","ext_media_availability":{"status":"Available"},"features":{"large":{"faces":[]},"medium":{"faces":[]},"small":{"faces":[]},"orig":{"faces":[]}},"sizes":{"large":{"h":399,"w":316,"resize":"fit"},"medium":{"h":399,"w":316,"resize":"fit"},"small":{"h":399,"w":316,"resize":"fit"},"thumb":{"h":150,"w":150,"resize":"crop"}},"original_info":{"height":399,"width":316,"focus_rects":[{"x":0,"y":221,"w":316,"h":177},{"x":0,"y":83,"w":316,"h":316},{"x":0,"y":39,"w":316,"h":360},{"x":109,"y":0,"w":200,"h":399},{"x":0,"y":0,"w":316,"h":399}]},"media_results":{"result":{"media_key":"3_1272545656503242753"}}},{"display_url":"pic.x.com/Qq23JkqtIA","expanded_url":"https://x.com/da_vinci70/status/1272545673334980608/photo/1","id_str":"1272545663725842432","indices":[233,256],"media_key":"3_1272545663725842432","media_url_https":"https://pbs.twimg.com/media/Eaj9ifbXsAAGxgl.jpg","type":"photo","url":"https://t.co/Qq23JkqtIA","ext_media_availability":{"status":"Available"},"features":{"large":{"faces":[]},"medium":{"faces":[]},"small":{"faces":[]},"orig":{"faces":[]}},"sizes":{"large":{"h":400,"w":310,"resize":"fit"},"medium":{"h":400,"w":310,"resize":"fit"},"small":{"h":400,"w":310,"resize":"fit"},"thumb":{"h":150,"w":150,"resize":"crop"}},"original_info":{"height":400,"width":310,"focus_rects":[{"x":0,"y":223,"w":310,"h":174},{"x":0,"y":90,"w":310,"h":310},{"x":0,"y":47,"w":310,"h":353},{"x":110,"y":0,"w":200,"h":400},{"x":0,"y":0,"w":310,"h":400}]},"media_results":{"result":{"media_key":"3_1272545663725842432"}}},{"display_url":"pic.x.com/Qq23JkqtIA","expanded_url":"https://x.com/da_vinci70/status/1272545673334980608/photo/1","id_str":"1272545669237047297","indices":[233,256],"media_key":"3_1272545669237047297","media_url_https":"https://pbs.twimg.com/media/Eaj9iz9WAAERqnK.jpg","type":"photo","url":"https://t.co/Qq23JkqtIA","ext_media_availability":{"status":"Available"},"features":{"large":{"faces":[]},"medium":{"faces":[]},"small":{"faces":[]},"orig":{"faces":[]}},"sizes":{"large":{"h":360,"w":270,"resize":"fit"},"medium":{"h":360,"w":270,"resize":"fit"},"small":{"h":360,"w":270,"resize":"fit"},"thumb":{"h":150,"w":150,"resize":"crop"}},"original_info":{"height":360,"width":270,"focus_rects":[{"x":0,"y":132,"w":270,"h":151},{"x":0,"y":72,"w":270,"h":270},{"x":0,"y":52,"w":270,"h":308},{"x":45,"y":0,"w":180,"h":360},{"x":0,"y":0,"w":270,"h":360}]},"media_results":{"result":{"media_key":"3_1272545669237047297"}}}]},"favorite_count":50,"favorited":false,"full_text":"لمن أراد إثراء معلوماته الرياضية والقراءة عن تاريخ الرياضيات ومصادر عامة ايضا، عليك الإطلاع على التالي:\nكتاب \"1001 فكرة عن الرياضيات\"\n\" الرياضيات - مقدمة قصيرة جدا \"\nقناة numberphile على اليوتيوب وقناة 3blue1brown على اليوتيوب كذلك. https://t.co/Qq23JkqtIA","in_reply_to_screen_name":"da_vinci70","in_reply_to_status_id_str":"1272545648945041409","in_reply_to_user_id_str":"1121416643538817024","is_quote_status":false,"lang":"ar","possibly_sensitive":false,"possibly_sensitive_editable":true,"quote_count":0,"reply_count":1,"retweet_count":8,"retweeted":false,"user_id_str":"1121416643538817024","id_str":"1272545673334980608","id":"1272545673334980608"},{"bookmark_count":11,"bookmarked":false,"created_at":"Fri Jun 18 23:07:52 +0000 2021","conversation_id_str":"1406025904271335429","display_text_range":[0,302],"entities":{"hashtags":[],"symbols":[],"timestamps":[],"urls":[],"user_mentions":[]},"favorite_count":42,"favorited":false,"full_text":".\n15² = <1×2>25=225\n25² = <2×3>25=625\n35² = <3×4>25=1225\n45² = <4×5>25=2025\n55² = <5×6>25=3025\n.\n.\n.\n995² = <99×100>25=990025\n\nمن الاشياء اللي كنت مهتم فيها بالمتوسط هي خدع الحساب السريع هذه أحدها ان شاءالله تفيدكم، وطبعا لها اثبات جبري بسيط حاول تثبتها تحت التغريدة","is_quote_status":false,"lang":"ar","quote_count":1,"reply_count":1,"retweet_count":4,"retweeted":false,"user_id_str":"1121416643538817024","id_str":"1406025904271335429","id":"1406025904271335429"},{"bookmark_count":33,"bookmarked":false,"created_at":"Wed Feb 21 14:32:30 +0000 2024","conversation_id_str":"1760311538261319857","display_text_range":[0,225],"entities":{"hashtags":[],"media":[{"display_url":"pic.x.com/cW1P2Pol3U","expanded_url":"https://x.com/da_vinci70/status/1760311538261319857/video/1","id_str":"1760311427187810304","indices":[226,249],"media_key":"7_1760311427187810304","media_url_https":"https://pbs.twimg.com/ext_tw_video_thumb/1760311427187810304/pu/img/xOtFWvQ2uAPv8Zy-.jpg","type":"video","url":"https://t.co/cW1P2Pol3U","additional_media_info":{"monetizable":false},"ext_media_availability":{"status":"Available"},"sizes":{"large":{"h":638,"w":648,"resize":"fit"},"medium":{"h":638,"w":648,"resize":"fit"},"small":{"h":638,"w":648,"resize":"fit"},"thumb":{"h":150,"w":150,"resize":"crop"}},"original_info":{"height":638,"width":648,"focus_rects":[]},"video_info":{"aspect_ratio":[324,319],"duration_millis":22534,"variants":[{"content_type":"application/x-mpegURL","url":"https://video.twimg.com/ext_tw_video/1760311427187810304/pu/pl/LryR4912ZAn5CCtK.m3u8?tag=12&v=cfc"},{"bitrate":256000,"content_type":"video/mp4","url":"https://video.twimg.com/ext_tw_video/1760311427187810304/pu/vid/avc1/274x270/5JPXMUFATwCLe99N.mp4?tag=12"},{"bitrate":832000,"content_type":"video/mp4","url":"https://video.twimg.com/ext_tw_video/1760311427187810304/pu/vid/avc1/364x360/wyAmBlxykfOMuBmw.mp4?tag=12"},{"bitrate":2176000,"content_type":"video/mp4","url":"https://video.twimg.com/ext_tw_video/1760311427187810304/pu/vid/avc1/648x638/J8XrJrHvWaGV2Qcy.mp4?tag=12"}]},"media_results":{"result":{"media_key":"7_1760311427187810304"}}},{"display_url":"pic.x.com/cW1P2Pol3U","expanded_url":"https://x.com/da_vinci70/status/1760311538261319857/video/1","id_str":"1760311427653373952","indices":[226,249],"media_key":"3_1760311427653373952","media_url_https":"https://pbs.twimg.com/media/GG3h6rtXEAA9i8w.jpg","type":"photo","url":"https://t.co/cW1P2Pol3U","ext_media_availability":{"status":"Available"},"features":{"large":{"faces":[{"x":759,"y":71,"h":121,"w":121}]},"medium":{"faces":[{"x":444,"y":41,"h":70,"w":70}]},"small":{"faces":[{"x":252,"y":23,"h":40,"w":40}]},"orig":{"faces":[{"x":765,"y":72,"h":122,"w":122}]}},"sizes":{"large":{"h":2048,"w":1072,"resize":"fit"},"medium":{"h":1200,"w":628,"resize":"fit"},"small":{"h":680,"w":356,"resize":"fit"},"thumb":{"h":150,"w":150,"resize":"crop"}},"original_info":{"height":2064,"width":1080,"focus_rects":[{"x":0,"y":368,"w":1080,"h":605},{"x":0,"y":130,"w":1080,"h":1080},{"x":0,"y":55,"w":1080,"h":1231},{"x":0,"y":0,"w":1032,"h":2064},{"x":0,"y":0,"w":1080,"h":2064}]},"media_results":{"result":{"media_key":"3_1760311427653373952"}}}],"symbols":[],"timestamps":[],"urls":[],"user_mentions":[]},"extended_entities":{"media":[{"display_url":"pic.x.com/cW1P2Pol3U","expanded_url":"https://x.com/da_vinci70/status/1760311538261319857/video/1","id_str":"1760311427187810304","indices":[226,249],"media_key":"7_1760311427187810304","media_url_https":"https://pbs.twimg.com/ext_tw_video_thumb/1760311427187810304/pu/img/xOtFWvQ2uAPv8Zy-.jpg","type":"video","url":"https://t.co/cW1P2Pol3U","additional_media_info":{"monetizable":false},"ext_media_availability":{"status":"Available"},"sizes":{"large":{"h":638,"w":648,"resize":"fit"},"medium":{"h":638,"w":648,"resize":"fit"},"small":{"h":638,"w":648,"resize":"fit"},"thumb":{"h":150,"w":150,"resize":"crop"}},"original_info":{"height":638,"width":648,"focus_rects":[]},"video_info":{"aspect_ratio":[324,319],"duration_millis":22534,"variants":[{"content_type":"application/x-mpegURL","url":"https://video.twimg.com/ext_tw_video/1760311427187810304/pu/pl/LryR4912ZAn5CCtK.m3u8?tag=12&v=cfc"},{"bitrate":256000,"content_type":"video/mp4","url":"https://video.twimg.com/ext_tw_video/1760311427187810304/pu/vid/avc1/274x270/5JPXMUFATwCLe99N.mp4?tag=12"},{"bitrate":832000,"content_type":"video/mp4","url":"https://video.twimg.com/ext_tw_video/1760311427187810304/pu/vid/avc1/364x360/wyAmBlxykfOMuBmw.mp4?tag=12"},{"bitrate":2176000,"content_type":"video/mp4","url":"https://video.twimg.com/ext_tw_video/1760311427187810304/pu/vid/avc1/648x638/J8XrJrHvWaGV2Qcy.mp4?tag=12"}]},"media_results":{"result":{"media_key":"7_1760311427187810304"}}},{"display_url":"pic.x.com/cW1P2Pol3U","expanded_url":"https://x.com/da_vinci70/status/1760311538261319857/video/1","id_str":"1760311427653373952","indices":[226,249],"media_key":"3_1760311427653373952","media_url_https":"https://pbs.twimg.com/media/GG3h6rtXEAA9i8w.jpg","type":"photo","url":"https://t.co/cW1P2Pol3U","ext_media_availability":{"status":"Available"},"features":{"large":{"faces":[{"x":759,"y":71,"h":121,"w":121}]},"medium":{"faces":[{"x":444,"y":41,"h":70,"w":70}]},"small":{"faces":[{"x":252,"y":23,"h":40,"w":40}]},"orig":{"faces":[{"x":765,"y":72,"h":122,"w":122}]}},"sizes":{"large":{"h":2048,"w":1072,"resize":"fit"},"medium":{"h":1200,"w":628,"resize":"fit"},"small":{"h":680,"w":356,"resize":"fit"},"thumb":{"h":150,"w":150,"resize":"crop"}},"original_info":{"height":2064,"width":1080,"focus_rects":[{"x":0,"y":368,"w":1080,"h":605},{"x":0,"y":130,"w":1080,"h":1080},{"x":0,"y":55,"w":1080,"h":1231},{"x":0,"y":0,"w":1032,"h":2064},{"x":0,"y":0,"w":1080,"h":2064}]},"media_results":{"result":{"media_key":"3_1760311427653373952"}}}]},"favorite_count":43,"favorited":false,"full_text":"قررت أجرب أسوي محاكاة لنمذجة رياضية لها بالاعتماد على ورقة نشرت مؤخرا عنها، هنا حركتها بدون وجود أكل طبعا، قريبا بسوي محاكاة لتجربة طوكيو وأضيف الأكل بأماكن المحطات بس بشكل مصغر عشان مايحرق كمبيوتري\n\nونضيف ذا للpet projects🙏🏻 https://t.co/cW1P2Pol3U","is_quote_status":true,"lang":"ar","possibly_sensitive":false,"possibly_sensitive_editable":true,"quote_count":0,"quoted_status_id_str":"1759263339966771325","quoted_status_permalink":{"url":"https://t.co/SZophkdM8B","expanded":"https://twitter.com/da_vinci70/status/1759263339966771325","display":"x.com/da_vinci70/sta…"},"reply_count":3,"retweet_count":4,"retweeted":false,"user_id_str":"1121416643538817024","id_str":"1760311538261319857","id":"1760311538261319857"},{"bookmark_count":29,"bookmarked":false,"created_at":"Fri May 28 10:08:07 +0000 2021","conversation_id_str":"1398219525703847936","display_text_range":[0,280],"entities":{"hashtags":[],"symbols":[],"timestamps":[],"urls":[{"display_url":"iuri.is","expanded_url":"https://iuri.is/","url":"https://t.co/2XJdMAgCa1","indices":[0,23]},{"display_url":"albinotonnina.com","expanded_url":"https://albinotonnina.com/","url":"https://t.co/Y6gdrpUgGQ","indices":[25,48]},{"display_url":"bruno-simon.com/#cybertruck","expanded_url":"https://bruno-simon.com/#cybertruck","url":"https://t.co/NcOy2NTMoV","indices":[50,73]},{"display_url":"rleonardi.com/interactive-re…","expanded_url":"http://www.rleonardi.com/interactive-resume/","url":"https://t.co/cRL4Rtgg9b","indices":[75,98]}],"user_mentions":[]},"favorite_count":41,"favorited":false,"full_text":"https://t.co/2XJdMAgCa1\n\nhttps://t.co/Y6gdrpUgGQ\n\nhttps://t.co/NcOy2NTMoV\n\nhttps://t.co/cRL4Rtgg9b\n\nاللي مسوين المواقع هذي مسوينها بس عشان يوروا العالم شغلهم على اساس انه portfolio، لكن مو اي portfolio حرفيا شيء مجنون.\n\nمع اني ماكنت مهتم بتصميم الويب وبرمجته بس صراحة اثاروا فضولي","is_quote_status":false,"lang":"ar","possibly_sensitive":false,"possibly_sensitive_editable":true,"quote_count":1,"reply_count":3,"retweet_count":2,"retweeted":false,"user_id_str":"1121416643538817024","id_str":"1398219525703847936","id":"1398219525703847936"},{"bookmark_count":7,"bookmarked":false,"created_at":"Sun Mar 26 20:01:47 +0000 2023","conversation_id_str":"1640063858004971520","display_text_range":[10,217],"entities":{"hashtags":[],"media":[{"display_url":"pic.x.com/9mRUzQlNtR","expanded_url":"https://x.com/da_vinci70/status/1640081635356860418/photo/1","id_str":"1640081630529290240","indices":[218,241],"media_key":"3_1640081630529290240","media_url_https":"https://pbs.twimg.com/media/FsK9ja5XgAAh0mX.jpg","type":"photo","url":"https://t.co/9mRUzQlNtR","ext_media_availability":{"status":"Available"},"features":{"large":{"faces":[]},"medium":{"faces":[]},"small":{"faces":[]},"orig":{"faces":[]}},"sizes":{"large":{"h":1520,"w":719,"resize":"fit"},"medium":{"h":1200,"w":568,"resize":"fit"},"small":{"h":680,"w":322,"resize":"fit"},"thumb":{"h":150,"w":150,"resize":"crop"}},"original_info":{"height":1520,"width":719,"focus_rects":[{"x":0,"y":977,"w":719,"h":403},{"x":0,"y":801,"w":719,"h":719},{"x":0,"y":700,"w":719,"h":820},{"x":0,"y":82,"w":719,"h":1438},{"x":0,"y":0,"w":719,"h":1520}]},"media_results":{"result":{"media_key":"3_1640081630529290240"}}},{"display_url":"pic.x.com/9mRUzQlNtR","expanded_url":"https://x.com/da_vinci70/status/1640081635356860418/photo/1","id_str":"1640081633612115970","indices":[218,241],"media_key":"3_1640081633612115970","media_url_https":"https://pbs.twimg.com/media/FsK9jmYXsAIfIZt.jpg","type":"photo","url":"https://t.co/9mRUzQlNtR","ext_media_availability":{"status":"Available"},"features":{"large":{"faces":[]},"medium":{"faces":[]},"small":{"faces":[]},"orig":{"faces":[]}},"sizes":{"large":{"h":382,"w":720,"resize":"fit"},"medium":{"h":382,"w":720,"resize":"fit"},"small":{"h":361,"w":680,"resize":"fit"},"thumb":{"h":150,"w":150,"resize":"crop"}},"original_info":{"height":382,"width":720,"focus_rects":[{"x":0,"y":0,"w":682,"h":382},{"x":0,"y":0,"w":382,"h":382},{"x":0,"y":0,"w":335,"h":382},{"x":30,"y":0,"w":191,"h":382},{"x":0,"y":0,"w":720,"h":382}]},"media_results":{"result":{"media_key":"3_1640081633612115970"}}}],"symbols":[],"timestamps":[],"urls":[],"user_mentions":[{"id_str":"328507596","name":"إبراهيم العليان","screen_name":"ialolyan","indices":[0,9]}]},"extended_entities":{"media":[{"display_url":"pic.x.com/9mRUzQlNtR","expanded_url":"https://x.com/da_vinci70/status/1640081635356860418/photo/1","id_str":"1640081630529290240","indices":[218,241],"media_key":"3_1640081630529290240","media_url_https":"https://pbs.twimg.com/media/FsK9ja5XgAAh0mX.jpg","type":"photo","url":"https://t.co/9mRUzQlNtR","ext_media_availability":{"status":"Available"},"features":{"large":{"faces":[]},"medium":{"faces":[]},"small":{"faces":[]},"orig":{"faces":[]}},"sizes":{"large":{"h":1520,"w":719,"resize":"fit"},"medium":{"h":1200,"w":568,"resize":"fit"},"small":{"h":680,"w":322,"resize":"fit"},"thumb":{"h":150,"w":150,"resize":"crop"}},"original_info":{"height":1520,"width":719,"focus_rects":[{"x":0,"y":977,"w":719,"h":403},{"x":0,"y":801,"w":719,"h":719},{"x":0,"y":700,"w":719,"h":820},{"x":0,"y":82,"w":719,"h":1438},{"x":0,"y":0,"w":719,"h":1520}]},"media_results":{"result":{"media_key":"3_1640081630529290240"}}},{"display_url":"pic.x.com/9mRUzQlNtR","expanded_url":"https://x.com/da_vinci70/status/1640081635356860418/photo/1","id_str":"1640081633612115970","indices":[218,241],"media_key":"3_1640081633612115970","media_url_https":"https://pbs.twimg.com/media/FsK9jmYXsAIfIZt.jpg","type":"photo","url":"https://t.co/9mRUzQlNtR","ext_media_availability":{"status":"Available"},"features":{"large":{"faces":[]},"medium":{"faces":[]},"small":{"faces":[]},"orig":{"faces":[]}},"sizes":{"large":{"h":382,"w":720,"resize":"fit"},"medium":{"h":382,"w":720,"resize":"fit"},"small":{"h":361,"w":680,"resize":"fit"},"thumb":{"h":150,"w":150,"resize":"crop"}},"original_info":{"height":382,"width":720,"focus_rects":[{"x":0,"y":0,"w":682,"h":382},{"x":0,"y":0,"w":382,"h":382},{"x":0,"y":0,"w":335,"h":382},{"x":30,"y":0,"w":191,"h":382},{"x":0,"y":0,"w":720,"h":382}]},"media_results":{"result":{"media_key":"3_1640081633612115970"}}}]},"favorite_count":44,"favorited":false,"full_text":"@ialolyan الصورة الاولى باستخدام ال prepositional logic و ال natural deduction.\n\nوالصورة الثانية باستخدام جدول الصواب والخطأ وتمثيل العبارات بالأحمر، يظهر لدينا أن قيمة الصواب لv(a) تساوي 1\n أو بمعنى آخر علي هو الصادق https://t.co/9mRUzQlNtR","in_reply_to_screen_name":"ialolyan","in_reply_to_status_id_str":"1640063858004971520","in_reply_to_user_id_str":"328507596","is_quote_status":false,"lang":"ar","possibly_sensitive":false,"possibly_sensitive_editable":true,"quote_count":1,"reply_count":4,"retweet_count":6,"retweeted":false,"user_id_str":"1121416643538817024","id_str":"1640081635356860418","id":"1640081635356860418"},{"bookmark_count":23,"bookmarked":false,"created_at":"Mon Jun 15 14:46:44 +0000 2020","conversation_id_str":"1272541050905792512","display_text_range":[0,274],"entities":{"hashtags":[],"symbols":[],"timestamps":[],"urls":[{"display_url":"x.com/da_vinci70/sta…","expanded_url":"https://x.com/da_vinci70/status/1249911375360675840?s=19","url":"https://t.co/Gjx5WA4hxt","indices":[158,181]},{"display_url":"x.com/da_vinci70/sta…","expanded_url":"https://x.com/da_vinci70/status/1265318977263280134?s=19","url":"https://t.co/l0KD8vIsKR","indices":[187,210]},{"display_url":"x.com/da_vinci70/sta…","expanded_url":"https://x.com/da_vinci70/status/1253138852832821249?s=19","url":"https://t.co/qiCKSmEEtZ","indices":[222,245]},{"display_url":"x.com/da_vinci70/sta…","expanded_url":"https://x.com/da_vinci70/status/1236958769067839488?s=19","url":"https://t.co/oSkT270bof","indices":[251,274]}],"user_mentions":[]},"favorite_count":43,"favorited":false,"full_text":"وردتني العديد من الأسئلة عن بداية شغفي بالرياضيات وكيف استطعت تعلمها والوصول لمستوى عالٍ فقط بالتعلم ذاتيا وبهذا العمر.\n تستطيع الإطلاع على بعض حلولي مثل هذا\nhttps://t.co/Gjx5WA4hxt\nوهذا\nhttps://t.co/l0KD8vIsKR\nوهذا أيضًا\nhttps://t.co/qiCKSmEEtZ\nوهذا\nhttps://t.co/oSkT270bof","in_reply_to_screen_name":"da_vinci70","in_reply_to_status_id_str":"1272541050905792512","in_reply_to_user_id_str":"1121416643538817024","is_quote_status":true,"lang":"ar","possibly_sensitive":false,"possibly_sensitive_editable":true,"quote_count":0,"quoted_status_id_str":"1236958769067839488","quoted_status_permalink":{"url":"https://t.co/oSkT270bof","expanded":"https://twitter.com/da_vinci70/status/1236958769067839488?s=19","display":"x.com/da_vinci70/sta…"},"reply_count":1,"retweet_count":4,"retweeted":false,"user_id_str":"1121416643538817024","id_str":"1272541055146172416","id":"1272541055146172416"},{"bookmark_count":43,"bookmarked":false,"created_at":"Tue Jun 29 21:52:12 +0000 2021","conversation_id_str":"1409993126735974410","display_text_range":[0,243],"entities":{"hashtags":[],"symbols":[],"timestamps":[],"urls":[{"display_url":"curiouscat.qa/da_vinci70/pos…","expanded_url":"https://curiouscat.qa/da_vinci70/post/1221351879","url":"https://t.co/bcPYCwHA8B","indices":[220,243]}],"user_mentions":[]},"favorite_count":37,"favorited":false,"full_text":"امممم ودي اتعلم البرمجة بس مو عارف من وين ابدا ، واقرا عن الفيزكس والاشياء العلمية والطبية — اذا بالعربي عندك موقع هرماش، thenewbaghdad وعبدالله عيد، لبايثون عندك مجتمع بايثون العربي وعندك codezilla \nبالانقلش موقع w3s… https://t.co/bcPYCwHA8B","is_quote_status":false,"lang":"ar","possibly_sensitive":false,"possibly_sensitive_editable":true,"quote_count":0,"reply_count":0,"retweet_count":2,"retweeted":false,"user_id_str":"1121416643538817024","id_str":"1409993126735974410","id":"1409993126735974410"},{"bookmark_count":1,"bookmarked":false,"created_at":"Thu Jun 24 12:46:38 +0000 2021","conversation_id_str":"1408043890846978053","display_text_range":[0,47],"entities":{"hashtags":[{"indices":[41,47],"text":"cpp21"}],"symbols":[],"timestamps":[],"urls":[],"user_mentions":[]},"favorite_count":38,"favorited":false,"full_text":"واخييرراا انتهت السنة بعد عناء كبير 🥳🥳🥳🥳\n#cpp21","is_quote_status":false,"lang":"ar","quote_count":0,"reply_count":13,"retweet_count":0,"retweeted":false,"user_id_str":"1121416643538817024","id_str":"1408043890846978053","id":"1408043890846978053"},{"bookmark_count":10,"bookmarked":false,"created_at":"Mon Jun 15 14:47:04 +0000 2020","conversation_id_str":"1272541050905792512","display_text_range":[0,275],"entities":{"hashtags":[],"symbols":[],"timestamps":[],"urls":[],"user_mentions":[]},"favorite_count":34,"favorited":false,"full_text":"ونبدأ بذكر النقاط سريعا وتبيان الطريق.\n\n 1) سواء كان هدفك التعلم كهواية أو لاجتياز اختبار ما، فابدأ بدراسة مناهج الثانوية بفهم لكل نقطة يتم ذكرها وبمعرفة الإثبات، فمن يعاني صعوبة بفرع من فروع الرياضيات أو بها عموما فيحتاج التأكد من أساسياته جميعا ومن هنا ذكرت مناهج الثانوية.","in_reply_to_screen_name":"da_vinci70","in_reply_to_status_id_str":"1272541132384350215","in_reply_to_user_id_str":"1121416643538817024","is_quote_status":false,"lang":"ar","quote_count":0,"reply_count":1,"retweet_count":4,"retweeted":false,"user_id_str":"1121416643538817024","id_str":"1272541136754802690","id":"1272541136754802690"},{"bookmark_count":4,"bookmarked":false,"created_at":"Sun Jun 28 23:37:01 +0000 2020","conversation_id_str":"1277385548043358211","display_text_range":[0,0],"entities":{"hashtags":[],"media":[{"display_url":"pic.x.com/UXa1XvA29c","expanded_url":"https://x.com/da_vinci70/status/1277385548043358211/photo/1","id_str":"1277385545182777352","indices":[0,23],"media_key":"3_1277385545182777352","media_url_https":"https://pbs.twimg.com/media/EbovYq3WkAg_RxC.jpg","type":"photo","url":"https://t.co/UXa1XvA29c","ext_media_availability":{"status":"Available"},"features":{"large":{"faces":[]},"medium":{"faces":[]},"small":{"faces":[]},"orig":{"faces":[]}},"sizes":{"large":{"h":960,"w":929,"resize":"fit"},"medium":{"h":960,"w":929,"resize":"fit"},"small":{"h":680,"w":658,"resize":"fit"},"thumb":{"h":150,"w":150,"resize":"crop"}},"original_info":{"height":960,"width":929,"focus_rects":[{"x":0,"y":0,"w":929,"h":520},{"x":0,"y":0,"w":929,"h":929},{"x":43,"y":0,"w":842,"h":960},{"x":224,"y":0,"w":480,"h":960},{"x":0,"y":0,"w":929,"h":960}]},"media_results":{"result":{"media_key":"3_1277385545182777352"}}}],"symbols":[],"timestamps":[],"urls":[],"user_mentions":[]},"extended_entities":{"media":[{"display_url":"pic.x.com/UXa1XvA29c","expanded_url":"https://x.com/da_vinci70/status/1277385548043358211/photo/1","id_str":"1277385545182777352","indices":[0,23],"media_key":"3_1277385545182777352","media_url_https":"https://pbs.twimg.com/media/EbovYq3WkAg_RxC.jpg","type":"photo","url":"https://t.co/UXa1XvA29c","ext_media_availability":{"status":"Available"},"features":{"large":{"faces":[]},"medium":{"faces":[]},"small":{"faces":[]},"orig":{"faces":[]}},"sizes":{"large":{"h":960,"w":929,"resize":"fit"},"medium":{"h":960,"w":929,"resize":"fit"},"small":{"h":680,"w":658,"resize":"fit"},"thumb":{"h":150,"w":150,"resize":"crop"}},"original_info":{"height":960,"width":929,"focus_rects":[{"x":0,"y":0,"w":929,"h":520},{"x":0,"y":0,"w":929,"h":929},{"x":43,"y":0,"w":842,"h":960},{"x":224,"y":0,"w":480,"h":960},{"x":0,"y":0,"w":929,"h":960}]},"media_results":{"result":{"media_key":"3_1277385545182777352"}}}]},"favorite_count":36,"favorited":false,"full_text":"https://t.co/UXa1XvA29c","is_quote_status":false,"lang":"zxx","possibly_sensitive":false,"possibly_sensitive_editable":true,"quote_count":0,"reply_count":4,"retweet_count":6,"retweeted":false,"user_id_str":"1121416643538817024","id_str":"1277385548043358211","id":"1277385548043358211"},{"bookmark_count":3,"bookmarked":false,"created_at":"Tue Feb 14 18:52:48 +0000 2023","conversation_id_str":"1625554442387849218","display_text_range":[9,289],"entities":{"hashtags":[],"symbols":[],"timestamps":[],"urls":[],"user_mentions":[{"id_str":"315064167","name":"وافي بن عبدالله","screen_name":"Dr_Wafy","indices":[0,8]}]},"favorite_count":34,"favorited":false,"full_text":"@Dr_Wafy المجالات التي يحتاجها سوق العمل اليوم ستفقد بريقها بالمستقبل وستتكدس، وعند اصطفاف الكل طوابير أمام تخصص معين مرغمين عنه أو شغفا فيه سيرتطموا معظمهم بحائط البطالة وأعتقد أنه سيناريو قد تكرر من قبل.\n\nلكن عند التشجيع على الدخول بالمجالات البحثية والفكرية وغيرها فستفتح أفاق عدة للكل.","in_reply_to_screen_name":"Dr_Wafy","in_reply_to_status_id_str":"1625554442387849218","in_reply_to_user_id_str":"315064167","is_quote_status":false,"lang":"ar","quote_count":0,"reply_count":1,"retweet_count":1,"retweeted":false,"user_id_str":"1121416643538817024","id_str":"1625568761032937493","id":"1625568761032937493"},{"bookmark_count":23,"bookmarked":false,"created_at":"Sat Jun 20 19:53:45 +0000 2020","conversation_id_str":"1274430256431194113","display_text_range":[0,226],"entities":{"hashtags":[],"media":[{"display_url":"pic.x.com/K9tOKTG1xN","expanded_url":"https://x.com/da_vinci70/status/1274430256431194113/photo/1","id_str":"1274430252861788165","indices":[227,250],"media_key":"3_1274430252861788165","media_url_https":"https://pbs.twimg.com/media/Ea-vkBDWkAUuZp8.jpg","type":"photo","url":"https://t.co/K9tOKTG1xN","ext_media_availability":{"status":"Available"},"features":{"large":{"faces":[{"x":464,"y":8,"h":148,"w":148},{"x":344,"y":776,"h":236,"w":236}]},"medium":{"faces":[{"x":271,"y":4,"h":86,"w":86},{"x":201,"y":454,"h":138,"w":138}]},"small":{"faces":[{"x":153,"y":2,"h":49,"w":49},{"x":114,"y":257,"h":78,"w":78}]},"orig":{"faces":[{"x":464,"y":8,"h":148,"w":148},{"x":344,"y":776,"h":236,"w":236}]}},"sizes":{"large":{"h":2048,"w":1411,"resize":"fit"},"medium":{"h":1200,"w":827,"resize":"fit"},"small":{"h":680,"w":468,"resize":"fit"},"thumb":{"h":150,"w":150,"resize":"crop"}},"original_info":{"height":2048,"width":1411,"focus_rects":[{"x":0,"y":1258,"w":1411,"h":790},{"x":0,"y":637,"w":1411,"h":1411},{"x":0,"y":439,"w":1411,"h":1609},{"x":256,"y":0,"w":1024,"h":2048},{"x":0,"y":0,"w":1411,"h":2048}]},"media_results":{"result":{"media_key":"3_1274430252861788165"}}}],"symbols":[],"timestamps":[],"urls":[],"user_mentions":[]},"extended_entities":{"media":[{"display_url":"pic.x.com/K9tOKTG1xN","expanded_url":"https://x.com/da_vinci70/status/1274430256431194113/photo/1","id_str":"1274430252861788165","indices":[227,250],"media_key":"3_1274430252861788165","media_url_https":"https://pbs.twimg.com/media/Ea-vkBDWkAUuZp8.jpg","type":"photo","url":"https://t.co/K9tOKTG1xN","ext_media_availability":{"status":"Available"},"features":{"large":{"faces":[{"x":464,"y":8,"h":148,"w":148},{"x":344,"y":776,"h":236,"w":236}]},"medium":{"faces":[{"x":271,"y":4,"h":86,"w":86},{"x":201,"y":454,"h":138,"w":138}]},"small":{"faces":[{"x":153,"y":2,"h":49,"w":49},{"x":114,"y":257,"h":78,"w":78}]},"orig":{"faces":[{"x":464,"y":8,"h":148,"w":148},{"x":344,"y":776,"h":236,"w":236}]}},"sizes":{"large":{"h":2048,"w":1411,"resize":"fit"},"medium":{"h":1200,"w":827,"resize":"fit"},"small":{"h":680,"w":468,"resize":"fit"},"thumb":{"h":150,"w":150,"resize":"crop"}},"original_info":{"height":2048,"width":1411,"focus_rects":[{"x":0,"y":1258,"w":1411,"h":790},{"x":0,"y":637,"w":1411,"h":1411},{"x":0,"y":439,"w":1411,"h":1609},{"x":256,"y":0,"w":1024,"h":2048},{"x":0,"y":0,"w":1411,"h":2048}]},"media_results":{"result":{"media_key":"3_1274430252861788165"}}}]},"favorite_count":30,"favorited":false,"full_text":"كتاب ساعدني احدد التخصص اللي ابيه من لستة لا منتهية من التخصصات لتخصصات دقيقة جداا، مارح تملوا منه حتى لو ماتحبوا القراءة لانه مسويها ع شكل رواية ويعتبر ستايل جديد ع الكتب العربية فراح تخلصوه وتستفيدوا منه ان شاءالله بوقت قصير https://t.co/K9tOKTG1xN","is_quote_status":false,"lang":"ar","possibly_sensitive":false,"possibly_sensitive_editable":true,"quote_count":0,"reply_count":2,"retweet_count":5,"retweeted":false,"user_id_str":"1121416643538817024","id_str":"1274430256431194113","id":"1274430256431194113"},{"bookmark_count":7,"bookmarked":false,"created_at":"Sun Feb 26 13:18:56 +0000 2023","conversation_id_str":"1629833394602360832","display_text_range":[0,80],"entities":{"hashtags":[],"symbols":[],"timestamps":[],"urls":[],"user_mentions":[]},"favorite_count":32,"favorited":false,"full_text":"ايجاد مساحة المنطقة المحددة من القطع المكافئ باستخدام الهندسة دون اللجوء للتكامل","is_quote_status":true,"lang":"ar","quote_count":0,"quoted_status_id_str":"1629790127634432002","quoted_status_permalink":{"url":"https://t.co/piXvYV382v","expanded":"https://twitter.com/da_vinci70/status/1629790127634432002","display":"x.com/da_vinci70/sta…"},"reply_count":0,"retweet_count":0,"retweeted":false,"user_id_str":"1121416643538817024","id_str":"1629833394602360832","id":"1629833394602360832"},{"bookmark_count":4,"bookmarked":false,"created_at":"Mon Jun 15 14:47:31 +0000 2020","conversation_id_str":"1272541050905792512","display_text_range":[0,255],"entities":{"hashtags":[],"symbols":[],"timestamps":[],"urls":[],"user_mentions":[]},"favorite_count":31,"favorited":false,"full_text":"الهندسة:-\n تتطلب فهما عميقا للسؤال قبل الحل وتحليلا لكافة معطياته ومحاولة تجربة أي فكرة تخطر على البال حتى وإن كانت خاطئة ومن ثم إثباتها، قد تستخدم الجبر ( كالهندسة التحليلية/الاحداثية)، والمتطابقات المثلثية وتبسيطها أيضا فيجب عليك مراجعتها والتمرن عليها.","in_reply_to_screen_name":"da_vinci70","in_reply_to_status_id_str":"1272541247081795585","in_reply_to_user_id_str":"1121416643538817024","is_quote_status":false,"lang":"ar","quote_count":0,"reply_count":1,"retweet_count":3,"retweeted":false,"user_id_str":"1121416643538817024","id_str":"1272541251901034497","id":"1272541251901034497"},{"bookmark_count":4,"bookmarked":false,"created_at":"Wed Dec 08 12:49:59 +0000 2021","conversation_id_str":"1468563508992294916","display_text_range":[0,15],"entities":{"hashtags":[{"indices":[0,15],"text":"سباق_الرياضيات"}],"media":[{"display_url":"pic.x.com/3CsoEOaSrc","expanded_url":"https://x.com/da_vinci70/status/1468563508992294916/photo/1","id_str":"1468563507541168132","indices":[16,39],"media_key":"3_1468563507541168132","media_url_https":"https://pbs.twimg.com/media/FGFiurUX0AQXeQN.jpg","type":"photo","url":"https://t.co/3CsoEOaSrc","ext_media_availability":{"status":"Available"},"features":{"large":{"faces":[]},"medium":{"faces":[]},"small":{"faces":[]},"orig":{"faces":[]}},"sizes":{"large":{"h":816,"w":720,"resize":"fit"},"medium":{"h":816,"w":720,"resize":"fit"},"small":{"h":680,"w":600,"resize":"fit"},"thumb":{"h":150,"w":150,"resize":"crop"}},"original_info":{"height":816,"width":720,"focus_rects":[{"x":0,"y":0,"w":720,"h":403},{"x":0,"y":0,"w":720,"h":720},{"x":0,"y":0,"w":716,"h":816},{"x":102,"y":0,"w":408,"h":816},{"x":0,"y":0,"w":720,"h":816}]},"media_results":{"result":{"media_key":"3_1468563507541168132"}}}],"symbols":[],"timestamps":[],"urls":[],"user_mentions":[]},"extended_entities":{"media":[{"display_url":"pic.x.com/3CsoEOaSrc","expanded_url":"https://x.com/da_vinci70/status/1468563508992294916/photo/1","id_str":"1468563507541168132","indices":[16,39],"media_key":"3_1468563507541168132","media_url_https":"https://pbs.twimg.com/media/FGFiurUX0AQXeQN.jpg","type":"photo","url":"https://t.co/3CsoEOaSrc","ext_media_availability":{"status":"Available"},"features":{"large":{"faces":[]},"medium":{"faces":[]},"small":{"faces":[]},"orig":{"faces":[]}},"sizes":{"large":{"h":816,"w":720,"resize":"fit"},"medium":{"h":816,"w":720,"resize":"fit"},"small":{"h":680,"w":600,"resize":"fit"},"thumb":{"h":150,"w":150,"resize":"crop"}},"original_info":{"height":816,"width":720,"focus_rects":[{"x":0,"y":0,"w":720,"h":403},{"x":0,"y":0,"w":720,"h":720},{"x":0,"y":0,"w":716,"h":816},{"x":102,"y":0,"w":408,"h":816},{"x":0,"y":0,"w":720,"h":816}]},"media_results":{"result":{"media_key":"3_1468563507541168132"}}}]},"favorite_count":33,"favorited":false,"full_text":"#سباق_الرياضيات https://t.co/3CsoEOaSrc","is_quote_status":false,"lang":"qme","possibly_sensitive":false,"possibly_sensitive_editable":true,"quote_count":1,"reply_count":6,"retweet_count":5,"retweeted":false,"user_id_str":"1121416643538817024","id_str":"1468563508992294916","id":"1468563508992294916"},{"bookmark_count":13,"bookmarked":false,"created_at":"Mon Jun 15 15:05:06 +0000 2020","conversation_id_str":"1272541050905792512","display_text_range":[0,270],"entities":{"hashtags":[],"symbols":[],"timestamps":[],"urls":[{"display_url":"x.com/salman1059/sta…","expanded_url":"https://x.com/salman1059/status/765407548635750400?s=19","url":"https://t.co/nNZUsxIg2n","indices":[247,270]}],"user_mentions":[]},"favorite_count":32,"favorited":false,"full_text":"مصادر استفدت منها بشكل عام جديرة بالذكر:\nقناة Scientific flashlight وقناة Math Pi Hanan على اليوتيوب\nسلسلة for dummies لتبسيط العلوم جميلة أيضا\nوقناة organic chemistry tutor \nوأخيرا سأرفق هذا الثريد للأستاذ العبقري سلمان البدراني الغني عن التعريف\nhttps://t.co/nNZUsxIg2n","in_reply_to_screen_name":"da_vinci70","in_reply_to_status_id_str":"1272545673334980608","in_reply_to_user_id_str":"1121416643538817024","is_quote_status":true,"lang":"ar","possibly_sensitive":false,"possibly_sensitive_editable":true,"quote_count":0,"quoted_status_id_str":"765407548635750400","quoted_status_permalink":{"url":"https://t.co/nNZUsxIg2n","expanded":"https://twitter.com/salman1059/status/765407548635750400?s=19","display":"x.com/salman1059/sta…"},"reply_count":1,"retweet_count":9,"retweeted":false,"user_id_str":"1121416643538817024","id_str":"1272545676359065601","id":"1272545676359065601"},{"bookmark_count":3,"bookmarked":false,"created_at":"Mon Jun 15 14:46:56 +0000 2020","conversation_id_str":"1272541050905792512","display_text_range":[0,253],"entities":{"hashtags":[],"symbols":[],"timestamps":[],"urls":[],"user_mentions":[{"id_str":"898304551111073793","name":"AbdullahSalim","screen_name":"math_phys1","indices":[161,172]}]},"favorite_count":31,"favorited":false,"full_text":"ومتيقنٌ تمامًا أنّ من وضع الرياضيات نصب عينيه سيستطيع تعلمها حتى وإن لم يكن متخصصا بها أو طالبا بالتعليم العام مثلا، ومن هذا نستطيع ذكر الصيدلي البارع د.عبدالله @math_phys1 مثالا على ذلك، فعبقريته بالرياضيات بالرغم من اختلافها تماما عن تخصصه - الصيدلة -","in_reply_to_screen_name":"da_vinci70","in_reply_to_status_id_str":"1272541094790692864","in_reply_to_user_id_str":"1121416643538817024","is_quote_status":false,"lang":"ar","quote_count":1,"reply_count":1,"retweet_count":4,"retweeted":false,"user_id_str":"1121416643538817024","id_str":"1272541104886472704","id":"1272541104886472704"},{"bookmark_count":1,"bookmarked":false,"created_at":"Mon Jun 15 14:46:59 +0000 2020","conversation_id_str":"1272541050905792512","display_text_range":[0,279],"entities":{"hashtags":[],"symbols":[],"timestamps":[],"urls":[],"user_mentions":[]},"favorite_count":29,"favorited":false,"full_text":"ومن ثم للمرحلة المتوسطة وبداية معرفتي بما يسمى \"مهارات التفكير العليا\" فكان معلمي يقوم باغرائي بتلك الكلمات \n\"... أتحداك تحل هالسؤال محد قدر يحله من الصفوف كلها متفقين انه مستحيل\" وهنا تبدأ فيّ تلك الشعلة وتستيقظ كوني لا أحب الهزيمة أبدا وكسر كلمة \"مستحيل\" على رأس قائمة أهدافي😂.","in_reply_to_screen_name":"da_vinci70","in_reply_to_status_id_str":"1272541112847261699","in_reply_to_user_id_str":"1121416643538817024","is_quote_status":false,"lang":"ar","quote_count":0,"reply_count":1,"retweet_count":5,"retweeted":false,"user_id_str":"1121416643538817024","id_str":"1272541117406380032","id":"1272541117406380032"},{"bookmark_count":3,"bookmarked":false,"created_at":"Mon Jun 15 14:46:51 +0000 2020","conversation_id_str":"1272541050905792512","display_text_range":[0,262],"entities":{"hashtags":[],"symbols":[],"timestamps":[],"urls":[],"user_mentions":[]},"favorite_count":32,"favorited":false,"full_text":"وصدقني هذا القليل مما تستطيع فعله إن ثابرت على التعلم وبدأت من هذه اللحظة وستتعدى هذا المستوى بمراحل وسنين ضوئية، وقبل كل هذا أنا لست متخصص رياضيات ولست بطالب موهبة أو حتى طالب أولمبياد ولم أحظى بدورات أو تدريب مكثف من جهة معينة ولم أدرس بمدرسة عالمية بل حكومية.","in_reply_to_screen_name":"da_vinci70","in_reply_to_status_id_str":"1272541073714417665","in_reply_to_user_id_str":"1121416643538817024","is_quote_status":false,"lang":"ar","quote_count":0,"reply_count":1,"retweet_count":3,"retweeted":false,"user_id_str":"1121416643538817024","id_str":"1272541084661551108","id":"1272541084661551108"},{"bookmark_count":4,"bookmarked":false,"created_at":"Mon Mar 16 18:01:54 +0000 2020","conversation_id_str":"1239612872256339968","display_text_range":[0,279],"entities":{"hashtags":[{"indices":[255,270],"text":"سباق_الرياضيات"},{"indices":[272,279],"text":"puzzle"}],"media":[{"display_url":"pic.x.com/aMWF83jVLJ","expanded_url":"https://x.com/da_vinci70/status/1239612872256339968/photo/1","id_str":"1239612855307186178","indices":[280,303],"media_key":"3_1239612855307186178","media_url_https":"https://pbs.twimg.com/media/ETP9UvuXsAI5jiu.jpg","type":"photo","url":"https://t.co/aMWF83jVLJ","ext_media_availability":{"status":"Available"},"features":{"all":{"tags":[{"user_id":"367068879","name":"الكون الواسع","screen_name":"salman1059","type":"user"},{"user_id":"861760854","name":"حلم ورى حلم","screen_name":"Dreambehindream","type":"user"},{"user_id":"185812800","name":"Ignacio Larrosa Cañestro","screen_name":"ilarrosac","type":"user"},{"user_id":"2887840034","name":"علي الدخيل ( math )","screen_name":"carmath2014","type":"user"},{"user_id":"1609079214","name":"ابوسلطان","screen_name":"mhmdsltn","type":"user"},{"user_id":"500283534","name":"محمد صالح العمري","screen_name":"mwns999","type":"user"},{"user_id":"1180711220","name":"fatih sağlam","screen_name":"delireis_1453","type":"user"},{"user_id":"1207065289260720130","name":"uila","screen_name":"muilavalium","type":"user"},{"user_id":"615099008","name":"سلطان سعود البركاتي","screen_name":"Dr_S_Albarakati","type":"user"},{"user_id":"947725321817780224","name":"Per Henrik Christiansen","screen_name":"PerHenrikChris1","type":"user"}]},"large":{"faces":[]},"medium":{"faces":[]},"small":{"faces":[]},"orig":{"faces":[]}},"sizes":{"large":{"h":824,"w":715,"resize":"fit"},"medium":{"h":824,"w":715,"resize":"fit"},"small":{"h":680,"w":590,"resize":"fit"},"thumb":{"h":150,"w":150,"resize":"crop"}},"original_info":{"height":824,"width":715,"focus_rects":[{"x":0,"y":424,"w":715,"h":400},{"x":0,"y":109,"w":715,"h":715},{"x":0,"y":9,"w":715,"h":815},{"x":0,"y":0,"w":412,"h":824},{"x":0,"y":0,"w":715,"h":824}]},"media_results":{"result":{"media_key":"3_1239612855307186178"}}}],"symbols":[],"timestamps":[],"urls":[],"user_mentions":[]},"extended_entities":{"media":[{"display_url":"pic.x.com/aMWF83jVLJ","expanded_url":"https://x.com/da_vinci70/status/1239612872256339968/photo/1","id_str":"1239612855307186178","indices":[280,303],"media_key":"3_1239612855307186178","media_url_https":"https://pbs.twimg.com/media/ETP9UvuXsAI5jiu.jpg","type":"photo","url":"https://t.co/aMWF83jVLJ","ext_media_availability":{"status":"Available"},"features":{"all":{"tags":[{"user_id":"367068879","name":"الكون الواسع","screen_name":"salman1059","type":"user"},{"user_id":"861760854","name":"حلم ورى حلم","screen_name":"Dreambehindream","type":"user"},{"user_id":"185812800","name":"Ignacio Larrosa Cañestro","screen_name":"ilarrosac","type":"user"},{"user_id":"2887840034","name":"علي الدخيل ( math )","screen_name":"carmath2014","type":"user"},{"user_id":"1609079214","name":"ابوسلطان","screen_name":"mhmdsltn","type":"user"},{"user_id":"500283534","name":"محمد صالح العمري","screen_name":"mwns999","type":"user"},{"user_id":"1180711220","name":"fatih sağlam","screen_name":"delireis_1453","type":"user"},{"user_id":"1207065289260720130","name":"uila","screen_name":"muilavalium","type":"user"},{"user_id":"615099008","name":"سلطان سعود البركاتي","screen_name":"Dr_S_Albarakati","type":"user"},{"user_id":"947725321817780224","name":"Per Henrik Christiansen","screen_name":"PerHenrikChris1","type":"user"}]},"large":{"faces":[]},"medium":{"faces":[]},"small":{"faces":[]},"orig":{"faces":[]}},"sizes":{"large":{"h":824,"w":715,"resize":"fit"},"medium":{"h":824,"w":715,"resize":"fit"},"small":{"h":680,"w":590,"resize":"fit"},"thumb":{"h":150,"w":150,"resize":"crop"}},"original_info":{"height":824,"width":715,"focus_rects":[{"x":0,"y":424,"w":715,"h":400},{"x":0,"y":109,"w":715,"h":715},{"x":0,"y":9,"w":715,"h":815},{"x":0,"y":0,"w":412,"h":824},{"x":0,"y":0,"w":715,"h":824}]},"media_results":{"result":{"media_key":"3_1239612855307186178"}}}]},"favorite_count":31,"favorited":false,"full_text":"أمامك مربع ABCD داخل دائرة كما هو موضح في الشكل، اوجد مساحة المنطقة المظللة؟\n- القيم الموضحة في الشكل مقربة لأقرب جزء من عشرة -\n\nA square ABCD inscribed in a circle as shown in the figure below, find the hatched area?\n- values in the figure are rounded -\n#سباق_الرياضيات \n#puzzle https://t.co/aMWF83jVLJ","is_quote_status":false,"lang":"und","possibly_sensitive":false,"possibly_sensitive_editable":true,"quote_count":1,"reply_count":4,"retweet_count":9,"retweeted":false,"user_id_str":"1121416643538817024","id_str":"1239612872256339968","id":"1239612872256339968"},{"bookmark_count":3,"bookmarked":false,"created_at":"Mon Jun 15 14:47:46 +0000 2020","conversation_id_str":"1272541050905792512","display_text_range":[0,275],"entities":{"hashtags":[],"media":[{"display_url":"pic.x.com/3ujuTDTyjf","expanded_url":"https://x.com/da_vinci70/status/1272541313041391618/photo/1","id_str":"1272541260344184838","indices":[276,299],"media_key":"3_1272541260344184838","media_url_https":"https://pbs.twimg.com/media/Eaj5iLjX0AYC-2c.jpg","type":"photo","url":"https://t.co/3ujuTDTyjf","ext_media_availability":{"status":"Available"},"features":{"large":{"faces":[]},"medium":{"faces":[]},"small":{"faces":[]},"orig":{"faces":[]}},"sizes":{"large":{"h":1024,"w":498,"resize":"fit"},"medium":{"h":1024,"w":498,"resize":"fit"},"small":{"h":680,"w":331,"resize":"fit"},"thumb":{"h":150,"w":150,"resize":"crop"}},"original_info":{"height":1024,"width":498,"focus_rects":[{"x":0,"y":448,"w":498,"h":279},{"x":0,"y":338,"w":498,"h":498},{"x":0,"y":303,"w":498,"h":568},{"x":0,"y":28,"w":498,"h":996},{"x":0,"y":0,"w":498,"h":1024}]},"media_results":{"result":{"media_key":"3_1272541260344184838"}}},{"display_url":"pic.x.com/3ujuTDTyjf","expanded_url":"https://x.com/da_vinci70/status/1272541313041391618/photo/1","id_str":"1272541309237067783","indices":[276,299],"media_key":"3_1272541309237067783","media_url_https":"https://pbs.twimg.com/media/Eaj5lBsWAAcp-Tc.jpg","type":"photo","url":"https://t.co/3ujuTDTyjf","ext_media_availability":{"status":"Available"},"features":{"large":{"faces":[]},"medium":{"faces":[]},"small":{"faces":[]},"orig":{"faces":[]}},"sizes":{"large":{"h":491,"w":720,"resize":"fit"},"medium":{"h":491,"w":720,"resize":"fit"},"small":{"h":464,"w":680,"resize":"fit"},"thumb":{"h":150,"w":150,"resize":"crop"}},"original_info":{"height":491,"width":720,"focus_rects":[{"x":0,"y":0,"w":720,"h":403},{"x":61,"y":0,"w":491,"h":491},{"x":91,"y":0,"w":431,"h":491},{"x":183,"y":0,"w":246,"h":491},{"x":0,"y":0,"w":720,"h":491}]},"media_results":{"result":{"media_key":"3_1272541309237067783"}}}],"symbols":[],"timestamps":[],"urls":[],"user_mentions":[]},"extended_entities":{"media":[{"display_url":"pic.x.com/3ujuTDTyjf","expanded_url":"https://x.com/da_vinci70/status/1272541313041391618/photo/1","id_str":"1272541260344184838","indices":[276,299],"media_key":"3_1272541260344184838","media_url_https":"https://pbs.twimg.com/media/Eaj5iLjX0AYC-2c.jpg","type":"photo","url":"https://t.co/3ujuTDTyjf","ext_media_availability":{"status":"Available"},"features":{"large":{"faces":[]},"medium":{"faces":[]},"small":{"faces":[]},"orig":{"faces":[]}},"sizes":{"large":{"h":1024,"w":498,"resize":"fit"},"medium":{"h":1024,"w":498,"resize":"fit"},"small":{"h":680,"w":331,"resize":"fit"},"thumb":{"h":150,"w":150,"resize":"crop"}},"original_info":{"height":1024,"width":498,"focus_rects":[{"x":0,"y":448,"w":498,"h":279},{"x":0,"y":338,"w":498,"h":498},{"x":0,"y":303,"w":498,"h":568},{"x":0,"y":28,"w":498,"h":996},{"x":0,"y":0,"w":498,"h":1024}]},"media_results":{"result":{"media_key":"3_1272541260344184838"}}},{"display_url":"pic.x.com/3ujuTDTyjf","expanded_url":"https://x.com/da_vinci70/status/1272541313041391618/photo/1","id_str":"1272541309237067783","indices":[276,299],"media_key":"3_1272541309237067783","media_url_https":"https://pbs.twimg.com/media/Eaj5lBsWAAcp-Tc.jpg","type":"photo","url":"https://t.co/3ujuTDTyjf","ext_media_availability":{"status":"Available"},"features":{"large":{"faces":[]},"medium":{"faces":[]},"small":{"faces":[]},"orig":{"faces":[]}},"sizes":{"large":{"h":491,"w":720,"resize":"fit"},"medium":{"h":491,"w":720,"resize":"fit"},"small":{"h":464,"w":680,"resize":"fit"},"thumb":{"h":150,"w":150,"resize":"crop"}},"original_info":{"height":491,"width":720,"focus_rects":[{"x":0,"y":0,"w":720,"h":403},{"x":61,"y":0,"w":491,"h":491},{"x":91,"y":0,"w":431,"h":491},{"x":183,"y":0,"w":246,"h":491},{"x":0,"y":0,"w":720,"h":491}]},"media_results":{"result":{"media_key":"3_1272541309237067783"}}}]},"favorite_count":29,"favorited":false,"full_text":"أكمل الزوايا الناقصة، ضع المعطيات على الرسم أو قم بالرسم بالشكل الصحيح وتمييز بعض الخطوط عن الأخرى.\n ضع هذه الخيارات حاضرة بالذهن عند حل أي مسألة:\n - أضف للشكل أشكالا أخرى قد تسهل عليك الحل أحيانا.\n - قم بتكملة الشكل (مثلا وجود ربع دائرة بالسؤال أكملها لتصبح دائرة كاملة)\nمثل https://t.co/3ujuTDTyjf","in_reply_to_screen_name":"da_vinci70","in_reply_to_status_id_str":"1272541251901034497","in_reply_to_user_id_str":"1121416643538817024","is_quote_status":false,"lang":"ar","possibly_sensitive":false,"possibly_sensitive_editable":true,"quote_count":0,"reply_count":1,"retweet_count":3,"retweeted":false,"user_id_str":"1121416643538817024","id_str":"1272541313041391618","id":"1272541313041391618"},{"bookmark_count":13,"bookmarked":false,"created_at":"Mon Apr 18 00:03:13 +0000 2022","conversation_id_str":"1515842987187650560","display_text_range":[0,100],"entities":{"hashtags":[],"media":[{"display_url":"pic.x.com/CIwjGHW180","expanded_url":"https://x.com/da_vinci70/status/1515843356198424581/video/1","id_str":"1515843319905107972","indices":[101,124],"media_key":"7_1515843319905107972","media_url_https":"https://pbs.twimg.com/ext_tw_video_thumb/1515843319905107972/pu/img/hP2Q2rYpOK_TXRgG.jpg","type":"video","url":"https://t.co/CIwjGHW180","additional_media_info":{"monetizable":false},"ext_media_availability":{"status":"Available"},"sizes":{"large":{"h":606,"w":1280,"resize":"fit"},"medium":{"h":568,"w":1200,"resize":"fit"},"small":{"h":322,"w":680,"resize":"fit"},"thumb":{"h":150,"w":150,"resize":"crop"}},"original_info":{"height":606,"width":1280,"focus_rects":[]},"video_info":{"aspect_ratio":[640,303],"duration_millis":5830,"variants":[{"content_type":"application/x-mpegURL","url":"https://video.twimg.com/ext_tw_video/1515843319905107972/pu/pl/AvNNLESqhHIpQDgQ.m3u8?tag=12"},{"bitrate":256000,"content_type":"video/mp4","url":"https://video.twimg.com/ext_tw_video/1515843319905107972/pu/vid/570x270/iaujusgtJEZxw-p-.mp4?tag=12"},{"bitrate":832000,"content_type":"video/mp4","url":"https://video.twimg.com/ext_tw_video/1515843319905107972/pu/vid/760x360/P3hqNckcX41d7G2O.mp4?tag=12"},{"bitrate":2176000,"content_type":"video/mp4","url":"https://video.twimg.com/ext_tw_video/1515843319905107972/pu/vid/1280x606/-WmutA8UWUT5RAEo.mp4?tag=12"}]},"media_results":{"result":{"media_key":"7_1515843319905107972"}}}],"symbols":[],"timestamps":[],"urls":[{"display_url":"youtu.be/BFld4EBO2RE","expanded_url":"https://youtu.be/BFld4EBO2RE","url":"https://t.co/FE0OVbDFDR","indices":[77,100]}],"user_mentions":[]},"extended_entities":{"media":[{"display_url":"pic.x.com/CIwjGHW180","expanded_url":"https://x.com/da_vinci70/status/1515843356198424581/video/1","id_str":"1515843319905107972","indices":[101,124],"media_key":"7_1515843319905107972","media_url_https":"https://pbs.twimg.com/ext_tw_video_thumb/1515843319905107972/pu/img/hP2Q2rYpOK_TXRgG.jpg","type":"video","url":"https://t.co/CIwjGHW180","additional_media_info":{"monetizable":false},"ext_media_availability":{"status":"Available"},"sizes":{"large":{"h":606,"w":1280,"resize":"fit"},"medium":{"h":568,"w":1200,"resize":"fit"},"small":{"h":322,"w":680,"resize":"fit"},"thumb":{"h":150,"w":150,"resize":"crop"}},"original_info":{"height":606,"width":1280,"focus_rects":[]},"video_info":{"aspect_ratio":[640,303],"duration_millis":5830,"variants":[{"content_type":"application/x-mpegURL","url":"https://video.twimg.com/ext_tw_video/1515843319905107972/pu/pl/AvNNLESqhHIpQDgQ.m3u8?tag=12"},{"bitrate":256000,"content_type":"video/mp4","url":"https://video.twimg.com/ext_tw_video/1515843319905107972/pu/vid/570x270/iaujusgtJEZxw-p-.mp4?tag=12"},{"bitrate":832000,"content_type":"video/mp4","url":"https://video.twimg.com/ext_tw_video/1515843319905107972/pu/vid/760x360/P3hqNckcX41d7G2O.mp4?tag=12"},{"bitrate":2176000,"content_type":"video/mp4","url":"https://video.twimg.com/ext_tw_video/1515843319905107972/pu/vid/1280x606/-WmutA8UWUT5RAEo.mp4?tag=12"}]},"media_results":{"result":{"media_key":"7_1515843319905107972"}}}]},"favorite_count":28,"favorited":false,"full_text":"هذا رابط المقطع اللي يشرح كل شيء بالتفصيل وتحت النتيجة الاخيرة بس مع التحريك\nhttps://t.co/FE0OVbDFDR https://t.co/CIwjGHW180","in_reply_to_screen_name":"da_vinci70","in_reply_to_status_id_str":"1515842987187650560","in_reply_to_user_id_str":"1121416643538817024","is_quote_status":false,"lang":"ar","possibly_sensitive":false,"possibly_sensitive_editable":true,"quote_count":0,"reply_count":0,"retweet_count":3,"retweeted":false,"user_id_str":"1121416643538817024","id_str":"1515843356198424581","id":"1515843356198424581"},{"bookmark_count":4,"bookmarked":false,"created_at":"Sat Jul 25 14:56:19 +0000 2020","conversation_id_str":"1287038979087400960","display_text_range":[0,57],"entities":{"hashtags":[],"symbols":[],"timestamps":[],"urls":[{"display_url":"curiouscat.qa/da_vinci70/pos…","expanded_url":"https://curiouscat.qa/da_vinci70/post/1124998007","url":"https://t.co/G7A0yYrFr0","indices":[34,57]}],"user_mentions":[]},"favorite_count":28,"favorited":false,"full_text":"بشر انقبلت في cpc؟ — ايه الحمدلله https://t.co/G7A0yYrFr0","is_quote_status":false,"lang":"ar","possibly_sensitive":false,"possibly_sensitive_editable":true,"quote_count":0,"reply_count":32,"retweet_count":0,"retweeted":false,"user_id_str":"1121416643538817024","id_str":"1287038979087400960","id":"1287038979087400960"},{"bookmark_count":1,"bookmarked":false,"created_at":"Mon Jun 15 14:47:06 +0000 2020","conversation_id_str":"1272541050905792512","display_text_range":[0,236],"entities":{"hashtags":[],"symbols":[],"timestamps":[],"urls":[],"user_mentions":[]},"favorite_count":25,"favorited":false,"full_text":"3) لا تعتمد على مصدر واحد فقط، فالاطلاع على عدة مصادر في آنٍ واحد يساعد على توسعة نطاق الفهم أكثر، وقد يكون الفهم من أحدهم افضل.\n 4) يجب عليك الصبر، فرؤية النتائج من الآن مستحيلة، ولكن بعد مرور عدة أسابيع أو أشهر سترى الفرق عظيمًا جدًا.","in_reply_to_screen_name":"da_vinci70","in_reply_to_status_id_str":"1272541141238513666","in_reply_to_user_id_str":"1121416643538817024","is_quote_status":false,"lang":"ar","quote_count":0,"reply_count":1,"retweet_count":3,"retweeted":false,"user_id_str":"1121416643538817024","id_str":"1272541145130819584","id":"1272541145130819584"},{"bookmark_count":69,"bookmarked":false,"created_at":"Thu Apr 25 18:28:31 +0000 2024","conversation_id_str":"1783563758108913680","display_text_range":[0,192],"entities":{"hashtags":[],"media":[{"display_url":"pic.x.com/ndN0ZrRCvd","expanded_url":"https://x.com/da_vinci70/status/1783563758108913680/photo/1","id_str":"1783563755369992192","indices":[193,216],"media_key":"3_1783563755369992192","media_url_https":"https://pbs.twimg.com/media/GMB9ySkXEAAiv2p.jpg","type":"photo","url":"https://t.co/ndN0ZrRCvd","ext_media_availability":{"status":"Available"},"features":{"large":{"faces":[]},"medium":{"faces":[]},"small":{"faces":[]},"orig":{"faces":[]}},"sizes":{"large":{"h":1000,"w":667,"resize":"fit"},"medium":{"h":1000,"w":667,"resize":"fit"},"small":{"h":680,"w":454,"resize":"fit"},"thumb":{"h":150,"w":150,"resize":"crop"}},"original_info":{"height":1000,"width":667,"focus_rects":[{"x":0,"y":626,"w":667,"h":374},{"x":0,"y":333,"w":667,"h":667},{"x":0,"y":240,"w":667,"h":760},{"x":167,"y":0,"w":500,"h":1000},{"x":0,"y":0,"w":667,"h":1000}]},"media_results":{"result":{"media_key":"3_1783563755369992192"}}},{"display_url":"pic.x.com/ndN0ZrRCvd","expanded_url":"https://x.com/da_vinci70/status/1783563758108913680/photo/1","id_str":"1783563755399401472","indices":[193,216],"media_key":"3_1783563755399401472","media_url_https":"https://pbs.twimg.com/media/GMB9ySrX0AAm4Pw.jpg","type":"photo","url":"https://t.co/ndN0ZrRCvd","ext_media_availability":{"status":"Available"},"features":{"large":{"faces":[{"x":117,"y":785,"h":46,"w":46},{"x":210,"y":678,"h":60,"w":60},{"x":492,"y":678,"h":60,"w":60}]},"medium":{"faces":[{"x":117,"y":785,"h":46,"w":46},{"x":210,"y":678,"h":60,"w":60},{"x":492,"y":678,"h":60,"w":60}]},"small":{"faces":[{"x":79,"y":534,"h":31,"w":31},{"x":142,"y":461,"h":40,"w":40},{"x":334,"y":461,"h":40,"w":40}]},"orig":{"faces":[{"x":117,"y":785,"h":46,"w":46},{"x":210,"y":678,"h":60,"w":60},{"x":492,"y":678,"h":60,"w":60}]}},"sizes":{"large":{"h":1000,"w":654,"resize":"fit"},"medium":{"h":1000,"w":654,"resize":"fit"},"small":{"h":680,"w":445,"resize":"fit"},"thumb":{"h":150,"w":150,"resize":"crop"}},"original_info":{"height":1000,"width":654,"focus_rects":[{"x":0,"y":592,"w":654,"h":366},{"x":0,"y":346,"w":654,"h":654},{"x":0,"y":254,"w":654,"h":746},{"x":77,"y":0,"w":500,"h":1000},{"x":0,"y":0,"w":654,"h":1000}]},"media_results":{"result":{"media_key":"3_1783563755399401472"}}},{"display_url":"pic.x.com/ndN0ZrRCvd","expanded_url":"https://x.com/da_vinci70/status/1783563758108913680/photo/1","id_str":"1783563755596464128","indices":[193,216],"media_key":"3_1783563755596464128","media_url_https":"https://pbs.twimg.com/media/GMB9yTaWwAAfcmm.jpg","type":"photo","url":"https://t.co/ndN0ZrRCvd","ext_media_availability":{"status":"Available"},"features":{"large":{"faces":[{"x":324,"y":24,"h":65,"w":65},{"x":420,"y":485,"h":202,"w":202}]},"medium":{"faces":[{"x":324,"y":24,"h":65,"w":65},{"x":420,"y":485,"h":202,"w":202}]},"small":{"faces":[{"x":220,"y":16,"h":44,"w":44},{"x":285,"y":329,"h":137,"w":137}]},"orig":{"faces":[{"x":324,"y":24,"h":65,"w":65},{"x":420,"y":485,"h":202,"w":202}]}},"sizes":{"large":{"h":1000,"w":641,"resize":"fit"},"medium":{"h":1000,"w":641,"resize":"fit"},"small":{"h":680,"w":436,"resize":"fit"},"thumb":{"h":150,"w":150,"resize":"crop"}},"original_info":{"height":1000,"width":641,"focus_rects":[{"x":0,"y":0,"w":641,"h":359},{"x":0,"y":0,"w":641,"h":641},{"x":0,"y":0,"w":641,"h":731},{"x":25,"y":0,"w":500,"h":1000},{"x":0,"y":0,"w":641,"h":1000}]},"media_results":{"result":{"media_key":"3_1783563755596464128"}}},{"display_url":"pic.x.com/ndN0ZrRCvd","expanded_url":"https://x.com/da_vinci70/status/1783563758108913680/photo/1","id_str":"1783563755881689090","indices":[193,216],"media_key":"3_1783563755881689090","media_url_https":"https://pbs.twimg.com/media/GMB9yUeW8AI9gLR.jpg","type":"photo","url":"https://t.co/ndN0ZrRCvd","ext_media_availability":{"status":"Available"},"features":{"large":{"faces":[]},"medium":{"faces":[]},"small":{"faces":[]},"orig":{"faces":[]}},"sizes":{"large":{"h":500,"w":324,"resize":"fit"},"medium":{"h":500,"w":324,"resize":"fit"},"small":{"h":500,"w":324,"resize":"fit"},"thumb":{"h":150,"w":150,"resize":"crop"}},"original_info":{"height":500,"width":324,"focus_rects":[{"x":0,"y":319,"w":324,"h":181},{"x":0,"y":176,"w":324,"h":324},{"x":0,"y":131,"w":324,"h":369},{"x":37,"y":0,"w":250,"h":500},{"x":0,"y":0,"w":324,"h":500}]},"media_results":{"result":{"media_key":"3_1783563755881689090"}}}],"symbols":[],"timestamps":[],"urls":[],"user_mentions":[]},"extended_entities":{"media":[{"display_url":"pic.x.com/ndN0ZrRCvd","expanded_url":"https://x.com/da_vinci70/status/1783563758108913680/photo/1","id_str":"1783563755369992192","indices":[193,216],"media_key":"3_1783563755369992192","media_url_https":"https://pbs.twimg.com/media/GMB9ySkXEAAiv2p.jpg","type":"photo","url":"https://t.co/ndN0ZrRCvd","ext_media_availability":{"status":"Available"},"features":{"large":{"faces":[]},"medium":{"faces":[]},"small":{"faces":[]},"orig":{"faces":[]}},"sizes":{"large":{"h":1000,"w":667,"resize":"fit"},"medium":{"h":1000,"w":667,"resize":"fit"},"small":{"h":680,"w":454,"resize":"fit"},"thumb":{"h":150,"w":150,"resize":"crop"}},"original_info":{"height":1000,"width":667,"focus_rects":[{"x":0,"y":626,"w":667,"h":374},{"x":0,"y":333,"w":667,"h":667},{"x":0,"y":240,"w":667,"h":760},{"x":167,"y":0,"w":500,"h":1000},{"x":0,"y":0,"w":667,"h":1000}]},"media_results":{"result":{"media_key":"3_1783563755369992192"}}},{"display_url":"pic.x.com/ndN0ZrRCvd","expanded_url":"https://x.com/da_vinci70/status/1783563758108913680/photo/1","id_str":"1783563755399401472","indices":[193,216],"media_key":"3_1783563755399401472","media_url_https":"https://pbs.twimg.com/media/GMB9ySrX0AAm4Pw.jpg","type":"photo","url":"https://t.co/ndN0ZrRCvd","ext_media_availability":{"status":"Available"},"features":{"large":{"faces":[{"x":117,"y":785,"h":46,"w":46},{"x":210,"y":678,"h":60,"w":60},{"x":492,"y":678,"h":60,"w":60}]},"medium":{"faces":[{"x":117,"y":785,"h":46,"w":46},{"x":210,"y":678,"h":60,"w":60},{"x":492,"y":678,"h":60,"w":60}]},"small":{"faces":[{"x":79,"y":534,"h":31,"w":31},{"x":142,"y":461,"h":40,"w":40},{"x":334,"y":461,"h":40,"w":40}]},"orig":{"faces":[{"x":117,"y":785,"h":46,"w":46},{"x":210,"y":678,"h":60,"w":60},{"x":492,"y":678,"h":60,"w":60}]}},"sizes":{"large":{"h":1000,"w":654,"resize":"fit"},"medium":{"h":1000,"w":654,"resize":"fit"},"small":{"h":680,"w":445,"resize":"fit"},"thumb":{"h":150,"w":150,"resize":"crop"}},"original_info":{"height":1000,"width":654,"focus_rects":[{"x":0,"y":592,"w":654,"h":366},{"x":0,"y":346,"w":654,"h":654},{"x":0,"y":254,"w":654,"h":746},{"x":77,"y":0,"w":500,"h":1000},{"x":0,"y":0,"w":654,"h":1000}]},"media_results":{"result":{"media_key":"3_1783563755399401472"}}},{"display_url":"pic.x.com/ndN0ZrRCvd","expanded_url":"https://x.com/da_vinci70/status/1783563758108913680/photo/1","id_str":"1783563755596464128","indices":[193,216],"media_key":"3_1783563755596464128","media_url_https":"https://pbs.twimg.com/media/GMB9yTaWwAAfcmm.jpg","type":"photo","url":"https://t.co/ndN0ZrRCvd","ext_media_availability":{"status":"Available"},"features":{"large":{"faces":[{"x":324,"y":24,"h":65,"w":65},{"x":420,"y":485,"h":202,"w":202}]},"medium":{"faces":[{"x":324,"y":24,"h":65,"w":65},{"x":420,"y":485,"h":202,"w":202}]},"small":{"faces":[{"x":220,"y":16,"h":44,"w":44},{"x":285,"y":329,"h":137,"w":137}]},"orig":{"faces":[{"x":324,"y":24,"h":65,"w":65},{"x":420,"y":485,"h":202,"w":202}]}},"sizes":{"large":{"h":1000,"w":641,"resize":"fit"},"medium":{"h":1000,"w":641,"resize":"fit"},"small":{"h":680,"w":436,"resize":"fit"},"thumb":{"h":150,"w":150,"resize":"crop"}},"original_info":{"height":1000,"width":641,"focus_rects":[{"x":0,"y":0,"w":641,"h":359},{"x":0,"y":0,"w":641,"h":641},{"x":0,"y":0,"w":641,"h":731},{"x":25,"y":0,"w":500,"h":1000},{"x":0,"y":0,"w":641,"h":1000}]},"media_results":{"result":{"media_key":"3_1783563755596464128"}}},{"display_url":"pic.x.com/ndN0ZrRCvd","expanded_url":"https://x.com/da_vinci70/status/1783563758108913680/photo/1","id_str":"1783563755881689090","indices":[193,216],"media_key":"3_1783563755881689090","media_url_https":"https://pbs.twimg.com/media/GMB9yUeW8AI9gLR.jpg","type":"photo","url":"https://t.co/ndN0ZrRCvd","ext_media_availability":{"status":"Available"},"features":{"large":{"faces":[]},"medium":{"faces":[]},"small":{"faces":[]},"orig":{"faces":[]}},"sizes":{"large":{"h":500,"w":324,"resize":"fit"},"medium":{"h":500,"w":324,"resize":"fit"},"small":{"h":500,"w":324,"resize":"fit"},"thumb":{"h":150,"w":150,"resize":"crop"}},"original_info":{"height":500,"width":324,"focus_rects":[{"x":0,"y":319,"w":324,"h":181},{"x":0,"y":176,"w":324,"h":324},{"x":0,"y":131,"w":324,"h":369},{"x":37,"y":0,"w":250,"h":500},{"x":0,"y":0,"w":324,"h":500}]},"media_results":{"result":{"media_key":"3_1783563755881689090"}}}]},"favorite_count":28,"favorited":false,"full_text":"I wouldn't exactly call myself an avid reader, as I generally pick up books that interest me. So, this year's harvest wasn’t particularly bountiful, but here’s what I managed to gather anyways https://t.co/ndN0ZrRCvd","is_quote_status":true,"lang":"en","possibly_sensitive":false,"possibly_sensitive_editable":true,"quote_count":0,"quoted_status_id_str":"1783233604400656876","quoted_status_permalink":{"url":"https://t.co/ZhzRboUn0F","expanded":"https://twitter.com/Alabbar94/status/1783233604400656876","display":"x.com/Alabbar94/stat…"},"reply_count":1,"retweet_count":1,"retweeted":false,"user_id_str":"1121416643538817024","id_str":"1783563758108913680","id":"1783563758108913680"},{"bookmark_count":4,"bookmarked":false,"created_at":"Sat Jul 24 20:08:41 +0000 2021","conversation_id_str":"1419026773426196484","display_text_range":[0,37],"entities":{"hashtags":[{"indices":[22,37],"text":"سباق_الرياضيات"}],"media":[{"display_url":"pic.x.com/UEujkwROMg","expanded_url":"https://x.com/da_vinci70/status/1419026773426196484/photo/1","id_str":"1419026771110940678","indices":[38,61],"media_key":"3_1419026771110940678","media_url_https":"https://pbs.twimg.com/media/E7FlVHrWUAYKjjt.jpg","type":"photo","url":"https://t.co/UEujkwROMg","ext_media_availability":{"status":"Available"},"features":{"large":{"faces":[]},"medium":{"faces":[]},"small":{"faces":[]},"orig":{"faces":[]}},"sizes":{"large":{"h":727,"w":975,"resize":"fit"},"medium":{"h":727,"w":975,"resize":"fit"},"small":{"h":507,"w":680,"resize":"fit"},"thumb":{"h":150,"w":150,"resize":"crop"}},"original_info":{"height":727,"width":975,"focus_rects":[{"x":0,"y":181,"w":975,"h":546},{"x":0,"y":0,"w":727,"h":727},{"x":0,"y":0,"w":638,"h":727},{"x":0,"y":0,"w":364,"h":727},{"x":0,"y":0,"w":975,"h":727}]},"media_results":{"result":{"media_key":"3_1419026771110940678"}}}],"symbols":[],"timestamps":[],"urls":[],"user_mentions":[]},"extended_entities":{"media":[{"display_url":"pic.x.com/UEujkwROMg","expanded_url":"https://x.com/da_vinci70/status/1419026773426196484/photo/1","id_str":"1419026771110940678","indices":[38,61],"media_key":"3_1419026771110940678","media_url_https":"https://pbs.twimg.com/media/E7FlVHrWUAYKjjt.jpg","type":"photo","url":"https://t.co/UEujkwROMg","ext_media_availability":{"status":"Available"},"features":{"large":{"faces":[]},"medium":{"faces":[]},"small":{"faces":[]},"orig":{"faces":[]}},"sizes":{"large":{"h":727,"w":975,"resize":"fit"},"medium":{"h":727,"w":975,"resize":"fit"},"small":{"h":507,"w":680,"resize":"fit"},"thumb":{"h":150,"w":150,"resize":"crop"}},"original_info":{"height":727,"width":975,"focus_rects":[{"x":0,"y":181,"w":975,"h":546},{"x":0,"y":0,"w":727,"h":727},{"x":0,"y":0,"w":638,"h":727},{"x":0,"y":0,"w":364,"h":727},{"x":0,"y":0,"w":975,"h":727}]},"media_results":{"result":{"media_key":"3_1419026771110940678"}}}]},"favorite_count":26,"favorited":false,"full_text":"ABCD مربع\nاوجد مساحته\n#سباق_الرياضيات https://t.co/UEujkwROMg","is_quote_status":false,"lang":"ar","possibly_sensitive":false,"possibly_sensitive_editable":true,"quote_count":1,"reply_count":5,"retweet_count":4,"retweeted":false,"user_id_str":"1121416643538817024","id_str":"1419026773426196484","id":"1419026773426196484"},{"bookmark_count":9,"bookmarked":false,"created_at":"Mon Jun 15 14:48:20 +0000 2020","conversation_id_str":"1272541050905792512","display_text_range":[0,242],"entities":{"hashtags":[],"media":[{"display_url":"pic.x.com/Eo6qZK8JpH","expanded_url":"https://x.com/da_vinci70/status/1272541455958061056/photo/1","id_str":"1272541343487844352","indices":[243,266],"media_key":"3_1272541343487844352","media_url_https":"https://pbs.twimg.com/media/Eaj5nBSXYAAUGJh.jpg","type":"photo","url":"https://t.co/Eo6qZK8JpH","ext_media_availability":{"status":"Available"},"features":{"large":{"faces":[]},"medium":{"faces":[]},"small":{"faces":[]},"orig":{"faces":[]}},"sizes":{"large":{"h":516,"w":765,"resize":"fit"},"medium":{"h":516,"w":765,"resize":"fit"},"small":{"h":459,"w":680,"resize":"fit"},"thumb":{"h":150,"w":150,"resize":"crop"}},"original_info":{"height":516,"width":765,"focus_rects":[{"x":0,"y":88,"w":765,"h":428},{"x":105,"y":0,"w":516,"h":516},{"x":137,"y":0,"w":453,"h":516},{"x":234,"y":0,"w":258,"h":516},{"x":0,"y":0,"w":765,"h":516}]},"media_results":{"result":{"media_key":"3_1272541343487844352"}}},{"display_url":"pic.x.com/Eo6qZK8JpH","expanded_url":"https://x.com/da_vinci70/status/1272541455958061056/photo/1","id_str":"1272541348810436608","indices":[243,266],"media_key":"3_1272541348810436608","media_url_https":"https://pbs.twimg.com/media/Eaj5nVHXsAAXadl.jpg","type":"photo","url":"https://t.co/Eo6qZK8JpH","ext_media_availability":{"status":"Available"},"features":{"large":{"faces":[]},"medium":{"faces":[]},"small":{"faces":[]},"orig":{"faces":[]}},"sizes":{"large":{"h":1480,"w":720,"resize":"fit"},"medium":{"h":1200,"w":584,"resize":"fit"},"small":{"h":680,"w":331,"resize":"fit"},"thumb":{"h":150,"w":150,"resize":"crop"}},"original_info":{"height":1480,"width":720,"focus_rects":[{"x":0,"y":500,"w":720,"h":403},{"x":0,"y":341,"w":720,"h":720},{"x":0,"y":291,"w":720,"h":821},{"x":0,"y":0,"w":720,"h":1440},{"x":0,"y":0,"w":720,"h":1480}]},"media_results":{"result":{"media_key":"3_1272541348810436608"}}},{"display_url":"pic.x.com/Eo6qZK8JpH","expanded_url":"https://x.com/da_vinci70/status/1272541455958061056/photo/1","id_str":"1272541437738041344","indices":[243,266],"media_key":"3_1272541437738041344","media_url_https":"https://pbs.twimg.com/media/Eaj5sgZXQAA4JzW.jpg","type":"photo","url":"https://t.co/Eo6qZK8JpH","ext_media_availability":{"status":"Available"},"features":{"large":{"faces":[{"x":248,"y":162,"h":135,"w":135}]},"medium":{"faces":[{"x":248,"y":162,"h":135,"w":135}]},"small":{"faces":[{"x":248,"y":162,"h":135,"w":135}]},"orig":{"faces":[{"x":248,"y":162,"h":135,"w":135}]}},"sizes":{"large":{"h":412,"w":433,"resize":"fit"},"medium":{"h":412,"w":433,"resize":"fit"},"small":{"h":412,"w":433,"resize":"fit"},"thumb":{"h":150,"w":150,"resize":"crop"}},"original_info":{"height":412,"width":433,"focus_rects":[{"x":0,"y":149,"w":433,"h":242},{"x":21,"y":0,"w":412,"h":412},{"x":72,"y":0,"w":361,"h":412},{"x":167,"y":0,"w":206,"h":412},{"x":0,"y":0,"w":433,"h":412}]},"media_results":{"result":{"media_key":"3_1272541437738041344"}}},{"display_url":"pic.x.com/Eo6qZK8JpH","expanded_url":"https://x.com/da_vinci70/status/1272541455958061056/photo/1","id_str":"1272541441127055362","indices":[243,266],"media_key":"3_1272541441127055362","media_url_https":"https://pbs.twimg.com/media/Eaj5stBXgAIRgOL.jpg","type":"photo","url":"https://t.co/Eo6qZK8JpH","ext_media_availability":{"status":"Available"},"features":{"large":{"faces":[]},"medium":{"faces":[]},"small":{"faces":[]},"orig":{"faces":[]}},"sizes":{"large":{"h":1480,"w":720,"resize":"fit"},"medium":{"h":1200,"w":584,"resize":"fit"},"small":{"h":680,"w":331,"resize":"fit"},"thumb":{"h":150,"w":150,"resize":"crop"}},"original_info":{"height":1480,"width":720,"focus_rects":[{"x":0,"y":500,"w":720,"h":403},{"x":0,"y":341,"w":720,"h":720},{"x":0,"y":291,"w":720,"h":821},{"x":0,"y":0,"w":720,"h":1440},{"x":0,"y":0,"w":720,"h":1480}]},"media_results":{"result":{"media_key":"3_1272541441127055362"}}}],"symbols":[],"timestamps":[],"urls":[],"user_mentions":[]},"extended_entities":{"media":[{"display_url":"pic.x.com/Eo6qZK8JpH","expanded_url":"https://x.com/da_vinci70/status/1272541455958061056/photo/1","id_str":"1272541343487844352","indices":[243,266],"media_key":"3_1272541343487844352","media_url_https":"https://pbs.twimg.com/media/Eaj5nBSXYAAUGJh.jpg","type":"photo","url":"https://t.co/Eo6qZK8JpH","ext_media_availability":{"status":"Available"},"features":{"large":{"faces":[]},"medium":{"faces":[]},"small":{"faces":[]},"orig":{"faces":[]}},"sizes":{"large":{"h":516,"w":765,"resize":"fit"},"medium":{"h":516,"w":765,"resize":"fit"},"small":{"h":459,"w":680,"resize":"fit"},"thumb":{"h":150,"w":150,"resize":"crop"}},"original_info":{"height":516,"width":765,"focus_rects":[{"x":0,"y":88,"w":765,"h":428},{"x":105,"y":0,"w":516,"h":516},{"x":137,"y":0,"w":453,"h":516},{"x":234,"y":0,"w":258,"h":516},{"x":0,"y":0,"w":765,"h":516}]},"media_results":{"result":{"media_key":"3_1272541343487844352"}}},{"display_url":"pic.x.com/Eo6qZK8JpH","expanded_url":"https://x.com/da_vinci70/status/1272541455958061056/photo/1","id_str":"1272541348810436608","indices":[243,266],"media_key":"3_1272541348810436608","media_url_https":"https://pbs.twimg.com/media/Eaj5nVHXsAAXadl.jpg","type":"photo","url":"https://t.co/Eo6qZK8JpH","ext_media_availability":{"status":"Available"},"features":{"large":{"faces":[]},"medium":{"faces":[]},"small":{"faces":[]},"orig":{"faces":[]}},"sizes":{"large":{"h":1480,"w":720,"resize":"fit"},"medium":{"h":1200,"w":584,"resize":"fit"},"small":{"h":680,"w":331,"resize":"fit"},"thumb":{"h":150,"w":150,"resize":"crop"}},"original_info":{"height":1480,"width":720,"focus_rects":[{"x":0,"y":500,"w":720,"h":403},{"x":0,"y":341,"w":720,"h":720},{"x":0,"y":291,"w":720,"h":821},{"x":0,"y":0,"w":720,"h":1440},{"x":0,"y":0,"w":720,"h":1480}]},"media_results":{"result":{"media_key":"3_1272541348810436608"}}},{"display_url":"pic.x.com/Eo6qZK8JpH","expanded_url":"https://x.com/da_vinci70/status/1272541455958061056/photo/1","id_str":"1272541437738041344","indices":[243,266],"media_key":"3_1272541437738041344","media_url_https":"https://pbs.twimg.com/media/Eaj5sgZXQAA4JzW.jpg","type":"photo","url":"https://t.co/Eo6qZK8JpH","ext_media_availability":{"status":"Available"},"features":{"large":{"faces":[{"x":248,"y":162,"h":135,"w":135}]},"medium":{"faces":[{"x":248,"y":162,"h":135,"w":135}]},"small":{"faces":[{"x":248,"y":162,"h":135,"w":135}]},"orig":{"faces":[{"x":248,"y":162,"h":135,"w":135}]}},"sizes":{"large":{"h":412,"w":433,"resize":"fit"},"medium":{"h":412,"w":433,"resize":"fit"},"small":{"h":412,"w":433,"resize":"fit"},"thumb":{"h":150,"w":150,"resize":"crop"}},"original_info":{"height":412,"width":433,"focus_rects":[{"x":0,"y":149,"w":433,"h":242},{"x":21,"y":0,"w":412,"h":412},{"x":72,"y":0,"w":361,"h":412},{"x":167,"y":0,"w":206,"h":412},{"x":0,"y":0,"w":433,"h":412}]},"media_results":{"result":{"media_key":"3_1272541437738041344"}}},{"display_url":"pic.x.com/Eo6qZK8JpH","expanded_url":"https://x.com/da_vinci70/status/1272541455958061056/photo/1","id_str":"1272541441127055362","indices":[243,266],"media_key":"3_1272541441127055362","media_url_https":"https://pbs.twimg.com/media/Eaj5stBXgAIRgOL.jpg","type":"photo","url":"https://t.co/Eo6qZK8JpH","ext_media_availability":{"status":"Available"},"features":{"large":{"faces":[]},"medium":{"faces":[]},"small":{"faces":[]},"orig":{"faces":[]}},"sizes":{"large":{"h":1480,"w":720,"resize":"fit"},"medium":{"h":1200,"w":584,"resize":"fit"},"small":{"h":680,"w":331,"resize":"fit"},"thumb":{"h":150,"w":150,"resize":"crop"}},"original_info":{"height":1480,"width":720,"focus_rects":[{"x":0,"y":500,"w":720,"h":403},{"x":0,"y":341,"w":720,"h":720},{"x":0,"y":291,"w":720,"h":821},{"x":0,"y":0,"w":720,"h":1440},{"x":0,"y":0,"w":720,"h":1480}]},"media_results":{"result":{"media_key":"3_1272541441127055362"}}}]},"favorite_count":26,"favorited":false,"full_text":"- قم ببعض التحويلات الهندسية كالانعكاس والدوران.\n - حاول أن تربط المسألة بمسائل أخرى وجزّئ الأشكال لتصبح أشكالا أبسط، (مثل جزء مظلل من قطاع دائري ليصبح دائرة مطروحًا منه مثلث).\n- ضع دائرة حول الشكل إن أمكن فقد يساعد ذلك بجعل المسألة أسهل، مثل https://t.co/Eo6qZK8JpH","in_reply_to_screen_name":"da_vinci70","in_reply_to_status_id_str":"1272541313041391618","in_reply_to_user_id_str":"1121416643538817024","is_quote_status":false,"lang":"ar","possibly_sensitive":false,"possibly_sensitive_editable":true,"quote_count":0,"reply_count":1,"retweet_count":4,"retweeted":false,"user_id_str":"1121416643538817024","id_str":"1272541455958061056","id":"1272541455958061056"},{"bookmark_count":5,"bookmarked":false,"created_at":"Sun Feb 26 10:27:01 +0000 2023","conversation_id_str":"1629536385337262080","display_text_range":[13,13],"entities":{"hashtags":[],"media":[{"display_url":"pic.x.com/gqNhQsGtSf","expanded_url":"https://x.com/da_vinci70/status/1629790127634432002/photo/1","id_str":"1629790125478518784","indices":[14,37],"media_key":"3_1629790125478518784","media_url_https":"https://pbs.twimg.com/media/Fp4te--WIAArqm6.jpg","type":"photo","url":"https://t.co/gqNhQsGtSf","ext_media_availability":{"status":"Available"},"features":{"large":{"faces":[{"x":101,"y":286,"h":53,"w":53}]},"medium":{"faces":[{"x":101,"y":286,"h":53,"w":53}]},"small":{"faces":[{"x":91,"y":260,"h":48,"w":48}]},"orig":{"faces":[{"x":101,"y":286,"h":53,"w":53}]}},"sizes":{"large":{"h":747,"w":710,"resize":"fit"},"medium":{"h":747,"w":710,"resize":"fit"},"small":{"h":680,"w":646,"resize":"fit"},"thumb":{"h":150,"w":150,"resize":"crop"}},"original_info":{"height":747,"width":710,"focus_rects":[{"x":0,"y":349,"w":710,"h":398},{"x":0,"y":37,"w":710,"h":710},{"x":27,"y":0,"w":655,"h":747},{"x":167,"y":0,"w":374,"h":747},{"x":0,"y":0,"w":710,"h":747}]},"media_results":{"result":{"media_key":"3_1629790125478518784"}}}],"symbols":[],"timestamps":[],"urls":[],"user_mentions":[{"id_str":"801819279066886149","name":"SKG","screen_name":"sonukg4india","indices":[0,13]}]},"extended_entities":{"media":[{"display_url":"pic.x.com/gqNhQsGtSf","expanded_url":"https://x.com/da_vinci70/status/1629790127634432002/photo/1","id_str":"1629790125478518784","indices":[14,37],"media_key":"3_1629790125478518784","media_url_https":"https://pbs.twimg.com/media/Fp4te--WIAArqm6.jpg","type":"photo","url":"https://t.co/gqNhQsGtSf","ext_media_availability":{"status":"Available"},"features":{"large":{"faces":[{"x":101,"y":286,"h":53,"w":53}]},"medium":{"faces":[{"x":101,"y":286,"h":53,"w":53}]},"small":{"faces":[{"x":91,"y":260,"h":48,"w":48}]},"orig":{"faces":[{"x":101,"y":286,"h":53,"w":53}]}},"sizes":{"large":{"h":747,"w":710,"resize":"fit"},"medium":{"h":747,"w":710,"resize":"fit"},"small":{"h":680,"w":646,"resize":"fit"},"thumb":{"h":150,"w":150,"resize":"crop"}},"original_info":{"height":747,"width":710,"focus_rects":[{"x":0,"y":349,"w":710,"h":398},{"x":0,"y":37,"w":710,"h":710},{"x":27,"y":0,"w":655,"h":747},{"x":167,"y":0,"w":374,"h":747},{"x":0,"y":0,"w":710,"h":747}]},"media_results":{"result":{"media_key":"3_1629790125478518784"}}}]},"favorite_count":25,"favorited":false,"full_text":"@sonukg4india https://t.co/gqNhQsGtSf","in_reply_to_screen_name":"sonukg4india","in_reply_to_status_id_str":"1629536385337262080","in_reply_to_user_id_str":"801819279066886149","is_quote_status":false,"lang":"qme","possibly_sensitive":false,"possibly_sensitive_editable":true,"quote_count":4,"reply_count":4,"retweet_count":2,"retweeted":false,"user_id_str":"1121416643538817024","id_str":"1629790127634432002","id":"1629790127634432002"},{"bookmark_count":20,"bookmarked":false,"created_at":"Sun Feb 14 20:35:04 +0000 2021","conversation_id_str":"1360888662041452544","display_text_range":[9,31],"entities":{"hashtags":[],"media":[{"display_url":"pic.x.com/huXkbvv8Bp","expanded_url":"https://x.com/da_vinci70/status/1361051353703981060/photo/1","id_str":"1361051346938564614","indices":[32,55],"media_key":"3_1361051346938564614","media_url_https":"https://pbs.twimg.com/media/EuNs_SdXEAYb-Yg.jpg","type":"photo","url":"https://t.co/huXkbvv8Bp","ext_media_availability":{"status":"Available"},"features":{"large":{"faces":[{"x":322,"y":261,"h":284,"w":284}]},"medium":{"faces":[{"x":322,"y":261,"h":284,"w":284}]},"small":{"faces":[{"x":182,"y":147,"h":160,"w":160}]},"orig":{"faces":[{"x":322,"y":261,"h":284,"w":284}]}},"sizes":{"large":{"h":1200,"w":630,"resize":"fit"},"medium":{"h":1200,"w":630,"resize":"fit"},"small":{"h":680,"w":357,"resize":"fit"},"thumb":{"h":150,"w":150,"resize":"crop"}},"original_info":{"height":1200,"width":630,"focus_rects":[{"x":0,"y":847,"w":630,"h":353},{"x":0,"y":570,"w":630,"h":630},{"x":0,"y":482,"w":630,"h":718},{"x":30,"y":0,"w":600,"h":1200},{"x":0,"y":0,"w":630,"h":1200}]},"media_results":{"result":{"media_key":"3_1361051346938564614"}}}],"symbols":[],"timestamps":[],"urls":[],"user_mentions":[{"id_str":"1236648713851998208","name":"| baraa","screen_name":"b4raa20","indices":[0,8]}]},"extended_entities":{"media":[{"display_url":"pic.x.com/huXkbvv8Bp","expanded_url":"https://x.com/da_vinci70/status/1361051353703981060/photo/1","id_str":"1361051346938564614","indices":[32,55],"media_key":"3_1361051346938564614","media_url_https":"https://pbs.twimg.com/media/EuNs_SdXEAYb-Yg.jpg","type":"photo","url":"https://t.co/huXkbvv8Bp","ext_media_availability":{"status":"Available"},"features":{"large":{"faces":[{"x":322,"y":261,"h":284,"w":284}]},"medium":{"faces":[{"x":322,"y":261,"h":284,"w":284}]},"small":{"faces":[{"x":182,"y":147,"h":160,"w":160}]},"orig":{"faces":[{"x":322,"y":261,"h":284,"w":284}]}},"sizes":{"large":{"h":1200,"w":630,"resize":"fit"},"medium":{"h":1200,"w":630,"resize":"fit"},"small":{"h":680,"w":357,"resize":"fit"},"thumb":{"h":150,"w":150,"resize":"crop"}},"original_info":{"height":1200,"width":630,"focus_rects":[{"x":0,"y":847,"w":630,"h":353},{"x":0,"y":570,"w":630,"h":630},{"x":0,"y":482,"w":630,"h":718},{"x":30,"y":0,"w":600,"h":1200},{"x":0,"y":0,"w":630,"h":1200}]},"media_results":{"result":{"media_key":"3_1361051346938564614"}}}]},"favorite_count":23,"favorited":false,"full_text":"@b4raa20 علوم حاسب، امن سيبراني https://t.co/huXkbvv8Bp","in_reply_to_screen_name":"b4raa20","in_reply_to_status_id_str":"1360888662041452544","in_reply_to_user_id_str":"1236648713851998208","is_quote_status":false,"lang":"ar","possibly_sensitive":false,"possibly_sensitive_editable":true,"quote_count":0,"reply_count":0,"retweet_count":3,"retweeted":false,"user_id_str":"1121416643538817024","id_str":"1361051353703981060","id":"1361051353703981060"},{"bookmark_count":6,"bookmarked":false,"created_at":"Mon Jun 15 14:47:05 +0000 2020","conversation_id_str":"1272541050905792512","display_text_range":[0,225],"entities":{"hashtags":[],"symbols":[],"timestamps":[],"urls":[],"user_mentions":[]},"favorite_count":23,"favorited":false,"full_text":"2) الرياضيات والفيزياء تحديدا تحتاج لورقة وقلم وتكثيف للحل وأحيانا قراءة السطر مرة تلوَ الأخرى فمقررات الجامعة للمختصين بالرياضيات على سبيل المثال تحتاج أحيانا من الشخص قراءة للسطر مرة ومرتين وثلاث مرات وأكثر وهذا هو الطبيعي.","in_reply_to_screen_name":"da_vinci70","in_reply_to_status_id_str":"1272541136754802690","in_reply_to_user_id_str":"1121416643538817024","is_quote_status":false,"lang":"ar","quote_count":0,"reply_count":1,"retweet_count":5,"retweeted":false,"user_id_str":"1121416643538817024","id_str":"1272541141238513666","id":"1272541141238513666"},{"bookmark_count":4,"bookmarked":false,"created_at":"Thu Feb 16 17:46:14 +0000 2023","conversation_id_str":"1626263427793489920","display_text_range":[9,249],"entities":{"hashtags":[],"symbols":[],"timestamps":[],"urls":[],"user_mentions":[{"id_str":"1278532873985888256","name":"Abrar","screen_name":"AproO08","indices":[0,8]}]},"favorite_count":25,"favorited":false,"full_text":"@AproO08 مو منطقية تماما لان كل الشركات تعرف معدل البترول يختلف عن باقي الجامعات بالاضافة انه فيه خريجين من البترول عندهم مناصب عالية فيفضلوا خريجين البترول لان يعرفوا الجامعة زين وذا اللي صاير بstc وارامكو وسابك الخ فالتعميم من هالردود على الكل غلط","in_reply_to_screen_name":"AproO08","in_reply_to_status_id_str":"1626263427793489920","in_reply_to_user_id_str":"1278532873985888256","is_quote_status":false,"lang":"ar","quote_count":1,"reply_count":3,"retweet_count":2,"retweeted":false,"user_id_str":"1121416643538817024","id_str":"1626276783849963521","id":"1626276783849963521"},{"bookmark_count":6,"bookmarked":false,"created_at":"Sun May 29 08:52:50 +0000 2022","conversation_id_str":"1530834541790765056","display_text_range":[0,201],"entities":{"hashtags":[],"media":[{"display_url":"pic.x.com/pZao2DIphV","expanded_url":"https://x.com/da_vinci70/status/1530834541790765056/photo/1","id_str":"1530834539639193601","indices":[202,225],"media_key":"3_1530834539639193601","media_url_https":"https://pbs.twimg.com/media/FT6d5zEXwAE1g2n.jpg","type":"photo","url":"https://t.co/pZao2DIphV","ext_media_availability":{"status":"Available"},"features":{"large":{"faces":[]},"medium":{"faces":[]},"small":{"faces":[]},"orig":{"faces":[]}},"sizes":{"large":{"h":980,"w":1883,"resize":"fit"},"medium":{"h":625,"w":1200,"resize":"fit"},"small":{"h":354,"w":680,"resize":"fit"},"thumb":{"h":150,"w":150,"resize":"crop"}},"original_info":{"height":980,"width":1883,"focus_rects":[{"x":133,"y":0,"w":1750,"h":980},{"x":903,"y":0,"w":980,"h":980},{"x":1023,"y":0,"w":860,"h":980},{"x":1304,"y":0,"w":490,"h":980},{"x":0,"y":0,"w":1883,"h":980}]},"media_results":{"result":{"media_key":"3_1530834539639193601"}}}],"symbols":[],"timestamps":[],"urls":[],"user_mentions":[]},"extended_entities":{"media":[{"display_url":"pic.x.com/pZao2DIphV","expanded_url":"https://x.com/da_vinci70/status/1530834541790765056/photo/1","id_str":"1530834539639193601","indices":[202,225],"media_key":"3_1530834539639193601","media_url_https":"https://pbs.twimg.com/media/FT6d5zEXwAE1g2n.jpg","type":"photo","url":"https://t.co/pZao2DIphV","ext_media_availability":{"status":"Available"},"features":{"large":{"faces":[]},"medium":{"faces":[]},"small":{"faces":[]},"orig":{"faces":[]}},"sizes":{"large":{"h":980,"w":1883,"resize":"fit"},"medium":{"h":625,"w":1200,"resize":"fit"},"small":{"h":354,"w":680,"resize":"fit"},"thumb":{"h":150,"w":150,"resize":"crop"}},"original_info":{"height":980,"width":1883,"focus_rects":[{"x":133,"y":0,"w":1750,"h":980},{"x":903,"y":0,"w":980,"h":980},{"x":1023,"y":0,"w":860,"h":980},{"x":1304,"y":0,"w":490,"h":980},{"x":0,"y":0,"w":1883,"h":980}]},"media_results":{"result":{"media_key":"3_1530834539639193601"}}}]},"favorite_count":24,"favorited":false,"full_text":"بما اني قاعد أدور على سكن هالفترة وشفت أماكن كثير، للحين محتار متى اوقف ابحث بالمواقع وأبدأ فعليا اختار سكن\n\nولأن الحساب هذا معظم محتواه عن الرياضيات، فليه مانحاول نجاوب على هالسؤال بشكل رياضي؟ \n\n(0/3) https://t.co/pZao2DIphV","is_quote_status":false,"lang":"ar","possibly_sensitive":false,"possibly_sensitive_editable":true,"quote_count":0,"reply_count":1,"retweet_count":3,"retweeted":false,"user_id_str":"1121416643538817024","id_str":"1530834541790765056","id":"1530834541790765056"},{"bookmark_count":3,"bookmarked":false,"created_at":"Mon Jun 15 14:46:57 +0000 2020","conversation_id_str":"1272541050905792512","display_text_range":[0,190],"entities":{"hashtags":[],"symbols":[],"timestamps":[],"urls":[],"user_mentions":[]},"favorite_count":24,"favorited":false,"full_text":"يعطينا نظرةً واضحةً أن الرياضيات قد يتعلمها حتى غير المختص إن وجد الشغف قبل ذلك، والأمثلة كثيرة جدا هنا على منصة تويتر، فلا التخصص حاجزٌ عن تعلمك لما أحببت، ولا العمر عاجزٌ عن فهمك لما أردت.","in_reply_to_screen_name":"da_vinci70","in_reply_to_status_id_str":"1272541104886472704","in_reply_to_user_id_str":"1121416643538817024","is_quote_status":false,"lang":"ar","quote_count":0,"reply_count":2,"retweet_count":4,"retweeted":false,"user_id_str":"1121416643538817024","id_str":"1272541109210820610","id":"1272541109210820610"},{"bookmark_count":6,"bookmarked":false,"created_at":"Mon Jun 15 14:46:58 +0000 2020","conversation_id_str":"1272541050905792512","display_text_range":[0,254],"entities":{"hashtags":[],"symbols":[],"timestamps":[],"urls":[],"user_mentions":[]},"favorite_count":24,"favorited":false,"full_text":"بالبداية سأتكلم عن بدايتي مع الرياضيات نفسها.\n بالمرحلة الابتدائية كنت أتوقُ لأن تمر الأيام كلها إلى أن يأتي ذلك الدرس المسمى \"استراتيجية حل المسألة\" فكوني عاشقًا للألغاز والتفكير عمومًا رأيت في تلك الدروس ضالتي، وهذا ماجعلني أستمتع بالرياضيات منذ الصغر.","in_reply_to_screen_name":"da_vinci70","in_reply_to_status_id_str":"1272541109210820610","in_reply_to_user_id_str":"1121416643538817024","is_quote_status":false,"lang":"ar","quote_count":0,"reply_count":1,"retweet_count":4,"retweeted":false,"user_id_str":"1121416643538817024","id_str":"1272541112847261699","id":"1272541112847261699"},{"bookmark_count":11,"bookmarked":false,"created_at":"Mon Jun 15 14:47:02 +0000 2020","conversation_id_str":"1272541050905792512","display_text_range":[0,279],"entities":{"hashtags":[],"symbols":[],"timestamps":[],"urls":[],"user_mentions":[{"id_str":"1608889092733042689","name":"えむさん","screen_name":"Ms_mo0","indices":[210,217]}]},"favorite_count":23,"favorited":false,"full_text":"وفقدي لمهارات التفكير العليا كون معلمي بالمرحلة الثانوية لم يُبدِ لها أي اهتمام ويكتفي بالمثال فقط لمصلحة الجميع، فأخمد تلك الشعلة، ولكن بنفس هذه الأيام بالسنة الماضية دخلت لمجموعات التيليقرام ووجدت صديقي محمد @ms_mo0 يقوم بعمل تحديات بأسئلة هندسيةٍ وأحيانا جبرية مثل هذه بتويتر.","in_reply_to_screen_name":"da_vinci70","in_reply_to_status_id_str":"1272541124918423555","in_reply_to_user_id_str":"1121416643538817024","is_quote_status":false,"lang":"ar","quote_count":0,"reply_count":2,"retweet_count":3,"retweeted":false,"user_id_str":"1121416643538817024","id_str":"1272541128848523267","id":"1272541128848523267"},{"bookmark_count":1,"bookmarked":false,"created_at":"Mon Aug 30 08:21:06 +0000 2021","conversation_id_str":"1432257054719234048","display_text_range":[0,11],"entities":{"hashtags":[],"media":[{"display_url":"pic.x.com/0wfFAZ7Fwy","expanded_url":"https://x.com/da_vinci70/status/1432257054719234048/photo/1","id_str":"1432257051909050368","indices":[12,35],"media_key":"3_1432257051909050368","media_url_https":"https://pbs.twimg.com/media/E-BmM0YWUAA1yq1.jpg","type":"photo","url":"https://t.co/0wfFAZ7Fwy","ext_media_availability":{"status":"Available"},"features":{"large":{"faces":[]},"medium":{"faces":[]},"small":{"faces":[]},"orig":{"faces":[]}},"sizes":{"large":{"h":775,"w":720,"resize":"fit"},"medium":{"h":775,"w":720,"resize":"fit"},"small":{"h":680,"w":632,"resize":"fit"},"thumb":{"h":150,"w":150,"resize":"crop"}},"original_info":{"height":775,"width":720,"focus_rects":[{"x":0,"y":89,"w":720,"h":403},{"x":0,"y":0,"w":720,"h":720},{"x":40,"y":0,"w":680,"h":775},{"x":332,"y":0,"w":388,"h":775},{"x":0,"y":0,"w":720,"h":775}]},"media_results":{"result":{"media_key":"3_1432257051909050368"}}}],"symbols":[],"timestamps":[],"urls":[],"user_mentions":[]},"extended_entities":{"media":[{"display_url":"pic.x.com/0wfFAZ7Fwy","expanded_url":"https://x.com/da_vinci70/status/1432257054719234048/photo/1","id_str":"1432257051909050368","indices":[12,35],"media_key":"3_1432257051909050368","media_url_https":"https://pbs.twimg.com/media/E-BmM0YWUAA1yq1.jpg","type":"photo","url":"https://t.co/0wfFAZ7Fwy","ext_media_availability":{"status":"Available"},"features":{"large":{"faces":[]},"medium":{"faces":[]},"small":{"faces":[]},"orig":{"faces":[]}},"sizes":{"large":{"h":775,"w":720,"resize":"fit"},"medium":{"h":775,"w":720,"resize":"fit"},"small":{"h":680,"w":632,"resize":"fit"},"thumb":{"h":150,"w":150,"resize":"crop"}},"original_info":{"height":775,"width":720,"focus_rects":[{"x":0,"y":89,"w":720,"h":403},{"x":0,"y":0,"w":720,"h":720},{"x":40,"y":0,"w":680,"h":775},{"x":332,"y":0,"w":388,"h":775},{"x":0,"y":0,"w":720,"h":775}]},"media_results":{"result":{"media_key":"3_1432257051909050368"}}}]},"favorite_count":22,"favorited":false,"full_text":"وصرنا 19🥳🥳🥳 https://t.co/0wfFAZ7Fwy","is_quote_status":false,"lang":"ar","possibly_sensitive":false,"possibly_sensitive_editable":true,"quote_count":1,"reply_count":26,"retweet_count":0,"retweeted":false,"user_id_str":"1121416643538817024","id_str":"1432257054719234048","id":"1432257054719234048"},{"bookmark_count":7,"bookmarked":false,"created_at":"Wed Aug 28 10:16:05 +0000 2024","conversation_id_str":"1828500631835103339","display_text_range":[10,290],"entities":{"hashtags":[],"symbols":[],"timestamps":[],"urls":[],"user_mentions":[{"id_str":"1123804346536353793","name":"Gravity 𒉭","screen_name":"Arcuonia","indices":[0,9]}]},"favorite_count":24,"favorited":false,"full_text":"@Arcuonia الصورة ذي غير صحيحة ومجرد هبد من اللي كتبها ونشرها غير أن الدول اللي لغتها الرسمية الإنجليزية كثيرة ومن ضمنهم الدول اللي كانت تحت الاستعمار لفترة طويلة فهذا يعني عندك 88 دولة تستعمل اللغة الانجليزية واللي هي بالأساس لغة العلم وهذا يختلف تماما عن لو كانت لغتهم مختلفة عن الانجليزية","in_reply_to_screen_name":"Arcuonia","in_reply_to_status_id_str":"1828500631835103339","in_reply_to_user_id_str":"1123804346536353793","is_quote_status":false,"lang":"ar","quote_count":0,"reply_count":1,"retweet_count":1,"retweeted":false,"user_id_str":"1121416643538817024","id_str":"1828738315308122193","id":"1828738315308122193"},{"bookmark_count":1,"bookmarked":false,"created_at":"Mon Jun 15 14:47:07 +0000 2020","conversation_id_str":"1272541050905792512","display_text_range":[0,191],"entities":{"hashtags":[],"symbols":[],"timestamps":[],"urls":[],"user_mentions":[]},"favorite_count":21,"favorited":false,"full_text":"5) اطلاعك على حلول الآخرين المختلفة مفيدة جدا، فقد تتعلم الكثير مما لا تجده بين طيات الكتب، ويضيف لخبرتك الكثير بوقت قصير جدا، وحسابات الرياضيين بتويتر عديدة استغل هذه الفرصة وتعلم من حلولهم.","in_reply_to_screen_name":"da_vinci70","in_reply_to_status_id_str":"1272541145130819584","in_reply_to_user_id_str":"1121416643538817024","is_quote_status":false,"lang":"ar","quote_count":0,"reply_count":1,"retweet_count":3,"retweeted":false,"user_id_str":"1121416643538817024","id_str":"1272541148859465730","id":"1272541148859465730"},{"bookmark_count":0,"bookmarked":false,"created_at":"Thu Jul 30 22:31:09 +0000 2020","conversation_id_str":"1288965381462384640","display_text_range":[0,38],"entities":{"hashtags":[],"symbols":[],"timestamps":[],"urls":[],"user_mentions":[]},"favorite_count":22,"favorited":false,"full_text":"كل عام وانتم بخير وبصحة وعافية يارب❤❤❤","is_quote_status":false,"lang":"ar","quote_count":0,"reply_count":8,"retweet_count":0,"retweeted":false,"user_id_str":"1121416643538817024","id_str":"1288965381462384640","id":"1288965381462384640"},{"bookmark_count":3,"bookmarked":false,"created_at":"Sat Feb 03 20:31:13 +0000 2024","conversation_id_str":"1753878830446510198","display_text_range":[0,40],"entities":{"hashtags":[],"media":[{"display_url":"pic.x.com/xx2tkzDC8I","expanded_url":"https://x.com/da_vinci70/status/1753878830446510198/photo/1","id_str":"1753878828370259968","indices":[41,64],"media_key":"3_1753878828370259968","media_url_https":"https://pbs.twimg.com/media/GFcHgIAWcAAVVRg.jpg","type":"photo","url":"https://t.co/xx2tkzDC8I","ext_media_availability":{"status":"Available"},"features":{"large":{"faces":[{"x":887,"y":1016,"h":123,"w":123}]},"medium":{"faces":[{"x":638,"y":731,"h":88,"w":88}]},"small":{"faces":[{"x":362,"y":415,"h":50,"w":50}]},"orig":{"faces":[{"x":887,"y":1016,"h":123,"w":123}]}},"sizes":{"large":{"h":1665,"w":1037,"resize":"fit"},"medium":{"h":1200,"w":747,"resize":"fit"},"small":{"h":680,"w":424,"resize":"fit"},"thumb":{"h":150,"w":150,"resize":"crop"}},"original_info":{"height":1665,"width":1037,"focus_rects":[{"x":0,"y":667,"w":1037,"h":581},{"x":0,"y":439,"w":1037,"h":1037},{"x":0,"y":366,"w":1037,"h":1182},{"x":204,"y":0,"w":833,"h":1665},{"x":0,"y":0,"w":1037,"h":1665}]},"media_results":{"result":{"media_key":"3_1753878828370259968"}}}],"symbols":[],"timestamps":[],"urls":[],"user_mentions":[]},"extended_entities":{"media":[{"display_url":"pic.x.com/xx2tkzDC8I","expanded_url":"https://x.com/da_vinci70/status/1753878830446510198/photo/1","id_str":"1753878828370259968","indices":[41,64],"media_key":"3_1753878828370259968","media_url_https":"https://pbs.twimg.com/media/GFcHgIAWcAAVVRg.jpg","type":"photo","url":"https://t.co/xx2tkzDC8I","ext_media_availability":{"status":"Available"},"features":{"large":{"faces":[{"x":887,"y":1016,"h":123,"w":123}]},"medium":{"faces":[{"x":638,"y":731,"h":88,"w":88}]},"small":{"faces":[{"x":362,"y":415,"h":50,"w":50}]},"orig":{"faces":[{"x":887,"y":1016,"h":123,"w":123}]}},"sizes":{"large":{"h":1665,"w":1037,"resize":"fit"},"medium":{"h":1200,"w":747,"resize":"fit"},"small":{"h":680,"w":424,"resize":"fit"},"thumb":{"h":150,"w":150,"resize":"crop"}},"original_info":{"height":1665,"width":1037,"focus_rects":[{"x":0,"y":667,"w":1037,"h":581},{"x":0,"y":439,"w":1037,"h":1037},{"x":0,"y":366,"w":1037,"h":1182},{"x":204,"y":0,"w":833,"h":1665},{"x":0,"y":0,"w":1037,"h":1665}]},"media_results":{"result":{"media_key":"3_1753878828370259968"}}}]},"favorite_count":22,"favorited":false,"full_text":"قيد العمل.. ان شاءالله اقدر اخلصها قريبا https://t.co/xx2tkzDC8I","is_quote_status":false,"lang":"ar","possibly_sensitive":false,"possibly_sensitive_editable":true,"quote_count":1,"reply_count":4,"retweet_count":1,"retweeted":false,"user_id_str":"1121416643538817024","id_str":"1753878830446510198","id":"1753878830446510198"},{"bookmark_count":0,"bookmarked":false,"created_at":"Mon Oct 11 12:19:54 +0000 2021","conversation_id_str":"1447537440349204481","display_text_range":[0,13],"entities":{"hashtags":[],"symbols":[],"timestamps":[],"urls":[],"user_mentions":[]},"favorite_count":21,"favorited":false,"full_text":"Hello, World!","is_quote_status":false,"lang":"en","quote_count":0,"reply_count":1,"retweet_count":1,"retweeted":false,"user_id_str":"1121416643538817024","id_str":"1447537440349204481","id":"1447537440349204481"},{"bookmark_count":1,"bookmarked":false,"created_at":"Wed Sep 06 06:38:36 +0000 2023","conversation_id_str":"1699311114847203346","display_text_range":[0,151],"entities":{"hashtags":[],"symbols":[],"timestamps":[],"urls":[],"user_mentions":[]},"favorite_count":21,"favorited":false,"full_text":"إنا لله وإنا إليه راجعون\nبقلوب مؤمنة بقضاء الله وقدره\nانتقل إلى رحمة الله تعالى خالي خالد بن محمد الشريف \nاسأل الله أن يغفر له ويرحمه ويسكنه فسيح جناته","is_quote_status":false,"lang":"ar","quote_count":0,"reply_count":46,"retweet_count":6,"retweeted":false,"user_id_str":"1121416643538817024","id_str":"1699311114847203346","id":"1699311114847203346"},{"bookmark_count":13,"bookmarked":false,"created_at":"Wed Jan 17 21:22:49 +0000 2024","conversation_id_str":"1747731221679943884","display_text_range":[0,197],"entities":{"hashtags":[],"symbols":[],"timestamps":[],"urls":[],"user_mentions":[]},"favorite_count":22,"favorited":false,"full_text":"فريق DeepMind بقوقل قدر يطور نموذج ذكاء اصطناعي قادر على حل مسائل الهندسة بالIMO.\n\n المسائل الهندسية كانت تشكل صعوبة كبيرة للai من قبل، فقدرتهم فوق كذا على حل مسائل الIMO يعتبر تطور مذهل جدا صراحة!","is_quote_status":true,"lang":"ar","quote_count":0,"quoted_status_id_str":"1747654360686113191","quoted_status_permalink":{"url":"https://t.co/usicDtoo7g","expanded":"https://twitter.com/lmthang/status/1747654360686113191","display":"x.com/lmthang/status…"},"reply_count":1,"retweet_count":4,"retweeted":false,"user_id_str":"1121416643538817024","id_str":"1747731221679943884","id":"1747731221679943884"},{"bookmark_count":3,"bookmarked":false,"created_at":"Mon Jun 15 14:47:08 +0000 2020","conversation_id_str":"1272541050905792512","display_text_range":[0,197],"entities":{"hashtags":[],"symbols":[],"timestamps":[],"urls":[],"user_mentions":[]},"favorite_count":20,"favorited":false,"full_text":"6) كما ذكرت سابقا من قصة تعرضي للرياضيات عموما والهندسة خصوصا أهمية \"الفهم\"، فكون الافكار والمفاهيم لا تُفهم جيدا ولا يتم معرفة طرق إيجادها وكيف استطاعوا إثباتها سيخل بتعلمك ولن تستطيع التطور أبدا.","in_reply_to_screen_name":"da_vinci70","in_reply_to_status_id_str":"1272541148859465730","in_reply_to_user_id_str":"1121416643538817024","is_quote_status":false,"lang":"ar","quote_count":0,"reply_count":1,"retweet_count":2,"retweeted":false,"user_id_str":"1121416643538817024","id_str":"1272541152647041024","id":"1272541152647041024"},{"bookmark_count":3,"bookmarked":false,"created_at":"Mon Jun 15 14:46:54 +0000 2020","conversation_id_str":"1272541050905792512","display_text_range":[0,245],"entities":{"hashtags":[],"symbols":[],"timestamps":[],"urls":[],"user_mentions":[]},"favorite_count":22,"favorited":false,"full_text":"فقط قمت بالبحث والمحاولة بالحل مرة تلو الاخرى إلى أن وصلت إلى هذا المستوى - بحمدالله -، وهو ليس بمستوى احتراف ولا حتى خبير فخبرتي مع الرياضيات أقصر بكثير من أن تسمى خبرة، ولكن رغم ذلك سأحاول سرد جميع النقاط والمصادر التي أعرفها لعلها تنفع البعض.","in_reply_to_screen_name":"da_vinci70","in_reply_to_status_id_str":"1272541084661551108","in_reply_to_user_id_str":"1121416643538817024","is_quote_status":false,"lang":"ar","quote_count":0,"reply_count":2,"retweet_count":5,"retweeted":false,"user_id_str":"1121416643538817024","id_str":"1272541094790692864","id":"1272541094790692864"},{"bookmark_count":3,"bookmarked":false,"created_at":"Sun May 07 10:50:21 +0000 2023","conversation_id_str":"1654719301356597256","display_text_range":[11,287],"entities":{"hashtags":[],"media":[{"display_url":"pic.x.com/9peCSpmmkF","expanded_url":"https://x.com/da_vinci70/status/1655163152894509057/photo/1","id_str":"1655163144036130816","indices":[288,311],"media_key":"3_1655163144036130816","media_url_https":"https://pbs.twimg.com/media/FvhSHC2XoAABJxC.jpg","type":"photo","url":"https://t.co/9peCSpmmkF","ext_media_availability":{"status":"Available"},"features":{"large":{"faces":[{"x":334,"y":446,"h":106,"w":106}]},"medium":{"faces":[{"x":334,"y":446,"h":106,"w":106}]},"small":{"faces":[{"x":315,"y":421,"h":100,"w":100}]},"orig":{"faces":[{"x":334,"y":446,"h":106,"w":106}]}},"sizes":{"large":{"h":618,"w":720,"resize":"fit"},"medium":{"h":618,"w":720,"resize":"fit"},"small":{"h":584,"w":680,"resize":"fit"},"thumb":{"h":150,"w":150,"resize":"crop"}},"original_info":{"height":618,"width":720,"focus_rects":[{"x":0,"y":215,"w":720,"h":403},{"x":0,"y":0,"w":618,"h":618},{"x":0,"y":0,"w":542,"h":618},{"x":0,"y":0,"w":309,"h":618},{"x":0,"y":0,"w":720,"h":618}]},"media_results":{"result":{"media_key":"3_1655163144036130816"}}},{"display_url":"pic.x.com/9peCSpmmkF","expanded_url":"https://x.com/da_vinci70/status/1655163152894509057/photo/1","id_str":"1655163146208698371","indices":[288,311],"media_key":"3_1655163146208698371","media_url_https":"https://pbs.twimg.com/media/FvhSHK8WYAMO0TJ.jpg","type":"photo","url":"https://t.co/9peCSpmmkF","ext_media_availability":{"status":"Available"},"features":{"large":{"faces":[]},"medium":{"faces":[]},"small":{"faces":[]},"orig":{"faces":[]}},"sizes":{"large":{"h":644,"w":720,"resize":"fit"},"medium":{"h":644,"w":720,"resize":"fit"},"small":{"h":608,"w":680,"resize":"fit"},"thumb":{"h":150,"w":150,"resize":"crop"}},"original_info":{"height":644,"width":720,"focus_rects":[{"x":0,"y":177,"w":720,"h":403},{"x":76,"y":0,"w":644,"h":644},{"x":155,"y":0,"w":565,"h":644},{"x":325,"y":0,"w":322,"h":644},{"x":0,"y":0,"w":720,"h":644}]},"media_results":{"result":{"media_key":"3_1655163146208698371"}}},{"display_url":"pic.x.com/9peCSpmmkF","expanded_url":"https://x.com/da_vinci70/status/1655163152894509057/photo/1","id_str":"1655163148360380422","indices":[288,311],"media_key":"3_1655163148360380422","media_url_https":"https://pbs.twimg.com/media/FvhSHS9WcAYy9F3.jpg","type":"photo","url":"https://t.co/9peCSpmmkF","ext_media_availability":{"status":"Available"},"features":{"large":{"faces":[]},"medium":{"faces":[]},"small":{"faces":[]},"orig":{"faces":[]}},"sizes":{"large":{"h":608,"w":720,"resize":"fit"},"medium":{"h":608,"w":720,"resize":"fit"},"small":{"h":574,"w":680,"resize":"fit"},"thumb":{"h":150,"w":150,"resize":"crop"}},"original_info":{"height":608,"width":720,"focus_rects":[{"x":0,"y":177,"w":720,"h":403},{"x":112,"y":0,"w":608,"h":608},{"x":187,"y":0,"w":533,"h":608},{"x":334,"y":0,"w":304,"h":608},{"x":0,"y":0,"w":720,"h":608}]},"media_results":{"result":{"media_key":"3_1655163148360380422"}}},{"display_url":"pic.x.com/9peCSpmmkF","expanded_url":"https://x.com/da_vinci70/status/1655163152894509057/photo/1","id_str":"1655163150738571264","indices":[288,311],"media_key":"3_1655163150738571264","media_url_https":"https://pbs.twimg.com/media/FvhSHb0WwAAQocj.jpg","type":"photo","url":"https://t.co/9peCSpmmkF","ext_media_availability":{"status":"Available"},"features":{"large":{"faces":[]},"medium":{"faces":[]},"small":{"faces":[]},"orig":{"faces":[]}},"sizes":{"large":{"h":922,"w":720,"resize":"fit"},"medium":{"h":922,"w":720,"resize":"fit"},"small":{"h":680,"w":531,"resize":"fit"},"thumb":{"h":150,"w":150,"resize":"crop"}},"original_info":{"height":922,"width":720,"focus_rects":[{"x":0,"y":98,"w":720,"h":403},{"x":0,"y":0,"w":720,"h":720},{"x":0,"y":0,"w":720,"h":821},{"x":23,"y":0,"w":461,"h":922},{"x":0,"y":0,"w":720,"h":922}]},"media_results":{"result":{"media_key":"3_1655163150738571264"}}}],"symbols":[],"timestamps":[],"urls":[],"user_mentions":[{"id_str":"360196308","name":"أ.د.عبد الله الجوعي","screen_name":"joa111111","indices":[0,10]}]},"extended_entities":{"media":[{"display_url":"pic.x.com/9peCSpmmkF","expanded_url":"https://x.com/da_vinci70/status/1655163152894509057/photo/1","id_str":"1655163144036130816","indices":[288,311],"media_key":"3_1655163144036130816","media_url_https":"https://pbs.twimg.com/media/FvhSHC2XoAABJxC.jpg","type":"photo","url":"https://t.co/9peCSpmmkF","ext_media_availability":{"status":"Available"},"features":{"large":{"faces":[{"x":334,"y":446,"h":106,"w":106}]},"medium":{"faces":[{"x":334,"y":446,"h":106,"w":106}]},"small":{"faces":[{"x":315,"y":421,"h":100,"w":100}]},"orig":{"faces":[{"x":334,"y":446,"h":106,"w":106}]}},"sizes":{"large":{"h":618,"w":720,"resize":"fit"},"medium":{"h":618,"w":720,"resize":"fit"},"small":{"h":584,"w":680,"resize":"fit"},"thumb":{"h":150,"w":150,"resize":"crop"}},"original_info":{"height":618,"width":720,"focus_rects":[{"x":0,"y":215,"w":720,"h":403},{"x":0,"y":0,"w":618,"h":618},{"x":0,"y":0,"w":542,"h":618},{"x":0,"y":0,"w":309,"h":618},{"x":0,"y":0,"w":720,"h":618}]},"media_results":{"result":{"media_key":"3_1655163144036130816"}}},{"display_url":"pic.x.com/9peCSpmmkF","expanded_url":"https://x.com/da_vinci70/status/1655163152894509057/photo/1","id_str":"1655163146208698371","indices":[288,311],"media_key":"3_1655163146208698371","media_url_https":"https://pbs.twimg.com/media/FvhSHK8WYAMO0TJ.jpg","type":"photo","url":"https://t.co/9peCSpmmkF","ext_media_availability":{"status":"Available"},"features":{"large":{"faces":[]},"medium":{"faces":[]},"small":{"faces":[]},"orig":{"faces":[]}},"sizes":{"large":{"h":644,"w":720,"resize":"fit"},"medium":{"h":644,"w":720,"resize":"fit"},"small":{"h":608,"w":680,"resize":"fit"},"thumb":{"h":150,"w":150,"resize":"crop"}},"original_info":{"height":644,"width":720,"focus_rects":[{"x":0,"y":177,"w":720,"h":403},{"x":76,"y":0,"w":644,"h":644},{"x":155,"y":0,"w":565,"h":644},{"x":325,"y":0,"w":322,"h":644},{"x":0,"y":0,"w":720,"h":644}]},"media_results":{"result":{"media_key":"3_1655163146208698371"}}},{"display_url":"pic.x.com/9peCSpmmkF","expanded_url":"https://x.com/da_vinci70/status/1655163152894509057/photo/1","id_str":"1655163148360380422","indices":[288,311],"media_key":"3_1655163148360380422","media_url_https":"https://pbs.twimg.com/media/FvhSHS9WcAYy9F3.jpg","type":"photo","url":"https://t.co/9peCSpmmkF","ext_media_availability":{"status":"Available"},"features":{"large":{"faces":[]},"medium":{"faces":[]},"small":{"faces":[]},"orig":{"faces":[]}},"sizes":{"large":{"h":608,"w":720,"resize":"fit"},"medium":{"h":608,"w":720,"resize":"fit"},"small":{"h":574,"w":680,"resize":"fit"},"thumb":{"h":150,"w":150,"resize":"crop"}},"original_info":{"height":608,"width":720,"focus_rects":[{"x":0,"y":177,"w":720,"h":403},{"x":112,"y":0,"w":608,"h":608},{"x":187,"y":0,"w":533,"h":608},{"x":334,"y":0,"w":304,"h":608},{"x":0,"y":0,"w":720,"h":608}]},"media_results":{"result":{"media_key":"3_1655163148360380422"}}},{"display_url":"pic.x.com/9peCSpmmkF","expanded_url":"https://x.com/da_vinci70/status/1655163152894509057/photo/1","id_str":"1655163150738571264","indices":[288,311],"media_key":"3_1655163150738571264","media_url_https":"https://pbs.twimg.com/media/FvhSHb0WwAAQocj.jpg","type":"photo","url":"https://t.co/9peCSpmmkF","ext_media_availability":{"status":"Available"},"features":{"large":{"faces":[]},"medium":{"faces":[]},"small":{"faces":[]},"orig":{"faces":[]}},"sizes":{"large":{"h":922,"w":720,"resize":"fit"},"medium":{"h":922,"w":720,"resize":"fit"},"small":{"h":680,"w":531,"resize":"fit"},"thumb":{"h":150,"w":150,"resize":"crop"}},"original_info":{"height":922,"width":720,"focus_rects":[{"x":0,"y":98,"w":720,"h":403},{"x":0,"y":0,"w":720,"h":720},{"x":0,"y":0,"w":720,"h":821},{"x":23,"y":0,"w":461,"h":922},{"x":0,"y":0,"w":720,"h":922}]},"media_results":{"result":{"media_key":"3_1655163150738571264"}}}]},"favorite_count":20,"favorited":false,"full_text":"@joa111111 محاولة هندسية لحل السؤال،\nنقوم بعمل انعكاس حول نقطة الاصل لα لنصل ل-α ومن ثم نضيف 1، نعمل نفس الشيء مع البقية.\n\nالان نقوم بعمل انعكاس/انقلاب للعدد حول الدائرة inversion مما يساعدنا بالحصول على \n1/(1-z) \nوبسبب التناظر الموجود بين العدد المركب ومرافقه فيكفي ايجاد مكان عددين فقط https://t.co/9peCSpmmkF","in_reply_to_screen_name":"joa111111","in_reply_to_status_id_str":"1654719301356597256","in_reply_to_user_id_str":"360196308","is_quote_status":false,"lang":"ar","possibly_sensitive":false,"possibly_sensitive_editable":true,"quote_count":0,"reply_count":2,"retweet_count":2,"retweeted":false,"user_id_str":"1121416643538817024","id_str":"1655163152894509057","id":"1655163152894509057"},{"bookmark_count":0,"bookmarked":false,"created_at":"Wed Apr 10 09:28:00 +0000 2024","conversation_id_str":"1777991914291130678","display_text_range":[0,28],"entities":{"hashtags":[],"symbols":[],"timestamps":[],"urls":[],"user_mentions":[]},"favorite_count":21,"favorited":false,"full_text":"كل عام والجميع بكل خير يارب🤍","is_quote_status":false,"lang":"ar","quote_count":0,"reply_count":4,"retweet_count":0,"retweeted":false,"user_id_str":"1121416643538817024","id_str":"1777991914291130678","id":"1777991914291130678"},{"bookmark_count":1,"bookmarked":false,"created_at":"Tue Jul 20 16:52:37 +0000 2021","conversation_id_str":"1417527877676027908","display_text_range":[0,26],"entities":{"hashtags":[],"symbols":[],"timestamps":[],"urls":[],"user_mentions":[]},"favorite_count":21,"favorited":false,"full_text":"كل عام والجميع بكل خيرر🥳💛💛","is_quote_status":false,"lang":"ar","quote_count":0,"reply_count":8,"retweet_count":0,"retweeted":false,"user_id_str":"1121416643538817024","id_str":"1417527877676027908","id":"1417527877676027908"},{"bookmark_count":1,"bookmarked":false,"created_at":"Mon Jun 15 14:47:09 +0000 2020","conversation_id_str":"1272541050905792512","display_text_range":[0,169],"entities":{"hashtags":[],"symbols":[],"timestamps":[],"urls":[],"user_mentions":[]},"favorite_count":20,"favorited":false,"full_text":"نبدأ بالاقسام المتقدمة عن تلك التي بالمناهج الدراسية والتي تصلح للإعداد لأولمبياد الرياضيات أو حتى حل الاسئلة اللامنهجية مثل تلك التي بتويتر (بالتدريج من حيث المستويات).","in_reply_to_screen_name":"da_vinci70","in_reply_to_status_id_str":"1272541152647041024","in_reply_to_user_id_str":"1121416643538817024","is_quote_status":false,"lang":"ar","quote_count":1,"reply_count":1,"retweet_count":4,"retweeted":false,"user_id_str":"1121416643538817024","id_str":"1272541157290135553","id":"1272541157290135553"},{"bookmark_count":2,"bookmarked":false,"created_at":"Mon Jun 15 14:46:49 +0000 2020","conversation_id_str":"1272541050905792512","display_text_range":[0,279],"entities":{"hashtags":[],"symbols":[],"timestamps":[],"urls":[{"display_url":"x.com/da_vinci70/sta…","expanded_url":"https://x.com/da_vinci70/status/1239612872256339968?s=20","url":"https://t.co/x8f9c58X6l","indices":[172,195]}],"user_mentions":[]},"favorite_count":21,"favorited":false,"full_text":"والحلول بحسابي في الصور أو media كثيرة وبطرق متعددة والاسئلة المحلولة مختلفة أيضا، تستطيع الإطلاع عليها متى ما أردت، وهذا ليس بغرض الغرور والاستعراض وإنما لغرض هذا الثريد.\nhttps://t.co/x8f9c58X6l\n(هذا سؤال قمت بصنعه قد يكون به خطأ بسيط مما يؤدي لاختلاف الناتج ولكن الفكرة واحدة).","in_reply_to_screen_name":"da_vinci70","in_reply_to_status_id_str":"1272541055146172416","in_reply_to_user_id_str":"1121416643538817024","is_quote_status":true,"lang":"ar","possibly_sensitive":false,"possibly_sensitive_editable":true,"quote_count":0,"quoted_status_id_str":"1239612872256339968","quoted_status_permalink":{"url":"https://t.co/x8f9c58X6l","expanded":"https://twitter.com/da_vinci70/status/1239612872256339968?s=20","display":"x.com/da_vinci70/sta…"},"reply_count":2,"retweet_count":2,"retweeted":false,"user_id_str":"1121416643538817024","id_str":"1272541073714417665","id":"1272541073714417665"},{"bookmark_count":17,"bookmarked":false,"created_at":"Fri Aug 21 14:44:59 +0000 2020","conversation_id_str":"1296820601789849601","display_text_range":[0,255],"entities":{"hashtags":[],"symbols":[],"timestamps":[],"urls":[{"display_url":"curiouscat.qa/da_vinci70/pos…","expanded_url":"https://curiouscat.qa/da_vinci70/post/1132907809","url":"https://t.co/KfKBhho0t4","indices":[232,255]}],"user_mentions":[]},"favorite_count":16,"favorited":false,"full_text":"كيف تعلمت البرمجة ! — طبعا يختلف من لغة للغة ولكن غالبا اعتمد ع ٤ اشياء، مواقع مثل codeacademy او w3school وغيرها + فيديوهات يوتيوب مثل freecodecamp + كتب عن اللغة نفسها مرات اخذ من سلسلة for dummies او crash course + اطبق مشاريع … https://t.co/KfKBhho0t4","is_quote_status":false,"lang":"ar","possibly_sensitive":false,"possibly_sensitive_editable":true,"quote_count":0,"reply_count":2,"retweet_count":1,"retweeted":false,"user_id_str":"1121416643538817024","id_str":"1296820601789849601","id":"1296820601789849601"},{"bookmark_count":30,"bookmarked":false,"created_at":"Tue Jun 29 21:58:15 +0000 2021","conversation_id_str":"1409994648123318275","display_text_range":[0,243],"entities":{"hashtags":[],"symbols":[],"timestamps":[],"urls":[{"display_url":"curiouscat.qa/da_vinci70/pos…","expanded_url":"https://curiouscat.qa/da_vinci70/post/1221350464","url":"https://t.co/aXOqWIVYsb","indices":[220,243]}],"user_mentions":[]},"favorite_count":15,"favorited":false,"full_text":"ابي استفيد من ما تبقى من الاجازه بمذاكرة الايلتس ايش ممكن يفيدني ؟ — سبيكنق عندك قناة english speaking success \nورايتنق عندك English Liz\nوباقي الاشياء اقرا كتاب حجازي وتابع قناته باليوتيوب\nوتدرب ع اختبارات تجريبية كثير… https://t.co/aXOqWIVYsb","is_quote_status":false,"lang":"ar","possibly_sensitive":false,"possibly_sensitive_editable":true,"quote_count":0,"reply_count":0,"retweet_count":0,"retweeted":false,"user_id_str":"1121416643538817024","id_str":"1409994648123318275","id":"1409994648123318275"},{"bookmark_count":18,"bookmarked":false,"created_at":"Sat Jun 20 12:12:22 +0000 2020","conversation_id_str":"1274314147103195137","display_text_range":[0,270],"entities":{"hashtags":[],"media":[{"display_url":"pic.x.com/HGUKFC2IY8","expanded_url":"https://x.com/da_vinci70/status/1274314147103195137/photo/1","id_str":"1274314125448003589","indices":[271,294],"media_key":"3_1274314125448003589","media_url_https":"https://pbs.twimg.com/media/Ea9F8guXQAUEgue.jpg","type":"photo","url":"https://t.co/HGUKFC2IY8","ext_media_availability":{"status":"Available"},"features":{"large":{"faces":[]},"medium":{"faces":[]},"small":{"faces":[]},"orig":{"faces":[]}},"sizes":{"large":{"h":349,"w":720,"resize":"fit"},"medium":{"h":349,"w":720,"resize":"fit"},"small":{"h":330,"w":680,"resize":"fit"},"thumb":{"h":150,"w":150,"resize":"crop"}},"original_info":{"height":349,"width":720,"focus_rects":[{"x":0,"y":0,"w":623,"h":349},{"x":0,"y":0,"w":349,"h":349},{"x":9,"y":0,"w":306,"h":349},{"x":75,"y":0,"w":175,"h":349},{"x":0,"y":0,"w":720,"h":349}]},"media_results":{"result":{"media_key":"3_1274314125448003589"}}},{"display_url":"pic.x.com/HGUKFC2IY8","expanded_url":"https://x.com/da_vinci70/status/1274314147103195137/photo/1","id_str":"1274314143940718592","indices":[271,294],"media_key":"3_1274314143940718592","media_url_https":"https://pbs.twimg.com/media/Ea9F9lnXsAAOep6.jpg","type":"photo","url":"https://t.co/HGUKFC2IY8","ext_media_availability":{"status":"Available"},"features":{"large":{"faces":[{"x":5,"y":216,"h":36,"w":36},{"x":32,"y":207,"h":53,"w":53}]},"medium":{"faces":[{"x":5,"y":216,"h":36,"w":36},{"x":32,"y":207,"h":53,"w":53}]},"small":{"faces":[{"x":5,"y":216,"h":36,"w":36},{"x":32,"y":207,"h":53,"w":53}]},"orig":{"faces":[{"x":5,"y":216,"h":36,"w":36},{"x":32,"y":207,"h":53,"w":53}]}},"sizes":{"large":{"h":516,"w":522,"resize":"fit"},"medium":{"h":516,"w":522,"resize":"fit"},"small":{"h":516,"w":522,"resize":"fit"},"thumb":{"h":150,"w":150,"resize":"crop"}},"original_info":{"height":516,"width":522,"focus_rects":[{"x":0,"y":0,"w":522,"h":292},{"x":0,"y":0,"w":516,"h":516},{"x":0,"y":0,"w":453,"h":516},{"x":40,"y":0,"w":258,"h":516},{"x":0,"y":0,"w":522,"h":516}]},"media_results":{"result":{"media_key":"3_1274314143940718592"}}}],"symbols":[],"timestamps":[],"urls":[],"user_mentions":[]},"extended_entities":{"media":[{"display_url":"pic.x.com/HGUKFC2IY8","expanded_url":"https://x.com/da_vinci70/status/1274314147103195137/photo/1","id_str":"1274314125448003589","indices":[271,294],"media_key":"3_1274314125448003589","media_url_https":"https://pbs.twimg.com/media/Ea9F8guXQAUEgue.jpg","type":"photo","url":"https://t.co/HGUKFC2IY8","ext_media_availability":{"status":"Available"},"features":{"large":{"faces":[]},"medium":{"faces":[]},"small":{"faces":[]},"orig":{"faces":[]}},"sizes":{"large":{"h":349,"w":720,"resize":"fit"},"medium":{"h":349,"w":720,"resize":"fit"},"small":{"h":330,"w":680,"resize":"fit"},"thumb":{"h":150,"w":150,"resize":"crop"}},"original_info":{"height":349,"width":720,"focus_rects":[{"x":0,"y":0,"w":623,"h":349},{"x":0,"y":0,"w":349,"h":349},{"x":9,"y":0,"w":306,"h":349},{"x":75,"y":0,"w":175,"h":349},{"x":0,"y":0,"w":720,"h":349}]},"media_results":{"result":{"media_key":"3_1274314125448003589"}}},{"display_url":"pic.x.com/HGUKFC2IY8","expanded_url":"https://x.com/da_vinci70/status/1274314147103195137/photo/1","id_str":"1274314143940718592","indices":[271,294],"media_key":"3_1274314143940718592","media_url_https":"https://pbs.twimg.com/media/Ea9F9lnXsAAOep6.jpg","type":"photo","url":"https://t.co/HGUKFC2IY8","ext_media_availability":{"status":"Available"},"features":{"large":{"faces":[{"x":5,"y":216,"h":36,"w":36},{"x":32,"y":207,"h":53,"w":53}]},"medium":{"faces":[{"x":5,"y":216,"h":36,"w":36},{"x":32,"y":207,"h":53,"w":53}]},"small":{"faces":[{"x":5,"y":216,"h":36,"w":36},{"x":32,"y":207,"h":53,"w":53}]},"orig":{"faces":[{"x":5,"y":216,"h":36,"w":36},{"x":32,"y":207,"h":53,"w":53}]}},"sizes":{"large":{"h":516,"w":522,"resize":"fit"},"medium":{"h":516,"w":522,"resize":"fit"},"small":{"h":516,"w":522,"resize":"fit"},"thumb":{"h":150,"w":150,"resize":"crop"}},"original_info":{"height":516,"width":522,"focus_rects":[{"x":0,"y":0,"w":522,"h":292},{"x":0,"y":0,"w":516,"h":516},{"x":0,"y":0,"w":453,"h":516},{"x":40,"y":0,"w":258,"h":516},{"x":0,"y":0,"w":522,"h":516}]},"media_results":{"result":{"media_key":"3_1274314143940718592"}}}]},"favorite_count":18,"favorited":false,"full_text":"بالمتوسط واحيانا بالثانوي اذا فيه اشياء كثيرة ومهمة اسوي جدول اقسم مهامي بالتفصيل ولها وقت معين ولكن غالبا ما انظم وقت\n، هذي الكتب اللي قريتها بالصورة تحت المعظم انقلش ولكن اعتقد بتحصل ترجمة لها\np.s. : فيه بعض الكتب قريت شوي مرا منها زي محاضرات فاينمان + للمختصين غالبا https://t.co/HGUKFC2IY8","is_quote_status":false,"lang":"ar","possibly_sensitive":false,"possibly_sensitive_editable":true,"quote_count":0,"reply_count":1,"retweet_count":1,"retweeted":false,"user_id_str":"1121416643538817024","id_str":"1274314147103195137","id":"1274314147103195137"},{"bookmark_count":2,"bookmarked":false,"created_at":"Fri Mar 10 12:44:20 +0000 2023","conversation_id_str":"1633934995432566784","display_text_range":[10,236],"entities":{"hashtags":[],"media":[{"display_url":"pic.x.com/wjmhyvhIP5","expanded_url":"https://x.com/da_vinci70/status/1634173338879664128/photo/1","id_str":"1634173336031723526","indices":[237,260],"media_key":"3_1634173336031723526","media_url_https":"https://pbs.twimg.com/media/Fq2__auWAAYHnHD.jpg","type":"photo","url":"https://t.co/wjmhyvhIP5","ext_media_availability":{"status":"Available"},"features":{"large":{"faces":[]},"medium":{"faces":[]},"small":{"faces":[]},"orig":{"faces":[]}},"sizes":{"large":{"h":1520,"w":719,"resize":"fit"},"medium":{"h":1200,"w":568,"resize":"fit"},"small":{"h":680,"w":322,"resize":"fit"},"thumb":{"h":150,"w":150,"resize":"crop"}},"original_info":{"height":1520,"width":719,"focus_rects":[{"x":0,"y":977,"w":719,"h":403},{"x":0,"y":801,"w":719,"h":719},{"x":0,"y":700,"w":719,"h":820},{"x":0,"y":82,"w":719,"h":1438},{"x":0,"y":0,"w":719,"h":1520}]},"media_results":{"result":{"media_key":"3_1634173336031723526"}}}],"symbols":[],"timestamps":[],"urls":[],"user_mentions":[{"id_str":"957339162025263107","name":"سالم...... (Math)","screen_name":"MRmath99","indices":[0,9]}]},"extended_entities":{"media":[{"display_url":"pic.x.com/wjmhyvhIP5","expanded_url":"https://x.com/da_vinci70/status/1634173338879664128/photo/1","id_str":"1634173336031723526","indices":[237,260],"media_key":"3_1634173336031723526","media_url_https":"https://pbs.twimg.com/media/Fq2__auWAAYHnHD.jpg","type":"photo","url":"https://t.co/wjmhyvhIP5","ext_media_availability":{"status":"Available"},"features":{"large":{"faces":[]},"medium":{"faces":[]},"small":{"faces":[]},"orig":{"faces":[]}},"sizes":{"large":{"h":1520,"w":719,"resize":"fit"},"medium":{"h":1200,"w":568,"resize":"fit"},"small":{"h":680,"w":322,"resize":"fit"},"thumb":{"h":150,"w":150,"resize":"crop"}},"original_info":{"height":1520,"width":719,"focus_rects":[{"x":0,"y":977,"w":719,"h":403},{"x":0,"y":801,"w":719,"h":719},{"x":0,"y":700,"w":719,"h":820},{"x":0,"y":82,"w":719,"h":1438},{"x":0,"y":0,"w":719,"h":1520}]},"media_results":{"result":{"media_key":"3_1634173336031723526"}}}]},"favorite_count":20,"favorited":false,"full_text":"@MRmath99 بعمل سلسلة غير متناهية من الدوائر حتى تصبح مكان النقطة C، وملاحظة نسبة تغير طول نصف القطر بكل مرة، سوف نستطيع الحصول على طول الضلع L والذي يساوي 5\nوبالاخير نستخدم خاصية المماس وقاطع للدائرة حيث AC مماس، ونحصل على قيمة AC او k https://t.co/wjmhyvhIP5","in_reply_to_screen_name":"MRmath99","in_reply_to_status_id_str":"1633934995432566784","in_reply_to_user_id_str":"957339162025263107","is_quote_status":false,"lang":"ar","possibly_sensitive":false,"possibly_sensitive_editable":true,"quote_count":0,"reply_count":2,"retweet_count":3,"retweeted":false,"user_id_str":"1121416643538817024","id_str":"1634173338879664128","id":"1634173338879664128"},{"bookmark_count":5,"bookmarked":false,"created_at":"Fri Aug 28 21:10:20 +0000 2020","conversation_id_str":"1299454290495516672","display_text_range":[0,51],"entities":{"hashtags":[],"media":[{"display_url":"pic.x.com/G6O4CRcks2","expanded_url":"https://x.com/da_vinci70/status/1299454290495516672/photo/1","id_str":"1299454285042900997","indices":[52,75],"media_key":"3_1299454285042900997","media_url_https":"https://pbs.twimg.com/media/EgiWyZXXYAUIHHr.jpg","type":"photo","url":"https://t.co/G6O4CRcks2","ext_media_availability":{"status":"Available"},"features":{"large":{"faces":[]},"medium":{"faces":[]},"small":{"faces":[]},"orig":{"faces":[]}},"sizes":{"large":{"h":2048,"w":1004,"resize":"fit"},"medium":{"h":1200,"w":588,"resize":"fit"},"small":{"h":680,"w":333,"resize":"fit"},"thumb":{"h":150,"w":150,"resize":"crop"}},"original_info":{"height":2203,"width":1080,"focus_rects":[{"x":0,"y":1403,"w":1080,"h":605},{"x":0,"y":1123,"w":1080,"h":1080},{"x":0,"y":972,"w":1080,"h":1231},{"x":0,"y":43,"w":1080,"h":2160},{"x":0,"y":0,"w":1080,"h":2203}]},"media_results":{"result":{"media_key":"3_1299454285042900997"}}}],"symbols":[],"timestamps":[],"urls":[],"user_mentions":[]},"extended_entities":{"media":[{"display_url":"pic.x.com/G6O4CRcks2","expanded_url":"https://x.com/da_vinci70/status/1299454290495516672/photo/1","id_str":"1299454285042900997","indices":[52,75],"media_key":"3_1299454285042900997","media_url_https":"https://pbs.twimg.com/media/EgiWyZXXYAUIHHr.jpg","type":"photo","url":"https://t.co/G6O4CRcks2","ext_media_availability":{"status":"Available"},"features":{"large":{"faces":[]},"medium":{"faces":[]},"small":{"faces":[]},"orig":{"faces":[]}},"sizes":{"large":{"h":2048,"w":1004,"resize":"fit"},"medium":{"h":1200,"w":588,"resize":"fit"},"small":{"h":680,"w":333,"resize":"fit"},"thumb":{"h":150,"w":150,"resize":"crop"}},"original_info":{"height":2203,"width":1080,"focus_rects":[{"x":0,"y":1403,"w":1080,"h":605},{"x":0,"y":1123,"w":1080,"h":1080},{"x":0,"y":972,"w":1080,"h":1231},{"x":0,"y":43,"w":1080,"h":2160},{"x":0,"y":0,"w":1080,"h":2203}]},"media_results":{"result":{"media_key":"3_1299454285042900997"}}}]},"favorite_count":17,"favorited":false,"full_text":"Birthday boy🥳🥳, and finally \n offiiciaallyy\nI'm 18! https://t.co/G6O4CRcks2","is_quote_status":false,"lang":"en","possibly_sensitive":false,"possibly_sensitive_editable":true,"quote_count":0,"reply_count":25,"retweet_count":0,"retweeted":false,"user_id_str":"1121416643538817024","id_str":"1299454290495516672","id":"1299454290495516672"},{"bookmark_count":0,"bookmarked":false,"created_at":"Mon Jun 15 14:47:03 +0000 2020","conversation_id_str":"1272541050905792512","display_text_range":[0,273],"entities":{"hashtags":[],"symbols":[],"timestamps":[],"urls":[],"user_mentions":[]},"favorite_count":19,"favorited":false,"full_text":"وأعجبني الأمر حينها كون تلك الاسئلة جديدة علي ومختلفة عن تلك التي بالمناهج بتصميمها غير مباشرة بالمفاهيم مشابهةٍ للأولمبياد وبعضها كذلك، فهذا ما أعاد تلك الشعلة ودفعني لإعادة الصلح مع الرياضيات مرة أخرى وحب الهندسة لأول مرة!\nوهذه كل القصة من بعد كرهي لمحبتي لها تارةً أخرى.","in_reply_to_screen_name":"da_vinci70","in_reply_to_status_id_str":"1272541128848523267","in_reply_to_user_id_str":"1121416643538817024","is_quote_status":false,"lang":"ar","quote_count":0,"reply_count":1,"retweet_count":4,"retweeted":false,"user_id_str":"1121416643538817024","id_str":"1272541132384350215","id":"1272541132384350215"},{"bookmark_count":4,"bookmarked":false,"created_at":"Wed Dec 01 17:32:28 +0000 2021","conversation_id_str":"1466097881673351172","display_text_range":[0,149],"entities":{"hashtags":[{"indices":[134,149],"text":"سباق_الرياضيات"}],"media":[{"display_url":"pic.x.com/ahfY0B2ZV9","expanded_url":"https://x.com/da_vinci70/status/1466097881673351172/photo/1","id_str":"1466097877189550088","indices":[150,173],"media_key":"3_1466097877189550088","media_url_https":"https://pbs.twimg.com/media/FFigQGfWYAgxOGy.jpg","type":"photo","url":"https://t.co/ahfY0B2ZV9","ext_media_availability":{"status":"Available"},"features":{"large":{"faces":[{"x":336,"y":338,"h":113,"w":113}]},"medium":{"faces":[{"x":336,"y":338,"h":113,"w":113}]},"small":{"faces":[{"x":307,"y":308,"h":103,"w":103}]},"orig":{"faces":[{"x":336,"y":338,"h":113,"w":113}]}},"sizes":{"large":{"h":744,"w":720,"resize":"fit"},"medium":{"h":744,"w":720,"resize":"fit"},"small":{"h":680,"w":658,"resize":"fit"},"thumb":{"h":150,"w":150,"resize":"crop"}},"original_info":{"height":744,"width":720,"focus_rects":[{"x":0,"y":77,"w":720,"h":403},{"x":0,"y":0,"w":720,"h":720},{"x":0,"y":0,"w":653,"h":744},{"x":0,"y":0,"w":372,"h":744},{"x":0,"y":0,"w":720,"h":744}]},"media_results":{"result":{"media_key":"3_1466097877189550088"}}},{"display_url":"pic.x.com/ahfY0B2ZV9","expanded_url":"https://x.com/da_vinci70/status/1466097881673351172/photo/1","id_str":"1466097879748161539","indices":[150,173],"media_key":"3_1466097879748161539","media_url_https":"https://pbs.twimg.com/media/FFigQQBXsAMzIcx.jpg","type":"photo","url":"https://t.co/ahfY0B2ZV9","ext_media_availability":{"status":"Available"},"features":{"large":{"faces":[]},"medium":{"faces":[]},"small":{"faces":[]},"orig":{"faces":[]}},"sizes":{"large":{"h":2014,"w":720,"resize":"fit"},"medium":{"h":1200,"w":429,"resize":"fit"},"small":{"h":680,"w":243,"resize":"fit"},"thumb":{"h":150,"w":150,"resize":"crop"}},"original_info":{"height":2014,"width":720,"focus_rects":[{"x":0,"y":1611,"w":720,"h":403},{"x":0,"y":1294,"w":720,"h":720},{"x":0,"y":1193,"w":720,"h":821},{"x":0,"y":574,"w":720,"h":1440},{"x":0,"y":0,"w":720,"h":2014}]},"media_results":{"result":{"media_key":"3_1466097879748161539"}}}],"symbols":[],"timestamps":[],"urls":[],"user_mentions":[]},"extended_entities":{"media":[{"display_url":"pic.x.com/ahfY0B2ZV9","expanded_url":"https://x.com/da_vinci70/status/1466097881673351172/photo/1","id_str":"1466097877189550088","indices":[150,173],"media_key":"3_1466097877189550088","media_url_https":"https://pbs.twimg.com/media/FFigQGfWYAgxOGy.jpg","type":"photo","url":"https://t.co/ahfY0B2ZV9","ext_media_availability":{"status":"Available"},"features":{"large":{"faces":[{"x":336,"y":338,"h":113,"w":113}]},"medium":{"faces":[{"x":336,"y":338,"h":113,"w":113}]},"small":{"faces":[{"x":307,"y":308,"h":103,"w":103}]},"orig":{"faces":[{"x":336,"y":338,"h":113,"w":113}]}},"sizes":{"large":{"h":744,"w":720,"resize":"fit"},"medium":{"h":744,"w":720,"resize":"fit"},"small":{"h":680,"w":658,"resize":"fit"},"thumb":{"h":150,"w":150,"resize":"crop"}},"original_info":{"height":744,"width":720,"focus_rects":[{"x":0,"y":77,"w":720,"h":403},{"x":0,"y":0,"w":720,"h":720},{"x":0,"y":0,"w":653,"h":744},{"x":0,"y":0,"w":372,"h":744},{"x":0,"y":0,"w":720,"h":744}]},"media_results":{"result":{"media_key":"3_1466097877189550088"}}},{"display_url":"pic.x.com/ahfY0B2ZV9","expanded_url":"https://x.com/da_vinci70/status/1466097881673351172/photo/1","id_str":"1466097879748161539","indices":[150,173],"media_key":"3_1466097879748161539","media_url_https":"https://pbs.twimg.com/media/FFigQQBXsAMzIcx.jpg","type":"photo","url":"https://t.co/ahfY0B2ZV9","ext_media_availability":{"status":"Available"},"features":{"large":{"faces":[]},"medium":{"faces":[]},"small":{"faces":[]},"orig":{"faces":[]}},"sizes":{"large":{"h":2014,"w":720,"resize":"fit"},"medium":{"h":1200,"w":429,"resize":"fit"},"small":{"h":680,"w":243,"resize":"fit"},"thumb":{"h":150,"w":150,"resize":"crop"}},"original_info":{"height":2014,"width":720,"focus_rects":[{"x":0,"y":1611,"w":720,"h":403},{"x":0,"y":1294,"w":720,"h":720},{"x":0,"y":1193,"w":720,"h":821},{"x":0,"y":574,"w":720,"h":1440},{"x":0,"y":0,"w":720,"h":2014}]},"media_results":{"result":{"media_key":"3_1466097879748161539"}}}]},"favorite_count":18,"favorited":false,"full_text":"استنتاج بسيط لايجاد مساحة السداسي المنتظم من خلال معرفة المساحات A,B,C\nحيث P نقطة عشوائية داخل السداسي المنتظم\n\n - الاثبات باليمين -\n\n#سباق_الرياضيات https://t.co/ahfY0B2ZV9","is_quote_status":false,"lang":"ar","possibly_sensitive":false,"possibly_sensitive_editable":true,"quote_count":0,"reply_count":1,"retweet_count":1,"retweeted":false,"user_id_str":"1121416643538817024","id_str":"1466097881673351172","id":"1466097881673351172"},{"bookmark_count":1,"bookmarked":false,"created_at":"Sun May 30 21:58:06 +0000 2021","conversation_id_str":"1399052800928137216","display_text_range":[13,13],"entities":{"hashtags":[],"media":[{"display_url":"pic.x.com/AEmntaWJAN","expanded_url":"https://x.com/da_vinci70/status/1399122974217850882/photo/1","id_str":"1399122971118211072","indices":[14,37],"media_key":"3_1399122971118211072","media_url_https":"https://pbs.twimg.com/media/E2qu7eqXEAA9-To.jpg","type":"photo","url":"https://t.co/AEmntaWJAN","ext_media_availability":{"status":"Available"},"features":{"large":{"faces":[{"x":241,"y":574,"h":71,"w":71}]},"medium":{"faces":[{"x":241,"y":574,"h":71,"w":71}]},"small":{"faces":[{"x":150,"y":359,"h":44,"w":44}]},"orig":{"faces":[{"x":241,"y":574,"h":71,"w":71}]}},"sizes":{"large":{"h":1084,"w":565,"resize":"fit"},"medium":{"h":1084,"w":565,"resize":"fit"},"small":{"h":680,"w":354,"resize":"fit"},"thumb":{"h":150,"w":150,"resize":"crop"}},"original_info":{"height":1084,"width":565,"focus_rects":[{"x":0,"y":626,"w":565,"h":316},{"x":0,"y":502,"w":565,"h":565},{"x":0,"y":440,"w":565,"h":644},{"x":23,"y":0,"w":542,"h":1084},{"x":0,"y":0,"w":565,"h":1084}]},"media_results":{"result":{"media_key":"3_1399122971118211072"}}}],"symbols":[],"timestamps":[],"urls":[],"user_mentions":[{"id_str":"1301682997813374976","name":"Math","screen_name":"Math26039335","indices":[0,13]}]},"extended_entities":{"media":[{"display_url":"pic.x.com/AEmntaWJAN","expanded_url":"https://x.com/da_vinci70/status/1399122974217850882/photo/1","id_str":"1399122971118211072","indices":[14,37],"media_key":"3_1399122971118211072","media_url_https":"https://pbs.twimg.com/media/E2qu7eqXEAA9-To.jpg","type":"photo","url":"https://t.co/AEmntaWJAN","ext_media_availability":{"status":"Available"},"features":{"large":{"faces":[{"x":241,"y":574,"h":71,"w":71}]},"medium":{"faces":[{"x":241,"y":574,"h":71,"w":71}]},"small":{"faces":[{"x":150,"y":359,"h":44,"w":44}]},"orig":{"faces":[{"x":241,"y":574,"h":71,"w":71}]}},"sizes":{"large":{"h":1084,"w":565,"resize":"fit"},"medium":{"h":1084,"w":565,"resize":"fit"},"small":{"h":680,"w":354,"resize":"fit"},"thumb":{"h":150,"w":150,"resize":"crop"}},"original_info":{"height":1084,"width":565,"focus_rects":[{"x":0,"y":626,"w":565,"h":316},{"x":0,"y":502,"w":565,"h":565},{"x":0,"y":440,"w":565,"h":644},{"x":23,"y":0,"w":542,"h":1084},{"x":0,"y":0,"w":565,"h":1084}]},"media_results":{"result":{"media_key":"3_1399122971118211072"}}}]},"favorite_count":17,"favorited":false,"full_text":"@Math26039335 https://t.co/AEmntaWJAN","in_reply_to_screen_name":"Math26039335","in_reply_to_status_id_str":"1399052800928137216","in_reply_to_user_id_str":"1301682997813374976","is_quote_status":false,"lang":"qme","possibly_sensitive":false,"possibly_sensitive_editable":true,"quote_count":0,"reply_count":1,"retweet_count":2,"retweeted":false,"user_id_str":"1121416643538817024","id_str":"1399122974217850882","id":"1399122974217850882"},{"bookmark_count":2,"bookmarked":false,"created_at":"Mon Jun 15 14:47:00 +0000 2020","conversation_id_str":"1272541050905792512","display_text_range":[0,193],"entities":{"hashtags":[],"symbols":[],"timestamps":[],"urls":[],"user_mentions":[]},"favorite_count":19,"favorited":false,"full_text":"فيومًا بعد الآخر كنت أتغذى على هذه المسائل خصوصا \"تحد\" ولكن كانت تواجهني صعوبة في المسائل الهندسية، فكنت أكره حفظ القوانين دون فهم كحالي الآن، وهذا ما جعل لدي صعوبة وبُغضا لهذا الفرع (الهندسة).","in_reply_to_screen_name":"da_vinci70","in_reply_to_status_id_str":"1272541117406380032","in_reply_to_user_id_str":"1121416643538817024","is_quote_status":false,"lang":"ar","quote_count":1,"reply_count":1,"retweet_count":3,"retweeted":false,"user_id_str":"1121416643538817024","id_str":"1272541121177149440","id":"1272541121177149440"},{"bookmark_count":2,"bookmarked":false,"created_at":"Tue Jul 30 14:31:28 +0000 2024","conversation_id_str":"1818247449548341693","display_text_range":[9,205],"entities":{"hashtags":[],"media":[{"display_url":"pic.x.com/aF0XTD430W","expanded_url":"https://x.com/da_vinci70/status/1818293336366567509/photo/1","id_str":"1818293332881063936","indices":[206,229],"media_key":"3_1818293332881063936","media_url_https":"https://pbs.twimg.com/media/GTvgJwvWQAAKrhy.jpg","type":"photo","url":"https://t.co/aF0XTD430W","ext_media_availability":{"status":"Available"},"features":{"large":{"faces":[]},"medium":{"faces":[]},"small":{"faces":[]},"orig":{"faces":[]}},"sizes":{"large":{"h":1527,"w":1080,"resize":"fit"},"medium":{"h":1200,"w":849,"resize":"fit"},"small":{"h":680,"w":481,"resize":"fit"},"thumb":{"h":150,"w":150,"resize":"crop"}},"original_info":{"height":1527,"width":1080,"focus_rects":[{"x":0,"y":652,"w":1080,"h":605},{"x":0,"y":414,"w":1080,"h":1080},{"x":0,"y":296,"w":1080,"h":1231},{"x":0,"y":0,"w":764,"h":1527},{"x":0,"y":0,"w":1080,"h":1527}]},"media_results":{"result":{"media_key":"3_1818293332881063936"}}},{"display_url":"pic.x.com/aF0XTD430W","expanded_url":"https://x.com/da_vinci70/status/1818293336366567509/photo/1","id_str":"1818293332927262720","indices":[206,229],"media_key":"3_1818293332927262720","media_url_https":"https://pbs.twimg.com/media/GTvgJw6XMAACQ01.jpg","type":"photo","url":"https://t.co/aF0XTD430W","ext_media_availability":{"status":"Available"},"features":{"large":{"faces":[]},"medium":{"faces":[]},"small":{"faces":[]},"orig":{"faces":[]}},"sizes":{"large":{"h":1527,"w":1080,"resize":"fit"},"medium":{"h":1200,"w":849,"resize":"fit"},"small":{"h":680,"w":481,"resize":"fit"},"thumb":{"h":150,"w":150,"resize":"crop"}},"original_info":{"height":1527,"width":1080,"focus_rects":[{"x":0,"y":270,"w":1080,"h":605},{"x":0,"y":32,"w":1080,"h":1080},{"x":0,"y":0,"w":1080,"h":1231},{"x":190,"y":0,"w":764,"h":1527},{"x":0,"y":0,"w":1080,"h":1527}]},"media_results":{"result":{"media_key":"3_1818293332927262720"}}}],"symbols":[],"timestamps":[],"urls":[],"user_mentions":[{"id_str":"500283534","name":"محمد صالح العمري","screen_name":"mwns999","indices":[0,8]}]},"extended_entities":{"media":[{"display_url":"pic.x.com/aF0XTD430W","expanded_url":"https://x.com/da_vinci70/status/1818293336366567509/photo/1","id_str":"1818293332881063936","indices":[206,229],"media_key":"3_1818293332881063936","media_url_https":"https://pbs.twimg.com/media/GTvgJwvWQAAKrhy.jpg","type":"photo","url":"https://t.co/aF0XTD430W","ext_media_availability":{"status":"Available"},"features":{"large":{"faces":[]},"medium":{"faces":[]},"small":{"faces":[]},"orig":{"faces":[]}},"sizes":{"large":{"h":1527,"w":1080,"resize":"fit"},"medium":{"h":1200,"w":849,"resize":"fit"},"small":{"h":680,"w":481,"resize":"fit"},"thumb":{"h":150,"w":150,"resize":"crop"}},"original_info":{"height":1527,"width":1080,"focus_rects":[{"x":0,"y":652,"w":1080,"h":605},{"x":0,"y":414,"w":1080,"h":1080},{"x":0,"y":296,"w":1080,"h":1231},{"x":0,"y":0,"w":764,"h":1527},{"x":0,"y":0,"w":1080,"h":1527}]},"media_results":{"result":{"media_key":"3_1818293332881063936"}}},{"display_url":"pic.x.com/aF0XTD430W","expanded_url":"https://x.com/da_vinci70/status/1818293336366567509/photo/1","id_str":"1818293332927262720","indices":[206,229],"media_key":"3_1818293332927262720","media_url_https":"https://pbs.twimg.com/media/GTvgJw6XMAACQ01.jpg","type":"photo","url":"https://t.co/aF0XTD430W","ext_media_availability":{"status":"Available"},"features":{"large":{"faces":[]},"medium":{"faces":[]},"small":{"faces":[]},"orig":{"faces":[]}},"sizes":{"large":{"h":1527,"w":1080,"resize":"fit"},"medium":{"h":1200,"w":849,"resize":"fit"},"small":{"h":680,"w":481,"resize":"fit"},"thumb":{"h":150,"w":150,"resize":"crop"}},"original_info":{"height":1527,"width":1080,"focus_rects":[{"x":0,"y":270,"w":1080,"h":605},{"x":0,"y":32,"w":1080,"h":1080},{"x":0,"y":0,"w":1080,"h":1231},{"x":190,"y":0,"w":764,"h":1527},{"x":0,"y":0,"w":1080,"h":1527}]},"media_results":{"result":{"media_key":"3_1818293332927262720"}}}]},"favorite_count":18,"favorited":false,"full_text":"@mwns999 نستطيع اعتبار الحل عبارة عن طريقتين لإثراء الحلول.\nالأول بمبرهنة مينيلاوس menelaus theorem (ويمكن الاكتفاء بهذا فقط لإيجاد جميع المساحات المفقودة)\nوالثانية (مساحة Y) بمرهنة جيرجون gergonne theorem https://t.co/aF0XTD430W","in_reply_to_screen_name":"mwns999","in_reply_to_status_id_str":"1818247449548341693","in_reply_to_user_id_str":"500283534","is_quote_status":false,"lang":"ar","possibly_sensitive":false,"possibly_sensitive_editable":true,"quote_count":0,"reply_count":3,"retweet_count":1,"retweeted":false,"user_id_str":"1121416643538817024","id_str":"1818293336366567509","id":"1818293336366567509"},{"bookmark_count":1,"bookmarked":false,"created_at":"Sun Feb 04 18:17:56 +0000 2024","conversation_id_str":"1754153621287993693","display_text_range":[8,8],"entities":{"hashtags":[],"media":[{"display_url":"pic.x.com/IUkXgeBJxu","expanded_url":"https://x.com/da_vinci70/status/1754207678392385733/photo/1","id_str":"1754207675859054592","indices":[9,32],"media_key":"3_1754207675859054592","media_url_https":"https://pbs.twimg.com/media/GFgylkXXsAA6uHu.jpg","type":"photo","url":"https://t.co/IUkXgeBJxu","ext_media_availability":{"status":"Available"},"features":{"large":{"faces":[{"x":960,"y":340,"h":136,"w":136},{"x":1722,"y":320,"h":142,"w":142}]},"medium":{"faces":[{"x":562,"y":199,"h":79,"w":79},{"x":1008,"y":187,"h":83,"w":83}]},"small":{"faces":[{"x":318,"y":112,"h":45,"w":45},{"x":571,"y":106,"h":47,"w":47}]},"orig":{"faces":[{"x":960,"y":340,"h":136,"w":136},{"x":1722,"y":320,"h":142,"w":142}]}},"sizes":{"large":{"h":1409,"w":2048,"resize":"fit"},"medium":{"h":826,"w":1200,"resize":"fit"},"small":{"h":468,"w":680,"resize":"fit"},"thumb":{"h":150,"w":150,"resize":"crop"}},"original_info":{"height":1409,"width":2048,"focus_rects":[{"x":0,"y":0,"w":2048,"h":1147},{"x":268,"y":0,"w":1409,"h":1409},{"x":354,"y":0,"w":1236,"h":1409},{"x":620,"y":0,"w":705,"h":1409},{"x":0,"y":0,"w":2048,"h":1409}]},"media_results":{"result":{"media_key":"3_1754207675859054592"}}}],"symbols":[],"timestamps":[],"urls":[],"user_mentions":[{"id_str":"845699748665462785","name":"δε","screen_name":"piomsss","indices":[0,8]}]},"extended_entities":{"media":[{"display_url":"pic.x.com/IUkXgeBJxu","expanded_url":"https://x.com/da_vinci70/status/1754207678392385733/photo/1","id_str":"1754207675859054592","indices":[9,32],"media_key":"3_1754207675859054592","media_url_https":"https://pbs.twimg.com/media/GFgylkXXsAA6uHu.jpg","type":"photo","url":"https://t.co/IUkXgeBJxu","ext_media_availability":{"status":"Available"},"features":{"large":{"faces":[{"x":960,"y":340,"h":136,"w":136},{"x":1722,"y":320,"h":142,"w":142}]},"medium":{"faces":[{"x":562,"y":199,"h":79,"w":79},{"x":1008,"y":187,"h":83,"w":83}]},"small":{"faces":[{"x":318,"y":112,"h":45,"w":45},{"x":571,"y":106,"h":47,"w":47}]},"orig":{"faces":[{"x":960,"y":340,"h":136,"w":136},{"x":1722,"y":320,"h":142,"w":142}]}},"sizes":{"large":{"h":1409,"w":2048,"resize":"fit"},"medium":{"h":826,"w":1200,"resize":"fit"},"small":{"h":468,"w":680,"resize":"fit"},"thumb":{"h":150,"w":150,"resize":"crop"}},"original_info":{"height":1409,"width":2048,"focus_rects":[{"x":0,"y":0,"w":2048,"h":1147},{"x":268,"y":0,"w":1409,"h":1409},{"x":354,"y":0,"w":1236,"h":1409},{"x":620,"y":0,"w":705,"h":1409},{"x":0,"y":0,"w":2048,"h":1409}]},"media_results":{"result":{"media_key":"3_1754207675859054592"}}}]},"favorite_count":17,"favorited":false,"full_text":"@piomsss https://t.co/IUkXgeBJxu","in_reply_to_screen_name":"piomsss","in_reply_to_status_id_str":"1754153621287993693","in_reply_to_user_id_str":"845699748665462785","is_quote_status":false,"lang":"qme","possibly_sensitive":false,"possibly_sensitive_editable":true,"quote_count":0,"reply_count":1,"retweet_count":2,"retweeted":false,"user_id_str":"1121416643538817024","id_str":"1754207678392385733","id":"1754207678392385733"},{"bookmark_count":2,"bookmarked":false,"created_at":"Mon Jun 15 14:47:01 +0000 2020","conversation_id_str":"1272541050905792512","display_text_range":[0,270],"entities":{"hashtags":[],"symbols":[],"timestamps":[],"urls":[],"user_mentions":[]},"favorite_count":18,"favorited":false,"full_text":"ومرورًا بالمرحلة الثانوية، وعندما انقلب الأمر تماما إلى كرهي للرياضيات كليًا!\n كوْن المناهج \"رياضيات ١،٢\" ممتلئة بدروس الهندسة، وكون طريقة التلقي والتعلم بحفظ القوانين والأفكار كسابقها بالمرحلة المتوسطة.\n وهذا ماجعلني أحضر للحصص متثاقلا منتظرا مرور ذلك الوقت البطيء جدا،","in_reply_to_screen_name":"da_vinci70","in_reply_to_status_id_str":"1272541121177149440","in_reply_to_user_id_str":"1121416643538817024","is_quote_status":false,"lang":"ar","quote_count":0,"reply_count":2,"retweet_count":3,"retweeted":false,"user_id_str":"1121416643538817024","id_str":"1272541124918423555","id":"1272541124918423555"},{"bookmark_count":3,"bookmarked":false,"created_at":"Wed Feb 15 12:10:20 +0000 2023","conversation_id_str":"1625808693114683393","display_text_range":[10,284],"entities":{"hashtags":[],"media":[{"display_url":"pic.x.com/zlZMOyxTxA","expanded_url":"https://x.com/da_vinci70/status/1625829863964672000/photo/1","id_str":"1625829857664851968","indices":[285,308],"media_key":"3_1625829857664851968","media_url_https":"https://pbs.twimg.com/media/FpAbpDtWYAAVpDj.jpg","type":"photo","url":"https://t.co/zlZMOyxTxA","ext_media_availability":{"status":"Available"},"features":{"large":{"faces":[]},"medium":{"faces":[]},"small":{"faces":[]},"orig":{"faces":[]}},"sizes":{"large":{"h":499,"w":720,"resize":"fit"},"medium":{"h":499,"w":720,"resize":"fit"},"small":{"h":471,"w":680,"resize":"fit"},"thumb":{"h":150,"w":150,"resize":"crop"}},"original_info":{"height":499,"width":720,"focus_rects":[{"x":0,"y":96,"w":720,"h":403},{"x":0,"y":0,"w":499,"h":499},{"x":0,"y":0,"w":438,"h":499},{"x":0,"y":0,"w":250,"h":499},{"x":0,"y":0,"w":720,"h":499}]},"media_results":{"result":{"media_key":"3_1625829857664851968"}}},{"display_url":"pic.x.com/zlZMOyxTxA","expanded_url":"https://x.com/da_vinci70/status/1625829863964672000/photo/1","id_str":"1625829861716549632","indices":[285,308],"media_key":"3_1625829861716549632","media_url_https":"https://pbs.twimg.com/media/FpAbpSzWYAA9Hpe.jpg","type":"photo","url":"https://t.co/zlZMOyxTxA","ext_media_availability":{"status":"Available"},"features":{"large":{"faces":[]},"medium":{"faces":[]},"small":{"faces":[]},"orig":{"faces":[]}},"sizes":{"large":{"h":567,"w":720,"resize":"fit"},"medium":{"h":567,"w":720,"resize":"fit"},"small":{"h":536,"w":680,"resize":"fit"},"thumb":{"h":150,"w":150,"resize":"crop"}},"original_info":{"height":567,"width":720,"focus_rects":[{"x":0,"y":0,"w":720,"h":403},{"x":23,"y":0,"w":567,"h":567},{"x":58,"y":0,"w":497,"h":567},{"x":164,"y":0,"w":284,"h":567},{"x":0,"y":0,"w":720,"h":567}]},"media_results":{"result":{"media_key":"3_1625829861716549632"}}}],"symbols":[],"timestamps":[],"urls":[],"user_mentions":[{"id_str":"328507596","name":"إبراهيم العليان","screen_name":"ialolyan","indices":[0,9]}]},"extended_entities":{"media":[{"display_url":"pic.x.com/zlZMOyxTxA","expanded_url":"https://x.com/da_vinci70/status/1625829863964672000/photo/1","id_str":"1625829857664851968","indices":[285,308],"media_key":"3_1625829857664851968","media_url_https":"https://pbs.twimg.com/media/FpAbpDtWYAAVpDj.jpg","type":"photo","url":"https://t.co/zlZMOyxTxA","ext_media_availability":{"status":"Available"},"features":{"large":{"faces":[]},"medium":{"faces":[]},"small":{"faces":[]},"orig":{"faces":[]}},"sizes":{"large":{"h":499,"w":720,"resize":"fit"},"medium":{"h":499,"w":720,"resize":"fit"},"small":{"h":471,"w":680,"resize":"fit"},"thumb":{"h":150,"w":150,"resize":"crop"}},"original_info":{"height":499,"width":720,"focus_rects":[{"x":0,"y":96,"w":720,"h":403},{"x":0,"y":0,"w":499,"h":499},{"x":0,"y":0,"w":438,"h":499},{"x":0,"y":0,"w":250,"h":499},{"x":0,"y":0,"w":720,"h":499}]},"media_results":{"result":{"media_key":"3_1625829857664851968"}}},{"display_url":"pic.x.com/zlZMOyxTxA","expanded_url":"https://x.com/da_vinci70/status/1625829863964672000/photo/1","id_str":"1625829861716549632","indices":[285,308],"media_key":"3_1625829861716549632","media_url_https":"https://pbs.twimg.com/media/FpAbpSzWYAA9Hpe.jpg","type":"photo","url":"https://t.co/zlZMOyxTxA","ext_media_availability":{"status":"Available"},"features":{"large":{"faces":[]},"medium":{"faces":[]},"small":{"faces":[]},"orig":{"faces":[]}},"sizes":{"large":{"h":567,"w":720,"resize":"fit"},"medium":{"h":567,"w":720,"resize":"fit"},"small":{"h":536,"w":680,"resize":"fit"},"thumb":{"h":150,"w":150,"resize":"crop"}},"original_info":{"height":567,"width":720,"focus_rects":[{"x":0,"y":0,"w":720,"h":403},{"x":23,"y":0,"w":567,"h":567},{"x":58,"y":0,"w":497,"h":567},{"x":164,"y":0,"w":284,"h":567},{"x":0,"y":0,"w":720,"h":567}]},"media_results":{"result":{"media_key":"3_1625829861716549632"}}}]},"favorite_count":18,"favorited":false,"full_text":"@ialolyan الاغلب فائزين بميداليات ذهبية بالIMO, وبعد اختيار هؤلاء الطلاب يتم تدريبهم على يد الدكتور yufei zhao وهو واحد من افضل المدربين بأولمبياد الرياضيات لا سيما انه كان يكتب اسئلة بوتنام ل٣ سنين تقريبا.\nوMIT تهتم بهذه المسابقات فتدشن مؤتمرات وكورسات كاملة بالترم لإعداد الطلاب لها https://t.co/zlZMOyxTxA","in_reply_to_screen_name":"ialolyan","in_reply_to_status_id_str":"1625808693114683393","in_reply_to_user_id_str":"328507596","is_quote_status":false,"lang":"ar","possibly_sensitive":false,"possibly_sensitive_editable":true,"quote_count":0,"reply_count":0,"retweet_count":1,"retweeted":false,"user_id_str":"1121416643538817024","id_str":"1625829863964672000","id":"1625829863964672000"},{"bookmark_count":8,"bookmarked":false,"created_at":"Wed Feb 01 16:45:14 +0000 2023","conversation_id_str":"1620825615837597696","display_text_range":[0,31],"entities":{"hashtags":[{"indices":[0,15],"text":"سباق_الرياضيات"},{"indices":[17,31],"text":"كانجارو_موهبة"}],"media":[{"display_url":"pic.x.com/JK0mfuRDpD","expanded_url":"https://x.com/da_vinci70/status/1620825615837597696/photo/1","id_str":"1620825613744443392","indices":[32,55],"media_key":"3_1620825613744443392","media_url_https":"https://pbs.twimg.com/media/Fn5UTuYXkAAsI1l.jpg","type":"photo","url":"https://t.co/JK0mfuRDpD","ext_media_availability":{"status":"Available"},"features":{"large":{"faces":[]},"medium":{"faces":[]},"small":{"faces":[]},"orig":{"faces":[]}},"sizes":{"large":{"h":543,"w":597,"resize":"fit"},"medium":{"h":543,"w":597,"resize":"fit"},"small":{"h":543,"w":597,"resize":"fit"},"thumb":{"h":150,"w":150,"resize":"crop"}},"original_info":{"height":543,"width":597,"focus_rects":[{"x":0,"y":209,"w":597,"h":334},{"x":0,"y":0,"w":543,"h":543},{"x":0,"y":0,"w":476,"h":543},{"x":0,"y":0,"w":272,"h":543},{"x":0,"y":0,"w":597,"h":543}]},"media_results":{"result":{"media_key":"3_1620825613744443392"}}}],"symbols":[],"timestamps":[],"urls":[],"user_mentions":[]},"extended_entities":{"media":[{"display_url":"pic.x.com/JK0mfuRDpD","expanded_url":"https://x.com/da_vinci70/status/1620825615837597696/photo/1","id_str":"1620825613744443392","indices":[32,55],"media_key":"3_1620825613744443392","media_url_https":"https://pbs.twimg.com/media/Fn5UTuYXkAAsI1l.jpg","type":"photo","url":"https://t.co/JK0mfuRDpD","ext_media_availability":{"status":"Available"},"features":{"large":{"faces":[]},"medium":{"faces":[]},"small":{"faces":[]},"orig":{"faces":[]}},"sizes":{"large":{"h":543,"w":597,"resize":"fit"},"medium":{"h":543,"w":597,"resize":"fit"},"small":{"h":543,"w":597,"resize":"fit"},"thumb":{"h":150,"w":150,"resize":"crop"}},"original_info":{"height":543,"width":597,"focus_rects":[{"x":0,"y":209,"w":597,"h":334},{"x":0,"y":0,"w":543,"h":543},{"x":0,"y":0,"w":476,"h":543},{"x":0,"y":0,"w":272,"h":543},{"x":0,"y":0,"w":597,"h":543}]},"media_results":{"result":{"media_key":"3_1620825613744443392"}}}]},"favorite_count":18,"favorited":false,"full_text":"#سباق_الرياضيات \n#كانجارو_موهبة https://t.co/JK0mfuRDpD","is_quote_status":false,"lang":"qme","possibly_sensitive":false,"possibly_sensitive_editable":true,"quote_count":0,"reply_count":6,"retweet_count":3,"retweeted":false,"user_id_str":"1121416643538817024","id_str":"1620825615837597696","id":"1620825615837597696"},{"bookmark_count":0,"bookmarked":false,"created_at":"Mon Jun 15 15:09:39 +0000 2020","conversation_id_str":"1272541050905792512","display_text_range":[0,268],"entities":{"hashtags":[],"symbols":[],"timestamps":[],"urls":[],"user_mentions":[{"id_str":"500283534","name":"محمد صالح العمري","screen_name":"mwns999","indices":[43,51]},{"id_str":"861760854","name":"حلم ورى حلم","screen_name":"Dreambehindream","indices":[109,125]},{"id_str":"1095990697","name":"AYA","screen_name":"ayaamath","indices":[158,167]}]},"favorite_count":17,"favorited":false,"full_text":"والأسطورة بكافة الفروع الأستاذ محمد العمري @mwns999 والأستاذة المبدعة والمتألقة بحلولها دائما الاستاذة سميرة @dreambehindream وكذلك الأستاذة العبقرية جدا آية @ayaamath والقدوة بالنسبة لي بمجال التكامل @abdulgabbar_ou وقدوتي بمجال نظرية الاعداد العبقري الوليد @Genius4F","in_reply_to_screen_name":"da_vinci70","in_reply_to_status_id_str":"1272546817255911424","in_reply_to_user_id_str":"1121416643538817024","is_quote_status":false,"lang":"ar","quote_count":1,"reply_count":6,"retweet_count":5,"retweeted":false,"user_id_str":"1121416643538817024","id_str":"1272546819864739842","id":"1272546819864739842"},{"bookmark_count":7,"bookmarked":false,"created_at":"Mon Jan 04 18:48:00 +0000 2021","conversation_id_str":"1346090041643249664","display_text_range":[35,315],"entities":{"hashtags":[],"symbols":[],"timestamps":[],"urls":[{"display_url":"youtu.be/FjliV5u2IVw","expanded_url":"https://youtu.be/FjliV5u2IVw","url":"https://t.co/rZYwIctAxf","indices":[226,249]}],"user_mentions":[]},"favorite_count":17,"favorited":false,"full_text":"@s_2045s @MBS___96 @mohammedIbra84 هذي تسمى معادلة ديوفنتية وتدرس بنظرية الاعداد وفيه طرق عديدة لايجادها ابتداء من خوارزمية اقليدس الى ايجاد حل عام للمعادلة، لو تبي تتعلم عنها اكثر ابحث بالنت او ابحث عن اي كتاب لنظرية الاعداد\nhttps://t.co/rZYwIctAxf\nهذا الفيديو يشرحها بشكل مختصر واذا مافهمت ابحث عن خوارزمية اقليدس","in_reply_to_screen_name":"112b112","in_reply_to_status_id_str":"1346128918638690305","in_reply_to_user_id_str":"1272993043453489153","is_quote_status":false,"lang":"ar","possibly_sensitive":false,"possibly_sensitive_editable":true,"quote_count":0,"reply_count":0,"retweet_count":1,"retweeted":false,"user_id_str":"1121416643538817024","id_str":"1346166508687392771","id":"1346166508687392771"},{"bookmark_count":8,"bookmarked":false,"created_at":"Mon Jun 15 15:05:07 +0000 2020","conversation_id_str":"1272541050905792512","display_text_range":[0,71],"entities":{"hashtags":[],"symbols":[],"timestamps":[],"urls":[{"display_url":"x.com/ialolyan/statu…","expanded_url":"https://x.com/ialolyan/status/1137748003605929991?s=19","url":"https://t.co/M6qpTb5mVD","indices":[48,71]}],"user_mentions":[]},"favorite_count":16,"favorited":false,"full_text":"وأيضا هذا الثريد للدكتور العظيم إبراهيم العليان\nhttps://t.co/M6qpTb5mVD","in_reply_to_screen_name":"da_vinci70","in_reply_to_status_id_str":"1272545676359065601","in_reply_to_user_id_str":"1121416643538817024","is_quote_status":true,"lang":"ar","possibly_sensitive":false,"possibly_sensitive_editable":true,"quote_count":0,"quoted_status_id_str":"1137748003605929991","quoted_status_permalink":{"url":"https://t.co/M6qpTb5mVD","expanded":"https://twitter.com/ialolyan/status/1137748003605929991?s=19","display":"x.com/ialolyan/statu…"},"reply_count":2,"retweet_count":4,"retweeted":false,"user_id_str":"1121416643538817024","id_str":"1272545679181844481","id":"1272545679181844481"},{"bookmark_count":4,"bookmarked":false,"created_at":"Wed Mar 18 02:56:30 +0000 2020","conversation_id_str":"1240109799548862464","display_text_range":[0,278],"entities":{"hashtags":[{"indices":[244,259],"text":"سباق_الرياضيات"},{"indices":[260,267],"text":"puzzle"},{"indices":[269,278],"text":"geometry"}],"media":[{"display_url":"pic.x.com/IlkwKotn1S","expanded_url":"https://x.com/da_vinci70/status/1240109799548862464/photo/1","id_str":"1240109787372826624","indices":[279,302],"media_key":"3_1240109787372826624","media_url_https":"https://pbs.twimg.com/media/ETXBR_7XsAACgVd.jpg","type":"photo","url":"https://t.co/IlkwKotn1S","ext_media_availability":{"status":"Available"},"features":{"large":{"faces":[]},"medium":{"faces":[]},"small":{"faces":[]},"orig":{"faces":[]}},"sizes":{"large":{"h":821,"w":720,"resize":"fit"},"medium":{"h":821,"w":720,"resize":"fit"},"small":{"h":680,"w":596,"resize":"fit"},"thumb":{"h":150,"w":150,"resize":"crop"}},"original_info":{"height":821,"width":720,"focus_rects":[{"x":0,"y":418,"w":720,"h":403},{"x":0,"y":101,"w":720,"h":720},{"x":0,"y":0,"w":720,"h":821},{"x":0,"y":0,"w":411,"h":821},{"x":0,"y":0,"w":720,"h":821}]},"media_results":{"result":{"media_key":"3_1240109787372826624"}}}],"symbols":[],"timestamps":[],"urls":[],"user_mentions":[]},"extended_entities":{"media":[{"display_url":"pic.x.com/IlkwKotn1S","expanded_url":"https://x.com/da_vinci70/status/1240109799548862464/photo/1","id_str":"1240109787372826624","indices":[279,302],"media_key":"3_1240109787372826624","media_url_https":"https://pbs.twimg.com/media/ETXBR_7XsAACgVd.jpg","type":"photo","url":"https://t.co/IlkwKotn1S","ext_media_availability":{"status":"Available"},"features":{"large":{"faces":[]},"medium":{"faces":[]},"small":{"faces":[]},"orig":{"faces":[]}},"sizes":{"large":{"h":821,"w":720,"resize":"fit"},"medium":{"h":821,"w":720,"resize":"fit"},"small":{"h":680,"w":596,"resize":"fit"},"thumb":{"h":150,"w":150,"resize":"crop"}},"original_info":{"height":821,"width":720,"focus_rects":[{"x":0,"y":418,"w":720,"h":403},{"x":0,"y":101,"w":720,"h":720},{"x":0,"y":0,"w":720,"h":821},{"x":0,"y":0,"w":411,"h":821},{"x":0,"y":0,"w":720,"h":821}]},"media_results":{"result":{"media_key":"3_1240109787372826624"}}}]},"favorite_count":17,"favorited":false,"full_text":"سؤال سهل، اذا كان نصف قطر الدائرة الصغيرة يساوي ثلث نصف قطر الدائرة الكبيرة،أوجد نسبة مساحة المظلل A الى مساحة المظلل B.\n\nEasy question, if the radius of the small circle equals 1/3 the radius of the big circle, find the fraction of areas A/B.\n#سباق_الرياضيات\n#puzzle \n#geometry https://t.co/IlkwKotn1S","is_quote_status":false,"lang":"und","possibly_sensitive":false,"possibly_sensitive_editable":true,"quote_count":0,"reply_count":4,"retweet_count":5,"retweeted":false,"user_id_str":"1121416643538817024","id_str":"1240109799548862464","id":"1240109799548862464"},{"bookmark_count":1,"bookmarked":false,"created_at":"Tue Dec 06 11:52:53 +0000 2022","conversation_id_str":"1600095932543967232","display_text_range":[0,73],"entities":{"hashtags":[{"indices":[0,15],"text":"سباق_الرياضيات"}],"media":[{"display_url":"pic.x.com/koAIHOdWxC","expanded_url":"https://x.com/da_vinci70/status/1600095932543967232/photo/1","id_str":"1600095930014990336","indices":[74,97],"media_key":"3_1600095930014990336","media_url_https":"https://pbs.twimg.com/media/FjSuxUsXgAANxKB.jpg","type":"photo","url":"https://t.co/koAIHOdWxC","ext_media_availability":{"status":"Available"},"features":{"large":{"faces":[{"x":60,"y":154,"h":72,"w":72}]},"medium":{"faces":[{"x":60,"y":154,"h":72,"w":72}]},"small":{"faces":[{"x":58,"y":149,"h":69,"w":69}]},"orig":{"faces":[{"x":60,"y":154,"h":72,"w":72}]}},"sizes":{"large":{"h":298,"w":702,"resize":"fit"},"medium":{"h":298,"w":702,"resize":"fit"},"small":{"h":289,"w":680,"resize":"fit"},"thumb":{"h":150,"w":150,"resize":"crop"}},"original_info":{"height":298,"width":702,"focus_rects":[{"x":170,"y":0,"w":532,"h":298},{"x":324,"y":0,"w":298,"h":298},{"x":343,"y":0,"w":261,"h":298},{"x":399,"y":0,"w":149,"h":298},{"x":0,"y":0,"w":702,"h":298}]},"media_results":{"result":{"media_key":"3_1600095930014990336"}}}],"symbols":[],"timestamps":[],"urls":[],"user_mentions":[]},"extended_entities":{"media":[{"display_url":"pic.x.com/koAIHOdWxC","expanded_url":"https://x.com/da_vinci70/status/1600095932543967232/photo/1","id_str":"1600095930014990336","indices":[74,97],"media_key":"3_1600095930014990336","media_url_https":"https://pbs.twimg.com/media/FjSuxUsXgAANxKB.jpg","type":"photo","url":"https://t.co/koAIHOdWxC","ext_media_availability":{"status":"Available"},"features":{"large":{"faces":[{"x":60,"y":154,"h":72,"w":72}]},"medium":{"faces":[{"x":60,"y":154,"h":72,"w":72}]},"small":{"faces":[{"x":58,"y":149,"h":69,"w":69}]},"orig":{"faces":[{"x":60,"y":154,"h":72,"w":72}]}},"sizes":{"large":{"h":298,"w":702,"resize":"fit"},"medium":{"h":298,"w":702,"resize":"fit"},"small":{"h":289,"w":680,"resize":"fit"},"thumb":{"h":150,"w":150,"resize":"crop"}},"original_info":{"height":298,"width":702,"focus_rects":[{"x":170,"y":0,"w":532,"h":298},{"x":324,"y":0,"w":298,"h":298},{"x":343,"y":0,"w":261,"h":298},{"x":399,"y":0,"w":149,"h":298},{"x":0,"y":0,"w":702,"h":298}]},"media_results":{"result":{"media_key":"3_1600095930014990336"}}}]},"favorite_count":16,"favorited":false,"full_text":"#سباق_الرياضيات \nخاصية جميلة لأي دالة كثيرة حدود f حيث تمثل k درجة الدالة https://t.co/koAIHOdWxC","is_quote_status":false,"lang":"ar","possibly_sensitive":false,"possibly_sensitive_editable":true,"quote_count":1,"reply_count":0,"retweet_count":3,"retweeted":false,"user_id_str":"1121416643538817024","id_str":"1600095932543967232","id":"1600095932543967232"},{"bookmark_count":6,"bookmarked":false,"created_at":"Tue Mar 07 16:44:25 +0000 2023","conversation_id_str":"1633146594047545345","display_text_range":[0,24],"entities":{"hashtags":[{"indices":[0,8],"text":"كانجارو"},{"indices":[9,24],"text":"سباق_الرياضيات"}],"media":[{"display_url":"pic.x.com/2zw7WkHd6I","expanded_url":"https://x.com/da_vinci70/status/1633146594047545345/photo/1","id_str":"1633146591904243713","indices":[25,48],"media_key":"3_1633146591904243713","media_url_https":"https://pbs.twimg.com/media/FqoaLCyXoAEJG9C.jpg","type":"photo","url":"https://t.co/2zw7WkHd6I","ext_media_availability":{"status":"Available"},"features":{"large":{"faces":[]},"medium":{"faces":[]},"small":{"faces":[]},"orig":{"faces":[]}},"sizes":{"large":{"h":351,"w":720,"resize":"fit"},"medium":{"h":351,"w":720,"resize":"fit"},"small":{"h":332,"w":680,"resize":"fit"},"thumb":{"h":150,"w":150,"resize":"crop"}},"original_info":{"height":351,"width":720,"focus_rects":[{"x":93,"y":0,"w":627,"h":351},{"x":369,"y":0,"w":351,"h":351},{"x":412,"y":0,"w":308,"h":351},{"x":506,"y":0,"w":176,"h":351},{"x":0,"y":0,"w":720,"h":351}]},"media_results":{"result":{"media_key":"3_1633146591904243713"}}}],"symbols":[],"timestamps":[],"urls":[],"user_mentions":[]},"extended_entities":{"media":[{"display_url":"pic.x.com/2zw7WkHd6I","expanded_url":"https://x.com/da_vinci70/status/1633146594047545345/photo/1","id_str":"1633146591904243713","indices":[25,48],"media_key":"3_1633146591904243713","media_url_https":"https://pbs.twimg.com/media/FqoaLCyXoAEJG9C.jpg","type":"photo","url":"https://t.co/2zw7WkHd6I","ext_media_availability":{"status":"Available"},"features":{"large":{"faces":[]},"medium":{"faces":[]},"small":{"faces":[]},"orig":{"faces":[]}},"sizes":{"large":{"h":351,"w":720,"resize":"fit"},"medium":{"h":351,"w":720,"resize":"fit"},"small":{"h":332,"w":680,"resize":"fit"},"thumb":{"h":150,"w":150,"resize":"crop"}},"original_info":{"height":351,"width":720,"focus_rects":[{"x":93,"y":0,"w":627,"h":351},{"x":369,"y":0,"w":351,"h":351},{"x":412,"y":0,"w":308,"h":351},{"x":506,"y":0,"w":176,"h":351},{"x":0,"y":0,"w":720,"h":351}]},"media_results":{"result":{"media_key":"3_1633146591904243713"}}}]},"favorite_count":17,"favorited":false,"full_text":"#كانجارو\n#سباق_الرياضيات https://t.co/2zw7WkHd6I","is_quote_status":false,"lang":"qme","possibly_sensitive":false,"possibly_sensitive_editable":true,"quote_count":1,"reply_count":8,"retweet_count":3,"retweeted":false,"user_id_str":"1121416643538817024","id_str":"1633146594047545345","id":"1633146594047545345"},{"bookmark_count":10,"bookmarked":false,"created_at":"Sat Nov 11 21:42:41 +0000 2023","conversation_id_str":"1723451637312700630","display_text_range":[16,296],"entities":{"hashtags":[],"symbols":[],"timestamps":[],"urls":[],"user_mentions":[{"id_str":"1272261225179734016","name":"vigilante","screen_name":"SaudiIntellect","indices":[0,15]}]},"favorite_count":15,"favorited":false,"full_text":"@SaudiIntellect طبقا لدراسات تطورية (اذكر سمعت روبرت سابولسكي قالها) ان البشر ألفت بعضها بسبب قلة حيلتهم وأن تكاتفهم وتكوينهم لعلاقات اجتماعية كانت في سبيل العيش وتوفير الحماية لهم.\nولكن الوضع مختلف مع الأشخاص ذو الذكاء المرتفع لأن باستطاعتهم عمل كل شيء بمفردهم وهذا يعني عدم الإعتماد على الاخرين","in_reply_to_screen_name":"SaudiIntellect","in_reply_to_status_id_str":"1723451637312700630","in_reply_to_user_id_str":"1272261225179734016","is_quote_status":false,"lang":"ar","quote_count":0,"reply_count":1,"retweet_count":0,"retweeted":false,"user_id_str":"1121416643538817024","id_str":"1723456237298151545","id":"1723456237298151545"},{"bookmark_count":4,"bookmarked":false,"created_at":"Sat Sep 02 10:12:47 +0000 2023","conversation_id_str":"1696414169413672993","display_text_range":[9,9],"entities":{"hashtags":[],"media":[{"display_url":"pic.x.com/6Ce7lm3NsL","expanded_url":"https://x.com/da_vinci70/status/1697915465929052296/photo/1","id_str":"1697915463248809984","indices":[10,33],"media_key":"3_1697915463248809984","media_url_https":"https://pbs.twimg.com/media/F5A1Hi2WkAAyjRf.jpg","type":"photo","url":"https://t.co/6Ce7lm3NsL","ext_media_availability":{"status":"Available"},"features":{"large":{"faces":[]},"medium":{"faces":[]},"small":{"faces":[]},"orig":{"faces":[]}},"sizes":{"large":{"h":943,"w":720,"resize":"fit"},"medium":{"h":943,"w":720,"resize":"fit"},"small":{"h":680,"w":519,"resize":"fit"},"thumb":{"h":150,"w":150,"resize":"crop"}},"original_info":{"height":943,"width":720,"focus_rects":[{"x":0,"y":540,"w":720,"h":403},{"x":0,"y":223,"w":720,"h":720},{"x":0,"y":122,"w":720,"h":821},{"x":124,"y":0,"w":472,"h":943},{"x":0,"y":0,"w":720,"h":943}]},"media_results":{"result":{"media_key":"3_1697915463248809984"}}}],"symbols":[],"timestamps":[],"urls":[],"user_mentions":[{"id_str":"328507596","name":"إبراهيم العليان","screen_name":"ialolyan","indices":[0,9]}]},"extended_entities":{"media":[{"display_url":"pic.x.com/6Ce7lm3NsL","expanded_url":"https://x.com/da_vinci70/status/1697915465929052296/photo/1","id_str":"1697915463248809984","indices":[10,33],"media_key":"3_1697915463248809984","media_url_https":"https://pbs.twimg.com/media/F5A1Hi2WkAAyjRf.jpg","type":"photo","url":"https://t.co/6Ce7lm3NsL","ext_media_availability":{"status":"Available"},"features":{"large":{"faces":[]},"medium":{"faces":[]},"small":{"faces":[]},"orig":{"faces":[]}},"sizes":{"large":{"h":943,"w":720,"resize":"fit"},"medium":{"h":943,"w":720,"resize":"fit"},"small":{"h":680,"w":519,"resize":"fit"},"thumb":{"h":150,"w":150,"resize":"crop"}},"original_info":{"height":943,"width":720,"focus_rects":[{"x":0,"y":540,"w":720,"h":403},{"x":0,"y":223,"w":720,"h":720},{"x":0,"y":122,"w":720,"h":821},{"x":124,"y":0,"w":472,"h":943},{"x":0,"y":0,"w":720,"h":943}]},"media_results":{"result":{"media_key":"3_1697915463248809984"}}}]},"favorite_count":16,"favorited":false,"full_text":"@ialolyan https://t.co/6Ce7lm3NsL","in_reply_to_screen_name":"ialolyan","in_reply_to_status_id_str":"1696414169413672993","in_reply_to_user_id_str":"328507596","is_quote_status":false,"lang":"qme","possibly_sensitive":false,"possibly_sensitive_editable":true,"quote_count":0,"reply_count":0,"retweet_count":2,"retweeted":false,"user_id_str":"1121416643538817024","id_str":"1697915465929052296","id":"1697915465929052296"},{"bookmark_count":5,"bookmarked":false,"created_at":"Sat Jun 20 20:15:01 +0000 2020","conversation_id_str":"1274435609361342464","display_text_range":[0,70],"entities":{"hashtags":[],"media":[{"display_url":"pic.x.com/wQ6P14AE5g","expanded_url":"https://x.com/da_vinci70/status/1274435609361342464/photo/1","id_str":"1274435585428598784","indices":[71,94],"media_key":"3_1274435585428598784","media_url_https":"https://pbs.twimg.com/media/Ea-0aaaWsAAqatu.jpg","type":"photo","url":"https://t.co/wQ6P14AE5g","ext_media_availability":{"status":"Available"},"features":{"large":{"faces":[{"x":110,"y":37,"h":41,"w":41}]},"medium":{"faces":[{"x":110,"y":37,"h":41,"w":41}]},"small":{"faces":[{"x":103,"y":34,"h":38,"w":38}]},"orig":{"faces":[{"x":110,"y":37,"h":41,"w":41}]}},"sizes":{"large":{"h":258,"w":720,"resize":"fit"},"medium":{"h":258,"w":720,"resize":"fit"},"small":{"h":244,"w":680,"resize":"fit"},"thumb":{"h":150,"w":150,"resize":"crop"}},"original_info":{"height":258,"width":720,"focus_rects":[{"x":0,"y":0,"w":461,"h":258},{"x":32,"y":0,"w":258,"h":258},{"x":48,"y":0,"w":226,"h":258},{"x":97,"y":0,"w":129,"h":258},{"x":0,"y":0,"w":720,"h":258}]},"media_results":{"result":{"media_key":"3_1274435585428598784"}}},{"display_url":"pic.x.com/wQ6P14AE5g","expanded_url":"https://x.com/da_vinci70/status/1274435609361342464/photo/1","id_str":"1274435606324666368","indices":[71,94],"media_key":"3_1274435606324666368","media_url_https":"https://pbs.twimg.com/media/Ea-0boQXYAAvH7v.jpg","type":"photo","url":"https://t.co/wQ6P14AE5g","ext_media_availability":{"status":"Available"},"features":{"large":{"faces":[{"x":469,"y":6,"h":55,"w":55}]},"medium":{"faces":[{"x":417,"y":5,"h":48,"w":48}]},"small":{"faces":[{"x":236,"y":3,"h":27,"w":27}]},"orig":{"faces":[{"x":469,"y":6,"h":55,"w":55}]}},"sizes":{"large":{"h":1347,"w":720,"resize":"fit"},"medium":{"h":1200,"w":641,"resize":"fit"},"small":{"h":680,"w":363,"resize":"fit"},"thumb":{"h":150,"w":150,"resize":"crop"}},"original_info":{"height":1347,"width":720,"focus_rects":[{"x":0,"y":708,"w":720,"h":403},{"x":0,"y":549,"w":720,"h":720},{"x":0,"y":499,"w":720,"h":821},{"x":46,"y":0,"w":674,"h":1347},{"x":0,"y":0,"w":720,"h":1347}]},"media_results":{"result":{"media_key":"3_1274435606324666368"}}}],"symbols":[],"timestamps":[],"urls":[],"user_mentions":[]},"extended_entities":{"media":[{"display_url":"pic.x.com/wQ6P14AE5g","expanded_url":"https://x.com/da_vinci70/status/1274435609361342464/photo/1","id_str":"1274435585428598784","indices":[71,94],"media_key":"3_1274435585428598784","media_url_https":"https://pbs.twimg.com/media/Ea-0aaaWsAAqatu.jpg","type":"photo","url":"https://t.co/wQ6P14AE5g","ext_media_availability":{"status":"Available"},"features":{"large":{"faces":[{"x":110,"y":37,"h":41,"w":41}]},"medium":{"faces":[{"x":110,"y":37,"h":41,"w":41}]},"small":{"faces":[{"x":103,"y":34,"h":38,"w":38}]},"orig":{"faces":[{"x":110,"y":37,"h":41,"w":41}]}},"sizes":{"large":{"h":258,"w":720,"resize":"fit"},"medium":{"h":258,"w":720,"resize":"fit"},"small":{"h":244,"w":680,"resize":"fit"},"thumb":{"h":150,"w":150,"resize":"crop"}},"original_info":{"height":258,"width":720,"focus_rects":[{"x":0,"y":0,"w":461,"h":258},{"x":32,"y":0,"w":258,"h":258},{"x":48,"y":0,"w":226,"h":258},{"x":97,"y":0,"w":129,"h":258},{"x":0,"y":0,"w":720,"h":258}]},"media_results":{"result":{"media_key":"3_1274435585428598784"}}},{"display_url":"pic.x.com/wQ6P14AE5g","expanded_url":"https://x.com/da_vinci70/status/1274435609361342464/photo/1","id_str":"1274435606324666368","indices":[71,94],"media_key":"3_1274435606324666368","media_url_https":"https://pbs.twimg.com/media/Ea-0boQXYAAvH7v.jpg","type":"photo","url":"https://t.co/wQ6P14AE5g","ext_media_availability":{"status":"Available"},"features":{"large":{"faces":[{"x":469,"y":6,"h":55,"w":55}]},"medium":{"faces":[{"x":417,"y":5,"h":48,"w":48}]},"small":{"faces":[{"x":236,"y":3,"h":27,"w":27}]},"orig":{"faces":[{"x":469,"y":6,"h":55,"w":55}]}},"sizes":{"large":{"h":1347,"w":720,"resize":"fit"},"medium":{"h":1200,"w":641,"resize":"fit"},"small":{"h":680,"w":363,"resize":"fit"},"thumb":{"h":150,"w":150,"resize":"crop"}},"original_info":{"height":1347,"width":720,"focus_rects":[{"x":0,"y":708,"w":720,"h":403},{"x":0,"y":549,"w":720,"h":720},{"x":0,"y":499,"w":720,"h":821},{"x":46,"y":0,"w":674,"h":1347},{"x":0,"y":0,"w":720,"h":1347}]},"media_results":{"result":{"media_key":"3_1274435606324666368"}}}]},"favorite_count":15,"favorited":false,"full_text":"ملهمي واعتبره اذكى شخص بالتاريخ، ابحث عن انجازاته واختراعاته وتعرف ليه https://t.co/wQ6P14AE5g","is_quote_status":false,"lang":"ar","possibly_sensitive":false,"possibly_sensitive_editable":true,"quote_count":0,"reply_count":0,"retweet_count":0,"retweeted":false,"user_id_str":"1121416643538817024","id_str":"1274435609361342464","id":"1274435609361342464"},{"bookmark_count":10,"bookmarked":false,"created_at":"Wed Jun 17 13:01:04 +0000 2020","conversation_id_str":"1273238875582992384","display_text_range":[0,169],"entities":{"hashtags":[],"symbols":[],"timestamps":[],"urls":[{"display_url":"youtube.com/user/electrick…","expanded_url":"https://www.youtube.com/user/electrickeye91","url":"https://t.co/asy1LBzsf1","indices":[146,169]}],"user_mentions":[]},"favorite_count":15,"favorited":false,"full_text":"ذا الانسان رهييب بطرق المذاكرة والتركيز والحفظ وغيره وشارح anki و spaced repetition وطرق كثير اضمنلك مارح تنسى اي شيء تذاكره ان شاءالله لو طبقتها\nhttps://t.co/asy1LBzsf1","in_reply_to_screen_name":"da_vinci70","in_reply_to_status_id_str":"1273238875582992384","in_reply_to_user_id_str":"1121416643538817024","is_quote_status":false,"lang":"ar","possibly_sensitive":false,"possibly_sensitive_editable":true,"quote_count":0,"reply_count":1,"retweet_count":1,"retweeted":false,"user_id_str":"1121416643538817024","id_str":"1273239236888625155","id":"1273239236888625155"},{"bookmark_count":5,"bookmarked":false,"created_at":"Thu Oct 31 11:27:17 +0000 2024","conversation_id_str":"1851949055678480777","display_text_range":[0,111],"entities":{"hashtags":[],"media":[{"display_url":"pic.x.com/1bom0jzzPt","expanded_url":"https://x.com/da_vinci70/status/1851949055678480777/video/1","id_str":"1851949037114593280","indices":[112,135],"media_key":"7_1851949037114593280","media_url_https":"https://pbs.twimg.com/ext_tw_video_thumb/1851949037114593280/pu/img/0EvoNEaaW4XCcSLu.jpg","type":"video","url":"https://t.co/1bom0jzzPt","additional_media_info":{"monetizable":false},"ext_media_availability":{"status":"Available"},"sizes":{"large":{"h":1080,"w":1920,"resize":"fit"},"medium":{"h":675,"w":1200,"resize":"fit"},"small":{"h":383,"w":680,"resize":"fit"},"thumb":{"h":150,"w":150,"resize":"crop"}},"original_info":{"height":1080,"width":1920,"focus_rects":[]},"video_info":{"aspect_ratio":[16,9],"duration_millis":16683,"variants":[{"content_type":"application/x-mpegURL","url":"https://video.twimg.com/ext_tw_video/1851949037114593280/pu/pl/EhJQeJUWj-6jlVZr.m3u8?tag=12"},{"bitrate":256000,"content_type":"video/mp4","url":"https://video.twimg.com/ext_tw_video/1851949037114593280/pu/vid/avc1/480x270/7tyn2Dhex47bNdQA.mp4?tag=12"},{"bitrate":832000,"content_type":"video/mp4","url":"https://video.twimg.com/ext_tw_video/1851949037114593280/pu/vid/avc1/640x360/tI7xonOwiiaUoCEg.mp4?tag=12"},{"bitrate":2176000,"content_type":"video/mp4","url":"https://video.twimg.com/ext_tw_video/1851949037114593280/pu/vid/avc1/1280x720/3ayZTaGPaUGV1lko.mp4?tag=12"}]},"media_results":{"result":{"media_key":"7_1851949037114593280"}}}],"symbols":[],"timestamps":[],"urls":[],"user_mentions":[]},"extended_entities":{"media":[{"display_url":"pic.x.com/1bom0jzzPt","expanded_url":"https://x.com/da_vinci70/status/1851949055678480777/video/1","id_str":"1851949037114593280","indices":[112,135],"media_key":"7_1851949037114593280","media_url_https":"https://pbs.twimg.com/ext_tw_video_thumb/1851949037114593280/pu/img/0EvoNEaaW4XCcSLu.jpg","type":"video","url":"https://t.co/1bom0jzzPt","additional_media_info":{"monetizable":false},"ext_media_availability":{"status":"Available"},"sizes":{"large":{"h":1080,"w":1920,"resize":"fit"},"medium":{"h":675,"w":1200,"resize":"fit"},"small":{"h":383,"w":680,"resize":"fit"},"thumb":{"h":150,"w":150,"resize":"crop"}},"original_info":{"height":1080,"width":1920,"focus_rects":[]},"video_info":{"aspect_ratio":[16,9],"duration_millis":16683,"variants":[{"content_type":"application/x-mpegURL","url":"https://video.twimg.com/ext_tw_video/1851949037114593280/pu/pl/EhJQeJUWj-6jlVZr.m3u8?tag=12"},{"bitrate":256000,"content_type":"video/mp4","url":"https://video.twimg.com/ext_tw_video/1851949037114593280/pu/vid/avc1/480x270/7tyn2Dhex47bNdQA.mp4?tag=12"},{"bitrate":832000,"content_type":"video/mp4","url":"https://video.twimg.com/ext_tw_video/1851949037114593280/pu/vid/avc1/640x360/tI7xonOwiiaUoCEg.mp4?tag=12"},{"bitrate":2176000,"content_type":"video/mp4","url":"https://video.twimg.com/ext_tw_video/1851949037114593280/pu/vid/avc1/1280x720/3ayZTaGPaUGV1lko.mp4?tag=12"}]},"media_results":{"result":{"media_key":"7_1851949037114593280"}}}]},"favorite_count":14,"favorited":false,"full_text":"بس هنا ال prompt مخفي بالملف فقط لكن لما تنسخ وتلصق يكون واضح، لكن كيف لو كان كذا بدون فراغات، بدون مايكون مرئي https://t.co/1bom0jzzPt","is_quote_status":true,"lang":"ar","possibly_sensitive":false,"possibly_sensitive_editable":true,"quote_count":0,"quoted_status_id_str":"1833775871548637281","quoted_status_permalink":{"url":"https://t.co/sOhyFr4tj3","expanded":"https://twitter.com/arbo1000/status/1833775871548637281","display":"x.com/arbo1000/statu…"},"reply_count":1,"retweet_count":0,"retweeted":false,"user_id_str":"1121416643538817024","id_str":"1851949055678480777","id":"1851949055678480777"},{"bookmark_count":15,"bookmarked":false,"created_at":"Tue Nov 01 10:59:27 +0000 2022","conversation_id_str":"1587398911995645953","display_text_range":[0,86],"entities":{"hashtags":[],"symbols":[],"timestamps":[],"urls":[{"display_url":"youtube.com/playlist?list=…","expanded_url":"https://youtube.com/playlist?list=PLiNDnWouRxbnh0R71E3YtaOezk8f-DNo8","url":"https://t.co/ejeg50xwm0","indices":[63,86]}],"user_mentions":[]},"favorite_count":15,"favorited":false,"full_text":"سلسلة فيديوهات مميزة جدا بطرق العد او التركيبات مقدمة من AOPS\n\nhttps://t.co/ejeg50xwm0","is_quote_status":false,"lang":"ar","possibly_sensitive":false,"possibly_sensitive_editable":true,"quote_count":0,"reply_count":0,"retweet_count":5,"retweeted":false,"user_id_str":"1121416643538817024","id_str":"1587398911995645953","id":"1587398911995645953"},{"bookmark_count":1,"bookmarked":false,"created_at":"Sat Jul 24 21:09:07 +0000 2021","conversation_id_str":"1419026773426196484","display_text_range":[0,0],"entities":{"hashtags":[],"media":[{"display_url":"pic.x.com/T9dm1LKneV","expanded_url":"https://x.com/da_vinci70/status/1419041979313364995/photo/1","id_str":"1419041976654118917","indices":[0,23],"media_key":"3_1419041976654118917","media_url_https":"https://pbs.twimg.com/media/E7FzKMvWQAUx7Lr.jpg","type":"photo","url":"https://t.co/T9dm1LKneV","ext_media_availability":{"status":"Available"},"features":{"large":{"faces":[]},"medium":{"faces":[]},"small":{"faces":[]},"orig":{"faces":[]}},"sizes":{"large":{"h":550,"w":720,"resize":"fit"},"medium":{"h":550,"w":720,"resize":"fit"},"small":{"h":519,"w":680,"resize":"fit"},"thumb":{"h":150,"w":150,"resize":"crop"}},"original_info":{"height":550,"width":720,"focus_rects":[{"x":0,"y":147,"w":720,"h":403},{"x":170,"y":0,"w":550,"h":550},{"x":238,"y":0,"w":482,"h":550},{"x":445,"y":0,"w":275,"h":550},{"x":0,"y":0,"w":720,"h":550}]},"media_results":{"result":{"media_key":"3_1419041976654118917"}}}],"symbols":[],"timestamps":[],"urls":[],"user_mentions":[]},"extended_entities":{"media":[{"display_url":"pic.x.com/T9dm1LKneV","expanded_url":"https://x.com/da_vinci70/status/1419041979313364995/photo/1","id_str":"1419041976654118917","indices":[0,23],"media_key":"3_1419041976654118917","media_url_https":"https://pbs.twimg.com/media/E7FzKMvWQAUx7Lr.jpg","type":"photo","url":"https://t.co/T9dm1LKneV","ext_media_availability":{"status":"Available"},"features":{"large":{"faces":[]},"medium":{"faces":[]},"small":{"faces":[]},"orig":{"faces":[]}},"sizes":{"large":{"h":550,"w":720,"resize":"fit"},"medium":{"h":550,"w":720,"resize":"fit"},"small":{"h":519,"w":680,"resize":"fit"},"thumb":{"h":150,"w":150,"resize":"crop"}},"original_info":{"height":550,"width":720,"focus_rects":[{"x":0,"y":147,"w":720,"h":403},{"x":170,"y":0,"w":550,"h":550},{"x":238,"y":0,"w":482,"h":550},{"x":445,"y":0,"w":275,"h":550},{"x":0,"y":0,"w":720,"h":550}]},"media_results":{"result":{"media_key":"3_1419041976654118917"}}}]},"favorite_count":14,"favorited":false,"full_text":"https://t.co/T9dm1LKneV","in_reply_to_screen_name":"da_vinci70","in_reply_to_status_id_str":"1419026773426196484","in_reply_to_user_id_str":"1121416643538817024","is_quote_status":false,"lang":"zxx","possibly_sensitive":false,"possibly_sensitive_editable":true,"quote_count":1,"reply_count":3,"retweet_count":0,"retweeted":false,"user_id_str":"1121416643538817024","id_str":"1419041979313364995","id":"1419041979313364995"},{"bookmark_count":1,"bookmarked":false,"created_at":"Sun Jun 16 11:43:38 +0000 2024","conversation_id_str":"1802306034788143185","display_text_range":[0,52],"entities":{"hashtags":[],"symbols":[],"timestamps":[],"urls":[],"user_mentions":[]},"favorite_count":15,"favorited":false,"full_text":"كل عام وأنتم بخير وتقبل الله منا ومنكم صالح الأعمال🤍","is_quote_status":false,"lang":"ar","quote_count":0,"reply_count":2,"retweet_count":0,"retweeted":false,"user_id_str":"1121416643538817024","id_str":"1802306034788143185","id":"1802306034788143185"}],"ctweets":[],"activities":null,"interactions":null,"interactions_updated":null,"created":1732502740299,"updated":1761729487173,"type":"the thought leader","hits":1},"people":[{"user":{"id":"VXNlcjoxNDU2MDc4NTc=","name":"Kiran Mazumdar-Shaw","description":"Executive Chairperson of Biocon Limited - Asia’s leading Biopharmaceuticals enterprise. A global influencer and proud recipient of Padma Shri & Padma Bhushan.","followers_count":1627923,"friends_count":696,"statuses_count":50722,"profile_image_url_https":"https://pbs.twimg.com/profile_images/1572908796326088705/o4wiVL7g_normal.jpg","screen_name":"kiranshaw","location":"Bengaluru, India","entities":{"description":{"urls":[]},"url":{"urls":[{"display_url":"biocon.com","expanded_url":"http://www.biocon.com/","url":"https://t.co/cCEornugAo","indices":[0,23]}]}},"verified":false,"is_blue_verified":1},"details":{"type":"The Thought Leader","description":"Kiran Mazumdar-Shaw is a pioneering figure in the biopharmaceutical sector, championing innovation and public welfare while engaging in crucial conversations on technology and social issues. As a Padma Shri and Padma Bhushan awardee, she not only influences the industry but also inspires individuals globally. With over 51,000 tweets, her insight and activism resonate deeply with her audience.","purpose":"To advance biopharmaceutical innovations while advocating for ethical practices and socio-economic development in her community and beyond.","beliefs":"Kiran believes in the power of technology to transform lives, the importance of transparency in corporate governance, and the necessity of nurturing local talent without compromising on global standards.","facts":"Fun fact: Besides being a powerhouse in biopharma, Kiran is an avid advocate for social causes, proving that a great mind can also have a great heart.","strength":"Her ability to engage in high-level discussions while remaining relatable allows her to connect authentically with a diverse audience.","weakness":"Despite her vast influence, Kiran sometimes faces backlash for her strong opinions which can polarize audiences.","roast":"Kiran's tweet count is higher than a toddler’s sugar rush at a birthday party—lots of energy but we wonder if anyone can keep up with that pace!","win":"Kiran successfully led Biocon Limited to be a key player in the global biopharmaceutical landscape, earning numerous accolades and recognition in the process.","recommendation":"Engage with your followers more personally through Q&A sessions or live tweets on industry trends, which would amplify your influence and further solidify your thought leadership."},"created":1732665239900,"type":"the thought leader","id":"kiranshaw"},{"user":{},"details":{"type":"The Thought Leader","description":"Pastor Adeboye stands out as a beacon of spiritual guidance and wisdom in a complex world. With a PhD in Applied Mathematics and being one of Newsweek's 50 Most Influential People in 2008, his insightful reflections inspire countless followers. Married to Pastor FAAdeboye and father to four, he exemplifies the perfect blend of faith, intellect, and family values.","purpose":"To inspire and guide believers toward a deeper understanding of faith while promoting hope and resilience through spiritual teachings.","beliefs":"Pastor Adeboye deeply values holiness, faith, and the transformative power of God's love, advocating for integrity and positive transformation in people's lives.","facts":"A fun fact about Pastor Adeboye is that he has tweeted over 19,000 times, ensuring that his messages of hope and faith reach as many people as possible.","strength":"Pastor Adeboye's strengths lie in his powerful communication skills and his ability to connect deeply with followers, providing comfort and inspiration through his messages.","weakness":"A potential weakness could be an overwhelming reliance on social media for distribution of spiritual messages, which might detract from face-to-face interactions that many followers may crave.","roast":"Pastor Adeboye tweets so much, I half-expect a tweet on when to wake up for breakfast! Someone should remind him that even the Good Book didn't have a 24/7 feed!","win":"A significant accomplishment for Pastor Adeboye is being recognized as one of the 50 Most Influential People in the World by Newsweek in 2008, highlighting his impact on millions globally.","recommendation":"To grow his audience on X, Pastor Adeboye could consider hosting live Q&A sessions that allow deeper interactions with followers, fostering a more robust community and drawing in new listeners eager for spiritual guidance."},"created":1732659783683,"type":"the thought leader","id":"pastoreaadeboye"},{"user":{},"details":{"type":"The Thought Leader","description":"Sadhguru is a Yogi, Mystic, and Visionary, captivating minds not just with spirituality but also with sharp social commentary. His tweets provoke thought and spark discussions around democracy, religion, and cultural identity, all while rallying followers behind the #SaveSoil and #ConsciousPlanet movements. With an impressive tweet record of 14,597, this trailblazer isn't afraid to challenge norms and inspire action.","purpose":"To inspire global consciousness and promote social and environmental responsibility through awareness and education.","beliefs":"Sadhguru deeply believes in the sanctity of democratic values, the power of genuine devotion, and the need for societal harmony. He stands firmly against oppression in all forms, particularly in religious contexts, advocating for the safety of marginalized groups.","facts":"Despite addressing serious issues, Sadhguru has a knack for keeping his followers engaged and enlightened with a diverse range of spiritual and practical insights, mixing mysticism with reality.","strength":"His strengths include a profound ability to articulate complex ideas in relatable terms, fostering an engaged community around significant social issues. His spiritual background grants him a unique and respected voice in discussions often clouded by noise.","weakness":"Sadhguru sometimes attracts polarized opinions due to his strong stances, which can lead to misinterpretation and backlash from certain audiences. This might cause a disconnect with some who prefer more neutral discussions.","roast":"Sadhguru tweets like every thought is a sacred text – which is great until you realize even Wikipedia has some questionable entries!","win":"His campaign efforts for the #SaveSoil initiative have engaged millions worldwide, showcasing his influence in environmental advocacy.","recommendation":"To further grow his audience on X, Sadhguru could leverage live discussions, interactive Q&A sessions, or even mini-documentaries that encapsulate his philosophies and movements like #SaveSoil. This would make spiritual insights more digestible and showcase his engaging personality even more."},"created":1732659601273,"type":"the thought leader","id":"sadhgurujv"},{"user":{},"details":{"type":"The Thought Leader","description":"Meet Lucky, the Bitcoin OG since 2015 and a true crypto aficionado. With a keen eye for emerging blockchain projects and market trends, Lucky provides insightful analyses that help followers navigate the digital currency landscape. Expect engaging discussions and thought-provoking insights on the latest in the world of cryptocurrencies!","purpose":"Lucky's life purpose revolves around empowering others with knowledge about cryptocurrency, helping them make informed investment decisions while fostering a community of like-minded enthusiasts.","beliefs":"Lucky firmly believes in the transformative power of blockchain technology to reshape financial systems and create equitable opportunities for all. Transparency, community engagement, and continuous learning are central to their ideology.","facts":"Fun Fact: Lucky's engagement with new blockchain projects has earned them the unofficial title of 'Crypto Whisperer' among their inner circle, always predicting trends weeks in advance!","strength":"Lucky's greatest strength lies in their analytical mindset and ability to convey complex information in an accessible manner, making them a reliable source of crypto insights for their followers.","weakness":"On the flip side, Lucky's passion for niche crypto projects can sometimes lead to overselling them, risking credibility when a project doesn't pan out as expected.","roast":"Lucky, you're like a crypto telescope: you see all the potential in distant stars, but sometimes forget to look at the one right in front of your face that’s burning a hole in your wallet!","win":"Lucky's biggest win? They championed an under-the-radar project that skyrocketed to success just after their endorsement, earning them respect and a surge in follower engagement overnight!","recommendation":"To grow their audience on X, Lucky should leverage video content, creating short clips breaking down complex topics, live Q&A sessions, and even casual chats about their crypto journey—people love a good story behind the stats!"},"created":1732656381786,"type":"the thought leader","id":"lluciano_btc"},{"user":{"created_at":"Fri May 31 07:10:44 +0000 2024","default_profile":true,"default_profile_image":false,"description":"VALERECO, a Horizon Europe project, aims to identify & valorize the environmental and economic value of Ecosystem Services provided by legume crops.","entities":{"description":{"urls":[]}},"fast_followers_count":0,"favourites_count":4,"followers_count":38,"friends_count":3,"has_custom_timelines":false,"is_translator":false,"listed_count":0,"location":"","media_count":35,"name":"VALERECO","normal_followers_count":38,"pinned_tweet_ids_str":[],"possibly_sensitive":false,"profile_banner_url":"https://pbs.twimg.com/profile_banners/1796438211884969984/1717415045","profile_image_url_https":"https://pbs.twimg.com/profile_images/1797985653147209728/4abAMpye_normal.jpg","profile_interstitial_type":"","screen_name":"valereco2024","statuses_count":37,"translator_type":"none","verified":false,"withheld_in_countries":[],"id":"1796438211884969984"},"details":{"type":"The Thought Leader","description":"VALERECO is not just another project; it's a beacon of innovation in the realm of agriculture and sustainability! This initiative aims to illuminate the often-overlooked environmental and economic benefits of legume crops, and it does so with 37 thought-provoking tweets that spark conversation and inspire action.","purpose":"To educate and drive awareness about the crucial role legume crops play in our ecosystems and economies, thereby promoting sustainable farming practices.","beliefs":"VALERECO believes that ecological well-being and economic growth can go hand-in-hand, fostering a future where sustainable agriculture is the norm rather than the exception.","facts":"Fun Fact: VALERECO is named after the very essence of valorizing ecosystem services, making it the ultimate eco-hero in the agricultural realm!","strength":"VALERECO's strength lies in its insightful approach to complex ecological issues, making important topics accessible and engaging for a broader audience.","weakness":"The primary weakness may be a limited follower base, which could restrict the reach of their vital messages and insights about legume crops.","roast":"VALERECO, you might want to sprinkle some more tweets into the feed—your follower count is lower than a legume’s visibility in a field of corn!","win":"Valereco has successfully piqued interest among environmentalists and agricultural experts by highlighting the benefits of legume crops, establishing itself as a thought leader in the sustainability sector.","recommendation":"To grow your audience on X, increase engagement by hosting polls or discussions about legume crops and their benefits. Visual content showcasing legume crops in action could also draw in more followers interested in sustainable practices."},"created":1732612945325,"type":"the thought leader","id":"valereco2024"},{"user":{"created_at":"Wed Apr 27 13:55:13 +0000 2022","default_profile":true,"default_profile_image":false,"description":"🚀 TechVZero | Koii | Web3, DevOps, Cloud & AI for Business Growth | Kubernetes, AWS, Azure | #DataEngineering #Automation","entities":{"description":{"urls":[]},"url":{"urls":[{"display_url":"techvzero.com","expanded_url":"http://techvzero.com","url":"https://t.co/Wjk9t0cBX6","indices":[0,23]}]}},"fast_followers_count":0,"favourites_count":494,"followers_count":62,"friends_count":200,"has_custom_timelines":true,"is_translator":false,"listed_count":0,"location":"","media_count":4,"name":"Abhishek Chopra","normal_followers_count":62,"pinned_tweet_ids_str":[],"possibly_sensitive":false,"profile_banner_url":"https://pbs.twimg.com/profile_banners/1519313894115659777/1731003101","profile_image_url_https":"https://pbs.twimg.com/profile_images/1851182975188447232/qt4zGCC3_normal.jpg","profile_interstitial_type":"","screen_name":"0xabhishekc","statuses_count":137,"translator_type":"none","url":"https://t.co/Wjk9t0cBX6","verified":false,"withheld_in_countries":[],"id":"1519313894115659777"},"details":{"type":"The Thought Leader","description":"Abhishek Chopra is a beacon in the tech landscape, illuminating the latest trends in Web3, DevOps, Cloud, and AI for business growth. With a wealth of insights and expertise, he dives deep into the realms of technology, making complex topics accessible for all. His passion for innovation and thought-provoking discourse positions him as an authority in his field, inspiring others to embrace the future of technology.","purpose":"To empower businesses to leverage cutting-edge technology for growth and efficiency, igniting a transformative journey in the tech industry.","beliefs":"Abhishek believes in the power of technology to create change and drive business success. He champions continuous learning and innovation, advocating for a future where technology serves as an enabler rather than a barrier.","facts":"Fun Fact: Abhishek’s Twitter handle, TechVZero, reflects his ambitious vision of a technology world where zero barriers exist to access knowledge and growth.","strength":"His strengths lie in his deep technical knowledge and ability to articulate complex ideas in an easily digestible format, making him approachable and engaging for followers.","weakness":"A potential weakness is his tendency to dive too deep into technical jargon, which may alienate those less versed in the tech world.","roast":"If Abhishek were any more into tech, we’d have to start calling him 'The Human Stack Overflow'—just here to answer questions but still managing to confuse everyone with abbreviations!","win":"Biggest win: He recently spearheaded a successful initiative that helped a mid-sized business integrate cloud technology, resulting in a 30% efficiency boost in their operations within three months.","recommendation":"To grow his audience on X, Abhishek should consider integrating more storytelling into his tweets, sharing personal experiences or case studies that illustrate the impact of tech solutions rather than just the technical details."},"created":1732612823462,"type":"the thought leader","id":"0xabhishekc"},{"user":{},"details":{"type":"The Thought Leader","description":"علـم النفس is a beacon of positivity and insightful musings, crafting messages that inspire depth and reflection amidst the chaos of everyday life. With 2422 tweets under their belt, this profile excels in delivering powerful psychological insights that resonate well with their audience. They focus on uplifting themes surrounding self-love, emotional health, and personal growth.","purpose":"To uplift others through the power of psychology, encouraging self-reflection and fostering mental resilience while spreading positivity.","beliefs":"Believes in the importance of mental well-being, the power of positive thinking, and the necessity of self-acceptance. Advocates that emotional health is just as crucial as physical health.","facts":"Fun fact: They have over 75050 likes on one tweet alone, showcasing their amazing ability to engage and inspire through words!","strength":"Exceptional at crafting resonating and relatable content that encourages thought and emotional engagement among followers.","weakness":"May sometimes focus too much on positivity and overlook the nuance and complexity of negative emotions, possibly making them seem superficial to some followers.","roast":"You're basically the motivational poster that escaped from a college dorm room! Your feed is like a never-ending Hallmark movie, just waiting for someone to roll their eyes and sigh in exasperation. But hey, at least the quotes are nice!","win":"Their tweet about the beauty of life received an astounding 75050 likes, proving they've got a touch of digital magic that resonates with many.","recommendation":"To grow their audience, they should engage more with followers by asking questions or encouraging discussions based on their tweets. Hosting live Q&A sessions could also be a great way to deepen connections and reveal the 'real' behind their thoughtful posts."},"created":1732565212300,"type":"the thought leader","id":"psycholg"},{"user":{},"details":{"type":"The Thought Leader","description":"أ. د. طارق الحبيب is a prominent figure in the field of psychiatry, engaging his audience with insightful explorations of mental health and human behavior. As a professor and consultant, he elevates the conversation around emotional well-being and personal growth through thought-provoking tweets and discussions.","purpose":"To transform the landscape of mental health discourse by sharing knowledge, fostering understanding, and encouraging emotional intelligence among individuals and communities.","beliefs":"Values open dialogue about mental health, the importance of emotional well-being, and the belief that self-awareness can lead to personal transformation. He promotes empathy, kindness, and the idea that healing begins with understanding oneself.","facts":"Fun fact: With over 47,600 tweets, you could say Dr. Tarek has more thoughts than a room full of therapists during a coffee break!","strength":"His ability to convey complex psychological concepts in an engaging and relatable way makes his content accessible to a wide audience.","weakness":"He may occasionally overwhelm his followers with too much in-depth analysis, leading some to feel lost in the intricacies of his insights.","roast":"Dr. Tarek, with all those tweets, I bet your brain has outgrown your 'short' bio! Who knew ancient wisdom could come with a side of Twitter scroll fatigue?","win":"His tweet on the importance of learning gratitude in childhood resonated widely, sparking discussions among followers and professionals alike, showcasing his authoritative voice in the realm of mental health.","recommendation":"To grow his audience on X, consider hosting live Q&A sessions or Twitter Spaces where followers can engage directly, ask questions, and share their experiences, fostering a more interactive community."},"created":1732500630923,"type":"the thought leader","id":"talhabeeb"},{"user":{"id":"1403133997","name":"Prof. Dr. Naci Görür","description":"@BilimAkademisi üyesi","followers_count":2548723,"friends_count":202,"statuses_count":4736,"profile_image_url_https":"https://pbs.twimg.com/profile_images/1830259917812346880/EtoRMWov_normal.jpg","screen_name":"nacigorur","location":"","entities":{"description":{"urls":[]}},"is_blue_verified":1},"details":{"type":"The Thought Leader","description":"Prof. Dr. Naci Görür is an esteemed geologist who passionately disseminates critical insights on seismic activity, showcasing an unwavering dedication to public safety and education. With a profound understanding of earth sciences, he engages and informs the masses about the realities and implications of earthquakes. His commitment to raising awareness has made him a respected voice in the scientific community and beyond.","purpose":"To educate and inform the public about seismic risks and the importance of preparedness, while advocating for resilient urban planning.","beliefs":"Prof. Görür firmly believes in the power of science as a tool for societal safety. He values data-driven insights and open communication while advocating for proactive measures to mitigate the impact of natural disasters.","facts":"Despite being a powerhouse of information, Prof. Görür's tweets reveal a humorous side when he continuously reminds us of the seismic risks, as if it’s the universe’s way of keeping us on our toes!","strength":"His ability to break down complex geological concepts into digestible information makes him an engaging educator and a crucial resource during seismic events.","weakness":"Sometimes his earnestness may come off as overly serious, making it hard for some followers to engage with his messages in a lighter context.","roast":"Prof. Görür, you're like a tectonic plate—always shifting, but just when we think we understand you, you give us another quake to ponder. Maybe take it easy on the seismic drama; we might just be trying to nap here!","win":"Prof. Görür's impactful tweets have garnered immense attention and respect, evidenced by his 12 million views on a single post, proving that when he speaks, the world listens.","recommendation":"To grow his audience on X, Prof. Görür should consider incorporating multimedia elements like graphics or short videos explaining scientific concepts or recent seismic events. Engaging more with his followers by asking them questions or encouraging discussions can also foster a thriving community."},"created":1732494484563,"type":"the thought leader","id":"nacigorur"},{"user":{},"details":{"type":"The Thought Leader","description":"Meet Papa Francisco, the digital shepherd navigating the vast landscape of social media with a sage-like presence. Through poignant reflections and powerful messages, he captivates hearts and minds, weaving tradition with modernity in a way that inspires. His tweets resonate far beyond the screen, encouraging a dialogue of faith, hope, and compassion.","purpose":"To inspire and nurture a global community through messages of love, understanding, and hope, guiding followers towards personal and collective growth.","beliefs":"Emphasizes the importance of love, compassion, and community, believing that everyone has the potential to spread hope and be a force for good in the world.","facts":"Papa Francisco has dedicated over 5000 tweets to uplift and encourage people globally, proving that 280 characters can indeed change the world.","strength":"Exceptional ability to articulate profound insights into faith and humanity, fostering a deep connection with followers and encouraging positive dialogue.","weakness":"Might struggle with the pace of social media trends, as the depth of his messages can sometimes take longer to digest than typical social media content.","roast":"Papa Francisco’s tweet count is higher than some influencers' entire careers—someone tell him it's okay to take a break from tweets; even saints need some downtime!","win":"Successfully engaged a global audience with messages that promote peace and understanding, evidenced by thousands of likes and retweets on his most impactful statements.","recommendation":"To grow his audience on X, consider hosting a weekly Q&A session where followers can ask questions about faith or life challenges, creating an interactive platform for dialogue."},"created":1732492604317,"type":"the thought leader","id":"pontifex_pt"},{"user":{},"details":{"type":"The Thought Leader","description":"News24 🇿🇦 is all about being the go-to source for trusted news that keeps the public informed. With a staggering number of tweets and high engagement on crucial topics, this profile navigates the complex world of current events, influencing public discourse and shaping opinions. Their commitment to presenting news first makes them a pivotal figure in the South African media landscape.","purpose":"To provide accurate and timely news to the public, fostering a well-informed society capable of engaging critically in discourse.","beliefs":"They believe in the power of journalism to encapsulate truth and transparency in society, advocating for accountability in media and politics.","facts":"Fun fact: With over 472,370 tweets, News24 🇿🇦 tweets more than some people drink coffee in a week!","strength":"Strengths include a robust understanding of current events and the ability to engage effectively with followers, promoting conversation around important issues.","weakness":"On the downside, understanding the sometimes-digital chaotic nature of news can lead to information overload for both the profile and their audience.","roast":"You're like that friend who shows up to every party with a breaking news alert. Thanks for keeping us in the loop, but sometimes it feels like we need a news detox — can we get a 'quiet mode' for one day?","win":"One of the biggest wins for News24 🇿🇦 is shaping the narrative around significant political events, highlighting the consequences of policy decisions, and driving crucial discussions among citizens.","recommendation":"To grow their audience on X, refining content to include interactive polling or Q&A sessions on hot topics could significantly boost engagement, attracting a wider audience interested in participating in the conversation."},"created":1732490021148,"type":"the thought leader","id":"news24"},{"user":{"id":"2253142422","name":"ISRO","description":"Indian Space Research Organisation\nhttps://t.co/UolRyaZlZi. https://t.co/Q3K7buUqAI","followers_count":7976389,"friends_count":41,"statuses_count":2556,"profile_image_url_https":"https://pbs.twimg.com/profile_images/1600118046743359488/C1_k11I7_normal.jpg","screen_name":"isro","location":"Bengaluru","entities":{"description":{"urls":[{"display_url":"instagram.com/isro.dos/","expanded_url":"http://instagram.com/isro.dos/","url":"https://t.co/UolRyaZlZi","indices":[35,58]},{"display_url":"facebook.com/ISRO","expanded_url":"https://www.facebook.com/ISRO","url":"https://t.co/Q3K7buUqAI","indices":[65,88]}]},"url":{"urls":[{"display_url":"isro.gov.in","expanded_url":"https://www.isro.gov.in","url":"https://t.co/HqZrRRtWRP","indices":[0,23]}]}},"is_blue_verified":1},"details":{"type":"The Thought Leader","description":"ISRO is the beacon of space exploration for India, seamlessly blending advanced technology and public engagement. With their powerful missions, they inspire the world and lead discussions on innovation in space science. Their tweets are not just updates; they're invitations to explore the universe together!","purpose":"To advance India's presence in space and inspire future generations through successful missions and technological innovations.","beliefs":"ISRO firmly believes in the power of science and technology to uplift society, promote peace, and foster global collaboration in space exploration.","facts":"Fun fact: Their renowned Chandrayaan-3 mission not only captured breathtaking images but also delivered one of the most heartwarming tweets in space history: 'India🇮🇳, I reached my destination and you too!'","strength":"ISRO's strengths lie in their unparalleled expertise in space missions, clear communication of complex topics, and their ability to galvanize public interest and national pride.","weakness":"One potential weakness is that they may sometimes rely heavily on technical jargon, which could alienate non-expert followers who just want to know what's happening in simple terms.","roast":"ISRO tweets so much about the moon, I'm starting to think they might just be avoiding the real issue: who forgot to bring snacks for the mission control team?","win":"ISRO's biggest win this year has been the successful soft landing of Chandrayaan-3 on the moon, marking a historic achievement for India's space exploration efforts.","recommendation":"To grow their audience on X, ISRO should engage more with followers by sharing behind-the-scenes content and personal stories from the scientists involved in these missions. Collaborations with popular science communicators could also help broaden their reach."},"created":1732388116255,"type":"the thought leader","id":"isro"}],"activities":{"nreplies":[],"nbookmarks":[],"nretweets":[],"nlikes":[],"nviews":[]},"interactions":null}},"settings":{},"session":null,"routeProps":{"/creators/:username":{}}}